目录
1-2 与其它自动控制相比,过程控制有哪些优点?为什么说过程控制的控制过程多属慢过程?
1-4 何为集散控制系统,试述其基本组成与各部分的作用原理。
2-1 何为被控过程及其数学模型,模型一般可分为哪几类,它与过程控制有何关系?
2-2 什么是过程通道?什么是过程的控制通道和扰动通道?它们的数学模型是否相同?为什么?
2-6图示液位控制过程的输入量为q1,流出量为q2、q3 ,液位h为被控变量,C为容量系数,并设R1、R2、R3均为线性液阻。要求:
2-21 试述在工程应用中,利用热电偶和热电阻测温时,必须注意哪些主要问题?
2-29 为什么说温度、流量、液位等过程都可通过压力间接测量?
3-6 什么是直接参数与间接参数?这两者有何关系?选择被控参数应遵循哪些基本原则?
4-3 与单回路相比,为什么说串级控制系统由于存在一个副回路而具有较强的抑制扰动的能力?编辑
4-19 为什么大滞后过程是一种难控制的过程?它对系统的控制品质影响如何?
4-25 什么叫比值控制系统?常用比值控制方案有哪些?并比较优缺点。
《过程控制系统》习题解答
1-1 试简述过程控制的发展概况及各个阶段的主要特点。
答:第一个阶段 50年代前后:实现了仪表化和局部自动化,其特点:
1、过程检测控制仪表采用基地式仪表和部分单元组合式仪表
2、过程控制系统结构大多数是单输入、单输出系统
3、被控参数主要是温度、压力、流量和液位四种参数
4、控制的目的是保持这些过程参数的稳定,消除或减少主要扰动对生产过程的影响
5、过程控制理论是以频率法和根轨迹法为主体的经典控制理论,主要解决单输入、单输出的定值控制系统的分析和综合问题
第二个阶段 60年代来:大量采用气动和电动单元组合仪表,其特点:
1、过程控制仪表开始将各个单元划分为更小的功能,适应比较复杂的模拟和逻辑规律相结合的控制系统
2、计算机系统开始运用于过程控制
3、过程控制系统方面为了特殊的工艺要求,相继开发和应用了各种复杂的过程控制系统(串级控制、比值控制、均匀控制、前馈控制、选择性控制)
4、在过程控制理论方面,现代控制理论的得到了应用
第三个阶段70年代以来:现代过程控制的新阶段——计算机时代,其特点:
1、对全工厂或整个工艺流程的集中控制、应用计算系统进行多参数综合控制
2、自动化技术工具方面有了新发展,以微处理器为核心的智能单元组合仪表和开发和广泛应用
3、在线成分检测与数据处理的测量变送器的应用
4、集散控制系统的广泛应用
第四个阶段 80年代以后:飞跃的发展,其特点:
1、现代控制理论的应用大大促进了过程控制的发展
2、过程控制的结构已称为具有高度自动化的集中、远动控制中心
3、过程控制的概念更大的发展,包括先进的管理系统、调度和优化等。
1-2 与其它自动控制相比,过程控制有哪些优点?为什么说过程控制的控制过程多属慢过程?
过程控制的特点是与其它自动控制系统相比较而言的。
一、连续生产过程的自动控制
连续控制指连续生产过程的自动控制,其被控量需定量控制,而且应是连续可调的。若控制动作在时间上是离



1-3 什么是过程控制系统,其基本分类是什么?
过程控制系统:工业生产过程中自动控制系统的被控量是温度、压力、流量、液位、成分、年度、湿度和PH等这样一些过程变量的系统。

定值控制系统:是指系统被控量的给定值保持在规定值不变,或在小范围附近不变。
2、程序控制系统:是被控量的给定值按预定的时间程序变化工作,目的是使系统被控量按工艺要求规定的程序自动变化。加热升温或逐次降温等。
3、随动控制系统:是一种被控量的给定值随时间任意变化的控制系统,主要作用是克服一切扰动,使控量快速跟随给定值而变化。空气量与燃料量的关系。
1-4 何为集散控制系统,试述其基本组成与各部分的作用原理。
集散控制系统是分布(分散)控制系统(Distributed Control System)的简称,国内一般习惯称为集散控制系统。它是一个由过程控制级和过程监控级组成的以通信网络为纽带的多级计算机系统,综合了计算机(Computer)、通讯(Communication)、显示(CRT)和控制(Control)等4C技术,其基本思想是分散控制、集中操作、分级管理、配置灵活、组态方便。
集散控制系统经历了三代的发展,但从基本机构上来看,他们有相同的
特性,其基本结构可分为三大部分。
现场控制装置:完成模拟量与数字量的相互转换,完成控制算法的各种运算,对输入量和输出量进行有关的软件滤波及其他的一些运算。
操作管理装置:操作员通过操作管理装置了解生产的运行状况,并发出操作指令给生产过程。生产过程的各种参数在操作管理装置上显示,以便于操作人员监视和操作。
通信系统:过程控制装置与操作管理之间需要有一个桥梁来完成数据之间的传递和交换,这就是通信系统。
2-1 何为被控过程及其数学模型,模型一般可分为哪几类,它与过程控制有何关系?
被控过程是指正在运行中的多种多样的被控制的生产工艺设备。
被控过程的数学模型是指过程在各输入量作用下,其相应的输出量变化函数关系的数学表达式。
过程数学模型的两种描述形式:
非参量形式:即用曲线或数据表格来表示(形象、直观,但对进行系统的设计和综合不方便)。
参量形式: 即用数学方程来表示(方便,描述形式有: 微分方程、传递函数、差分方程、脉冲响应函数、状态方程等)。
2-2 什么是过程通道?什么是过程的控制通道和扰动通道?它们的数学模型是否相同?为什么?
过程通道: 输入量与输出量间的信号联系。
扰动通道: 扰动作用与被控量间的信号联系。
控制通道:控制作用与被控量间的信号联系。
不同,因为同一个系统,通道不同,输入输出关系不同,其数学模型亦不一样。
2-3 从阶跃响应曲线看,大多数被控过程有何特点?
绝大部分工业过程的动态特性具有自衡能力,因此其模型可以近似为以下几类: 近似地以一阶、二阶、一阶加滞后、二阶加滞后特性之一来描述。
2-4 试述研究过程建模的主要目的及其建模方法?
1.设计过程控制系统和整定调节器参数。
2.进行仿真试验研究。
3.指导生产工艺设备的设计。
4.培训运行操作人员。
机理法:又称数学分析法或者理论建模法,根据过程的内在机理,通过静态与动态物料平衡和能量平衡等关系用数学推导的方法求取过程的数学模型。
试验法:在实际的生产过程中,根据过程的输入、输出的实验数据来获得过程的数学模型。
2-6图示液位控制过程的输入量为q1,流出量为q2、q3 ,液位h为被控变量,C为容量系数,并设R1、R2、R3均为线性液阻。要求:
- 列出液位过程的微分方程组;
- 画出液位控制过程框图;
- 求取液位过程的传递函数。

2-13 已知某液位过程的阶跃相应数值
t/s 0 10 20 40 60 80 100 140 180 250 300 400 500 600
h/mm 0 0 0.2 0.8 2.0 3.6 5.4 8.8 11.8 14.4 16.6 18.4 19.2 19.6
当其阶跃扰动量为20%时要求:
画出液位过程的阶跃响应曲线;
用一阶加滞后环节近似描述

2-18 何为测量和测量误差?什么是仪表的精度等级?若用测量范围为0-200摄氏度的温度计测温,在正常工作条件下,进行数次测量,其误差分别为-0.2,0,0.1,0.3,试确定该仪表的精度等级?
测量:利用一个已知的单位量与被测的同类量进行比较,通过比较可知被测量是已知单位量若干倍的过程。
测量误差--在测量过程中测量结果与被测量的真值之间会有一定的差值。它反映了测量结果的可靠程度。
绝对误差的最大值为0.3,0.3/200=0.15%,所以精度等级为0.2
2-21 试述在工程应用中,利用热电偶和热电阻测温时,必须注意哪些主要问题?
热电偶要注意补偿导线和冷端温度补偿,
热电偶用于较高温度测量,500度以下用热电阻;热电偶使用时注意正确使用补偿导线的类型并注意配套连接。热电阻测温应该注意三线制接线方法;也可以 采用四线制接法。
安装时要求仪表与介质充分接触;注意使用现场的工作环境,合理选择仪表的精度和量程,正确选择安装位置,采用正确安装方法等保证仪表正常工作。
2-29 为什么说温度、流量、液位等过程都可通过压力间接测量?
在工业生产过程中,压力与温度、流量或液位之间成单值函数关系。
2-38 在工程应用中选用液位检测仪表需注意哪些问题?
(1)检测精度 对于计量和经济核算的场合,应选用精度等级较高的液位检测仪表,如超声波液位计的精度为±5mm,对于一般检测精度可选用其它的液位计。
(2)工作条件 对于测量高温、高压、低温、高粘度、腐蚀性、泥浆等特殊介质或在其他方法难以检测的各种恶劣条件下的某些特殊场合
(3)测量范围:测量范围较大,可选用电容式液位计。
(4)刻度范围:最高液位或上限报警点应为最大刻度的90%;正常液位为最大刻度的50%;最低液位或下限报警点为最大刻度的10%左右。
其他:还要考虑容器的形状、大小;被测介质的状态;现场安装条件;安全性;信号输出方式等问题。
3-3 请归纳一下过程控制系统设计的主要内容。
控制方案的设计:系统设计的核心,包括合理选择被控参数和控制参数、信息的获取和变送、调节阀的选择、调节器控制规律及正、反作用方式的确定等。
工程设计:在方案设计的基础上进行,包括仪表选型、控制室和仪表盘设计、仪表供电供气系统设计、信号及联锁保护系统设计等。
工程安装和仪表调校:系统正常运行的前提,安装完毕后要对每台仪表进行单校和对各个回路联校等。
调节器参数工程整定:保证系统运行在最佳状态。
3-6 什么是直接参数与间接参数?这两者有何关系?选择被控参数应遵循哪些基本原则?
直接参数:直接反应生产过程产品产量和质量,以及安全运行的参数。
间接参数: 能间接反应产品质量和产量又与直接参数有单值对应关系的、易于测量的参数作为被控参数。
直接参数与间接参数有单值对应关系。
归纳起来:
1)选择对产品和质量、安全生产、经济运行等具有决定性作用的、可直接测量的工艺参数
2)当不能用直接参数作为被控参数时,应该选择一个与直接参数有单值函数关系的间接参数作为被控参数
3)被控参数必须有足够的灵敏度
4)被控参数的选取考虑工艺过程的合理性和所用仪表的性能。
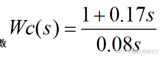
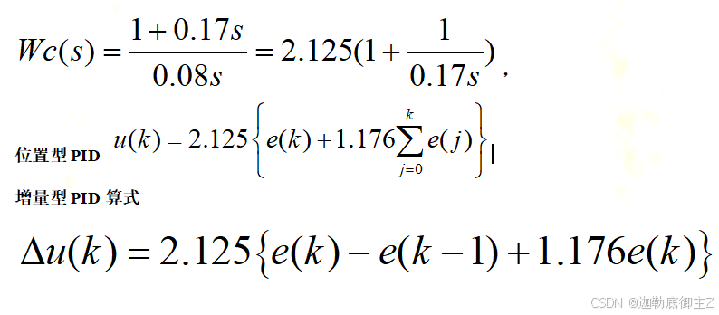
3-18 已知模型调节器的传递函数
,采用数字PID算式实现,试分别写出相应的位置型PID和增量型PID算式。设采样周期为T=0.2s。
4-1 什么叫串级控制系统?
串级控制系统结构可用下图表示:
4-2 与单回路系统相比,串级控制系统有哪些主要特点?
1、改善了被控过程的动态特性,提高了系统的工作效率
2、大大增强了二次扰动的克服能力
3、一次扰动有较好的克服能力
4、副路参数变化具有一定的自适应能力
4-3 与单回路相比,为什么说串级控制系统由于存在一个副回路而具有较强的抑制扰动的能力?
4-8 串级控制系统通常可用在哪些场合?
- 用于克服对象较大的容量滞后
- 用于克服对象的纯滞后
- 用于克服变化剧烈和幅值大的干扰
- 用于克服对象的非线性
4-11 前馈控制与反馈控制各有什么特点?
前馈控制与反馈控制的特点:检测:前馈控制测干扰,反馈控制测被控量;效果:克服干扰,前馈控制及时,理论上可实现完全补偿,“基于扰动消除扰动” ;经济性:克服干扰,前馈控制只能一对一,不如反馈控制经济;稳定性:前馈为开环,不存在稳定性问题(只要每个环节都稳定)反馈则不同,稳定性与控制精度是矛盾的;控制规律:前馈控制器的控制规律取决于被控对象和扰动通道的特性,控制规律往往比较复杂 。
4-12 在什么条件下前馈效果最好?
前馈控制只有在实现完全补偿的前提下,才能使系统得到良好的动态品质。
4-16 冷凝器温度前馈-反馈符合控制系统如图4-23所示。已知扰动通道特性
;控制通道特性
;温度调节器采用PI规律。试求该复合控制系统中,前馈控制器的数学模型W(s)?

4-19 为什么大滞后过程是一种难控制的过程?它对系统的控制品质影响如何?
由过程控制通道中存在的纯滞后,使得被控量不能及时反映系统所承受的扰动,因此这样的过程必然会产生较明显的超调量和需要较长的调节时间,被公认为较难控制的过程。
当t/T增加时,过程中的相位滞后增加而使超调量增大甚至会因为严重超调而出现聚爆、结焦等事故,此外大滞后会降低整个控制系统的稳定性。
4-25 什么叫比值控制系统?常用比值控制方案有哪些?并比较优缺点。
凡是两个或多个变量自动维持一定比值关系的过程控制系统,统称为比值控制系统。
开环比值控制: 简单、成本低;只有当Q1变化时才起控制作用;Q2变化时Q1不会响应,比例关系被破坏。
单闭环比值控制: 能克服开环比值方案的不足。优点:不但能实现流量的副量跟随主量变化,而且能克服流量干扰等。缺点:主流量不受控。
双闭环比值控制:能克服单闭环主流量不受控的不足。升降负荷比较方便。
变比值控制:在有些生产过程中,要求两种物料流量的比值随第三个变量的变化而变化。比值只是一种手段,不是最终目的,而第三变量Y(s)往往是产品质量指标。
4-29 在制药工业中,为了增强药效,需要对某种成分的药物注入一定量的镇定剂、缓冲剂或加入一定的酸或碱,使药物呈现酸性或碱性。这种注入过程一般在一个混合槽中进行。生产要求药物与注入剂混合后的含量必须符合规定的比例。同时在混合过程中不允许药物流量突然发生变化,比免引起混合过程产生局部的化学反应。
为了防止发生要求流量q产生急剧变化,通常在混合槽前面增加一个停留槽,如图4-93所示,使药物流量先进入停留槽,然后再进入混合槽,同时停留槽设有液位控制,从而使q经停留槽后的流量q1平缓变化。为了保证药物与注入剂按严格规定的比例数值混合,设计了图示比值控制系统流程图。试由控制流程图画出框图,确定调节阀的气开、气关形式和调节器的正、反作用方式。
V1 气关式 LC 反作用
F1C 正作用
V2 气开式 F2C 反作用
4-30 什么叫分程控制?怎样实现分程控制?
由一个控制器的输出信号分段分别去控制两个或两个以上控制阀动作的系统称为分程控制系统。
分程控制是通过阀门定位器或电气阀门定位器来实现的。
关注作者了解更多
我的其他CSDN专栏
关注作者了解更多
资料来源于网络,如有侵权请联系编者