RabbitMQ的应用
7种工作模式介绍
下述代码中要在pom文件中引入依赖
<dependency>
<groupId>com.rabbitmq</groupId>
<artifactId>amqp-client</artifactId>
<version>5.7.3</version>
</dependency>
Simple(简单模式)

P: ⽣产者, 也就是要发送消息的程序
C: 消费者,消息的接收者
Queue: 消息队列, 图中⻩⾊背景部分. 类似⼀个邮箱, 可以缓存消息; ⽣产者向其中投递消息, 消费者从其中取出消息.
特点: ⼀个⽣产者P,⼀个消费者C, 消息只能被消费⼀次. 也称为点对点(Point-to-Point)模式.
生产者代码在上一期可以看到
Work Queue(⼯作队列)
⼀个⽣产者P,多个消费者C1,C2. 在多个消息的情况下, Work Queue 会将消息分派给不同的消费者, 每个消费者都会接收到不同的消息.
特点: 消息不会重复, 分配给不同的消费者.
适⽤场景: 集群环境中做异步处理

先声明一个全局变量初始化
public class Constants {
public static final String H0ST = "110.41.51.65";
public static final Integer PORT = 15673;
public static final String VIRTUAL_HOST = "bite";
public static final String USER_NAME = "study";
public static final String PASSwORD = "study";
public static final String WORK_QUEUE_NAME = "work_queues";
然后在创建一个生产者
import com.rabbitmq.client.Channel;
import com.rabbitmq.client.Connection;
import com.rabbitmq.client.ConnectionFactory;
import constant.Constants;
public class WorkRabbitProducer {
public static void main(String[] args) throws Exception {
//1. 创建channel通道
ConnectionFactory factory = new ConnectionFactory();
factory.setHost(Constants.HOST);//ip 默认值localhost
factory.setPort(Constants.PORT); //默认值5672
factory.setVirtualHost(Constants.VIRTUAL_HOST);//虚拟机名称, 默认 /
factory.setUsername(Constants.USER_NAME);//⽤⼾名,默认guest
factory.setPassword(Constants.PASSWORD);//密码, 默认guest
Connection connection = factory.newConnection();
Channel channel = connection.createChannel();
//2. 声明队列
//如果没有⼀个这样的⼀个队列, 会⾃动创建, 如果有, 则不创建
channel.queueDeclare(Constants.WORK_QUEUE_NAME, true, false, false,
null);
//3. 发送消息
for (int i = 0; i < 10; i++) {
String msg = "Hello World" + i;
channel.basicPublish("",Constants.WORK_QUEUE_NAME,null,msg.getBytes());
}
//4. 释放资源
channel.close();
connection.close();
}
}
再次创建一个消费者代码
import com.rabbitmq.client.*;
import constant.Constants;
import java.io.IOException;
public class WorkRabbitmqConsumer1 {
public static void main(String[] args) throws Exception {
//1. 创建channel通道
ConnectionFactory factory = new ConnectionFactory();
factory.setHost(Constants.HOST);//ip 默认值localhost
factory.setPort(Constants.PORT); //默认值5672
factory.setVirtualHost(Constants.VIRTUAL_HOST);//虚拟机名称, 默认 /
factory.setUsername(Constants.USER_NAME);//⽤⼾名,默认guest
factory.setPassword(Constants.PASSWORD);//密码, 默认guest
Connection connection = factory.newConnection();
Channel channel = connection.createChannel();
//2. 声明队列
//如果没有⼀个这样的⼀个队列, 会⾃动创建, 如果有, 则不创建
channel.queueDeclare(Constants.WORK_QUEUE_NAME, true, false, false,
null);
//3. 接收消息, 并消费
DefaultConsumer consumer = new DefaultConsumer(channel) {
@Override
public void handleDelivery(String consumerTag, Envelope envelope,
AMQP.BasicProperties properties, byte[] body) throws IOException {
System.out.println("接收到消息: " + new String(body));
}
};
channel.basicConsume(Constants.WORK_QUEUE_NAME, true, consumer);
}
}

Publish/Subscribe(发布/订阅)

Exchange: 交换机 (X).
作⽤: ⽣产者将消息发送到Exchange, 由交换机将消息按⼀定规则路由到⼀个或多个队列中(上图中⽣产者将消息投递到队列中, 实际上这个在RabbitMQ中不会发⽣. )
RabbitMQ交换机有四种类型: fanout,direct, topic, headers, 不同类型有着不同的路由策略. AMQP协议⾥还有另外两种类型, System和⾃定义, 此处不再描述.
- Fanout:⼴播,将消息交给所有绑定到交换机的队列(Publish/Subscribe模式)
- Direct:定向,把消息交给符合指定routing key的队列(Routing模式)
- Topic:通配符,把消息交给符合routing pattern(路由模式)的队列(Topics模式)
- headers类型的交换器不依赖于路由键的匹配规则来路由消息, ⽽是根据发送的消息内容中的headers属性进⾏匹配. headers类型的交换器性能会很差,⽽且也不实⽤,基本上不会看到它的存在.
Exchange(交换机)只负责转发消息, 不具备存储消息的能⼒, 因此如果没有任何队列与Exchange绑定,或者没有符合路由规则的队列,那么消息就会丢失
RoutingKey: 路由键.⽣产者将消息发给交换器时, 指定的⼀个字符串, ⽤来告诉交换机应该如何处理这个消息.
Binding Key:绑定. RabbitMQ中通过Binding(绑定)将交换器与队列关联起来, 在绑定的时候⼀般会指定⼀个Binding Key, 这样RabbitMQ就知道如何正确地将消息路由到队列了.

1.在使用绑定的时候,需要的路由键是BindingKey.
2.在发送消息的时候,需要的路由键是RoutingKey.
本课程后续也可能把两者合称为RoutingKey,大家根据使用场景来区分.
代码中用全局声明
public static String FANOUT_EXCHANGE_NAME = "test_fanout";
public static String FANOUT_QUEUE_NAME1 = "fanout_queue1";
public static String FANOUT_QUEUE_NAME2 = "fanout_queue2
生产者代码
public class FanoutRabbitProducer {
public static void main(String[] args) throws Exception {
//1. 创建channel通道
ConnectionFactory factory = new ConnectionFactory();
factory.setHost(Constants.HOST);//ip 默认值localhost
factory.setPort(Constants.PORT); //默认值5672
factory.setVirtualHost(Constants.VIRTUAL_HOST);//虚拟机名称, 默认 /
factory.setUsername(Constants.USER_NAME);//⽤⼾名,默认guest
factory.setPassword(Constants.PASSWORD);//密码, 默认guest
Connection connection = factory.newConnection();
Channel channel = connection.createChannel();
//2. 创建交换机
/*
exchangeDeclare(String exchange, BuiltinExchangeType type, boolean
durable, boolean autoDelete, boolean internal, Map<String, Object> arguments)
参数:
1. exchange:交换机名称
2. type:交换机类型
* DIRECT("direct"), 定向,直连,routing
* * FANOUT("fanout"),扇形(⼴播), 每个队列都能收到消息
* TOPIC("topic"),通配符
* HEADERS("headers") 参数匹配(⼯作⽤的较少)
3. durable: 是否持久化
4. autoDelete: ⾃动删除
5. internal: 内部使⽤, ⼀般falase
6. arguments: 参数
*/
channel.exchangeDeclare(Constants.FANOUT_EXCHANGE_NAME,
BuiltinExchangeType.FANOUT, true, false, false, null);
//3. 声明队列
//如果没有⼀个这样的⼀个队列, 会⾃动创建, 如果有, 则不创建
channel.queueDeclare(Constants.FANOUT_QUEUE_NAME1, true, false, false,
null);
channel.queueDeclare(Constants.FANOUT_QUEUE_NAME2, true, false, false,
null);
//4. 绑定队列和交换机
/*
queueBind(String queue, String exchange, String routingKey,
Map<String, Object> arguments)
参数:
1. queue: 队列名称
2. exchange: 交换机名称
3. routingKey: 路由key, 路由规则
如果交换机类型为fanout,routingkey设置为"",表⽰每个消费者都可以收到全部信息
*/
channel.queueBind(Constants.FANOUT_QUEUE_NAME1,Constants.FANOUT_EXCHANGE_NAME,
"");
channel.queueBind(Constants.FANOUT_QUEUE_NAME2,Constants.FANOUT_EXCHANGE_NAME,
"");
//5. 发送消息
/**
* basicPublish(String exchange, String routingKey,
AMQP.BasicProperties props, byte[] body)
* 参数说明:
* Exchange: 交换机名称
* routingKey: 如果交换机类型为fanout,routingkey设置为"",表⽰每个消费者都可以
收到全部信息
*/
String msg = "hello fanout";
channel.basicPublish(Constants.FANOUT_EXCHANGE_NAME,"",null,msg.getBytes());
channel.close();
connection.close();
}
}
消费者代码
import com.rabbitmq.client.*;
import constant.Constants;
import java.io.IOException;
public class FanoutRabbitmqConsumer1 {
public static void main(String[] args) throws Exception {
//1. 创建channel通道
ConnectionFactory factory = new ConnectionFactory();
factory.setHost(Constants.HOST);//ip 默认值localhost
factory.setPort(Constants.PORT); //默认值5672
factory.setVirtualHost(Constants.VIRTUAL_HOST);//虚拟机名称, 默认 /
factory.setUsername(Constants.USER_NAME);//⽤⼾名,默认guest
factory.setPassword(Constants.PASSWORD);//密码, 默认guest
Connection connection = factory.newConnection();
Channel channel = connection.createChannel();
//2. 接收消息, 并消费
DefaultConsumer consumer = new DefaultConsumer(channel) {
@Override
public void handleDelivery(String consumerTag, Envelope envelope,
AMQP.BasicProperties properties, byte[] body) throws IOException {
System.out.println("接收到消息: " + new String(body));
}
};
channel.basicConsume(Constants.FANOUT_QUEUE_NAME1, true, consumer);
}


Routing(路由模式)

路由模式是发布订阅模式的变种, 在发布订阅基础上, 增加路由key
发布订阅模式是⽆条件的将所有消息分发给所有消费者, 路由模式是Exchange根据RoutingKey的规则,将数据筛选后发给对应的消费者队列
适合场景: 需要根据特定规则分发消息的场景
生产者代码
创建交换机
channel.exchang
BuiltinExchangeType.DIRECT, true,false,,false, null);
声明队列
channel.queueDeclare(Constants.DIRECT_QUEUE_NAME1, true, false, false, null);
channel.queueDeclare(Constants.DIRECT_QUEUE_NAME2, true, false, false, null);
绑定交换机和队列
//队列1绑定orange
channel.queueBind(Constants.DIRECT_QUEUE_NAME1,Constants.DIRECT_EXCHANGE_NAME,
"orange");
//队列2绑定black,green
channel.queueBind(Constants.DIRECT_QUEUE_NAME2,Constants.DIRECT_EXCHANGE_NAME,
"black");
channel.queueBind(Constants.DIRECT_QUEUE_NAME2,Constants.DIRECT_EXCHANGE_NAME,
green
发送消息
//发送消息时,指定RoutingKey
String msg = "hello direct, I am orange";
channel.basicPublish(Constants.DIRECT_EXCHANGE_NAME,"orange",null, msg·getBytes(
));
String msg_black = "hello direct,I am black";
channel.basicPublish(Constants.DIRECT_EXCHANGE_NAME,"black", null,msg_black.getB
ytes());
String msg-green= "hello direct, I am green";
channel.basicPublish(Constants.DIRECT_EXCHANGE_NAME,"green", nuLl,msg-green.getB
ytes());
声明交换机和队列
public static String DIRECT_EXCHANGE_NAME = "test_direct";
public static String DIRECT_QUEUE_NAME1 = "direct_queue1";
public static String DIRECT_QUEUE_NAME2 = "direct_queue2";
生产者代码
import com.rabbitmq.client.BuiltinExchangeType;
import com.rabbitmq.client.Channel;
import com.rabbitmq.client.Connection;
import com.rabbitmq.client.ConnectionFactory;
import constant.Constants;
public class DirectRabbitProducer {
public static void main(String[] args) throws Exception {
//1. 创建channel通道
ConnectionFactory factory = new ConnectionFactory();
factory.setHost(Constants.HOST);//ip 默认值localhost
factory.setPort(Constants.PORT); //默认值5672
factory.setVirtualHost(Constants.VIRTUAL_HOST);//虚拟机名称, 默认 /
factory.setUsername(Constants.USER_NAME);//⽤⼾名,默认guest
factory.setPassword(Constants.PASSWORD);//密码, 默认guest
Connection connection = factory.newConnection();
Channel channel = connection.createChannel();
//2. 创建交换机
channel.exchangeDeclare(Constants.DIRECT_EXCHANGE_NAME,
BuiltinExchangeType.FANOUT, true, false, false, null);
//3. 声明队列
//如果没有⼀个这样的⼀个队列, 会⾃动创建, 如果有, 则不创建
channel.queueDeclare(Constants.DIRECT_QUEUE_NAME1, true, false, false,
null);
channel.queueDeclare(Constants.DIRECT_QUEUE_NAME2, true, false, false,
null);
//4. 绑定队列和交换机
//队列1绑定orange
channel.queueBind(Constants.DIRECT_QUEUE_NAME1,Constants.DIRECT_EXCHANGE_NAME,
"orange");
//队列2绑定black, green
channel.queueBind(Constants.DIRECT_QUEUE_NAME2,Constants.DIRECT_EXCHANGE_NAME,
"black");
channel.queueBind(Constants.DIRECT_QUEUE_NAME2,Constants.DIRECT_EXCHANGE_NAME,
"green");
//5. 发送消息
String msg = "hello direct, I am orange";
channel.basicPublish(Constants.DIRECT_EXCHANGE_NAME,"orange",null,msg.getBytes(
));
String msg_black = "hello direct,I am black";
channel.basicPublish(Constants.DIRECT_EXCHANGE_NAME,"black",null,msg_black.getB
ytes());
String msg_green= "hello direct, I am green";
channel.basicPublish(Constants.DIRECT_EXCHANGE_NAME,"green",null,msg_green.getB
ytes());
//6.释放资源
channel.close();
connection.close();
}
}
消费者代码
mport com.rabbitmq.client.*;
import constant.Constants;
import java.io.IOException;
public class DirectRabbitmqConsumer1 {
public static void main(String[] args) throws Exception {
//1. 创建channel通道
ConnectionFactory factory = new ConnectionFactory();
factory.setHost(Constants.HOST);//ip 默认值localhost
factory.setPort(Constants.PORT); //默认值5672
factory.setVirtualHost(Constants.VIRTUAL_HOST);//虚拟机名称, 默认 /
factory.setUsername(Constants.USER_NAME);//⽤⼾名,默认guest
factory.setPassword(Constants.PASSWORD);//密码, 默认guest
Connection connection = factory.newConnection();
Channel channel = connection.createChannel();
//2. 接收消息, 并消费
DefaultConsumer consumer = new DefaultConsumer(channel) {
@Override
public void handleDelivery(String consumerTag, Envelope envelope,
AMQP.BasicProperties properties, byte[] body) throws IOException {
System.out.println("接收到消息: " + new String(body));
}
};
channel.basicConsume(Constants.DIRECT_QUEUE_NAME1, true, consumer);
}
}


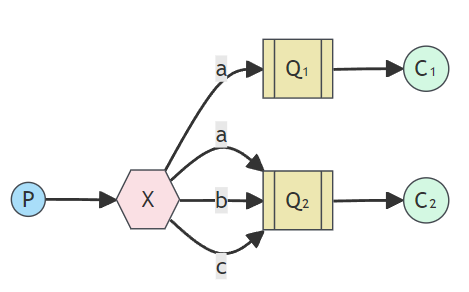
Topics(通配符模式)

路由模式的升级版, 在routingKey的基础上,增加了通配符的功能, 使之更加灵活.
Topics和Routing的基本原理相同,即:⽣产者将消息发给交换机,交换机根据RoutingKey将消息转发给与RoutingKey匹配的队列. 类似于正则表达式的⽅式来定义Routingkey的模式.
RoutingKey 是⼀系列由点( . )分隔的单词, ⽐如 " stock.usd.nyse “, " nyse.vmw “,
" quick.orange.rabbit "
2. BindingKey 和RoutingKey⼀样, 也是点( . )分割的字符串.
3. Binding Key中可以存在两种特殊字符串, ⽤于模糊匹配
* 表⽰⼀个单词
# 表⽰多个单词(0-N个)
⽐如:
• Binding Key 为"d.a.b” 会同时路由到Q1 和Q2
• Binding Key 为"d.a.f” 会路由到Q1
• Binding Key 为"c.e.f" 会路由到Q2
• Binding Key 为"d.b.f" 会被丢弃, 或者返回给⽣产者(需要设置mandatory参数)
不同之处是:routingKey的匹配⽅式不同,Routing模式是相等匹配,topics模式是通配符匹配.
适合场景: 需要灵活匹配和过滤消息的场景
生产者代码
public static String TOPIC_EXCHANGE_NAME = "test_topic";
public static String TOPIC_QUEUE_NAME1 = "topic_queue1";
public static String TOPIC_QUEUE_NAME2 = "topic_queue2";
import com.rabbitmq.client.BuiltinExchangeType;
import com.rabbitmq.client.Channel;
import com.rabbitmq.client.Connection;
import com.rabbitmq.client.ConnectionFactory;
import constant.Constants;
public class TopicRabbitProducer {
public static void main(String[] args) throws Exception {
//1. 创建channel通道
ConnectionFactory factory = new ConnectionFactory();
factory.setHost(Constants.HOST);//ip 默认值localhost
factory.setPort(Constants.PORT); //默认值5672
factory.setVirtualHost(Constants.VIRTUAL_HOST);//虚拟机名称, 默认 /
factory.setUsername(Constants.USER_NAME);//⽤⼾名,默认guest
factory.setPassword(Constants.PASSWORD);//密码, 默认guest
Connection connection = factory.newConnection();
Channel channel = connection.createChannel();
//2. 创建交换机
channel.exchangeDeclare(Constants.TOPIC_EXCHANGE_NAME,
BuiltinExc