1. 二叉搜索树的概念
二叉搜索树又称二叉排序树,它或者是一颗空树,或者是具有以下性质的二叉树:
1. 若它的左子树不为空,则左子树上的所有结点的值都小于等于根节点的值。
2. 若它的右子树不为空,则右子树上的所有结点的值都大于等于根节点的值。
3. 它的左右子树也分别为二叉搜索树。
4. 二叉搜索树中可以支持插入相等的值,也可以不支持插入相等的值,具体看使用场景定义。

2. 二叉搜索树的性能分析
最优情况下,二叉搜索树为完全二叉树(或者接近完全二叉树),其高度为:log2 N。
最差情况下,二叉搜索树退化为单支树(或者类似单支),其高度为:N。
所以综合而言二叉搜索树增删查改时间复杂度为O(N)。
另外需要说明的是,二分查找也可以实现O(log2N)级别的查找效率,但是二分查找有两大缺陷:
1. 需要存储在支持下标随机访问的结构中,并且有序。
2. 插入和删除数据效率很低,因为存储在下标随机访问的结构中,插入和删除数据一般需要挪动数据。
这里也就体现出了平衡二叉搜索树的价值。

3. 二叉搜索树的插入
插入的具体过程如下:
1. 树为空,则直接新增结点,赋值给root指针。
2. 树不空,按二叉搜索树的性质,插入值比当前结点大往右走,插入值比当前结点小往左走,找到空位置,插入新结点。
3. 如果支持插入相等的值,插入值跟当前结点相等的值可以往右走也可以往左走,找到空位置,插入新结点。(要注意的是要保持逻辑一致性,插入相等的值不要一会往右走,一会往左走)。
我给出的示例代码是不支持插入相等的值的。
bool Insert(const T& key)
{
if (_root == nullptr)
{
_root = new Node(key);
return true;
}
Node* cur = _root;
Node* parent = nullptr;
while (cur)
{
if (key > cur->_key)
{
parent = cur;
cur = cur->_right;
}
else if (key < cur->_key)
{
parent = cur;
cur = cur->_left;
}
else
{
return false;
}
}
cur = new Node(key);
if (key > parent->_key)
{
parent->_right = cur;
}
else
{
parent->_left = cur;
}
return true;
}
4. 二叉搜索树的查找
1. 从根开始比较,查找x,x比根的值大则往右边走查找,比根的值小则往左边走查找。
2. 最多查找高度次,走到空,还没找到,那么就说明这个值不存在。
3. 如果不支持插入相等的值,找到x即可返回。
4. 如果支持插入相等的值,意味着有多个x存在,一般是要求查找中序的第一个x。如下图,查找3,要找到1的右孩子的那个3返回。

bool Find(const T& x)
{
Node* cur = _root;
while (cur)
{
if (x > cur->_key)
{
cur = cur->_right;
}
else if (x < cur->_key)
{
cur = cur->_left;
}
else
{
return true;
}
}
return false;
}
5. 二叉搜索树的删除
首先查找元素是否在二叉搜索树中,如果不存在,直接返回false。
如果查找元素存在,则分为以下四种情况分别处理:(假设要删除的结点为N)
1. N的左右孩子均为空。
2. N左孩子为空,右孩子不为空。
3. N右孩子为空,左孩子不为空。
4. N的左右孩子均不为空
对应以上四种情况的解决方案:
1. 把N结点的父亲对应孩子指针指向空,直接删除N结点。(情况1可以当成情况2或者情况3处理,效果是一样的)
2. 把N结点的父亲对应孩子指针指向右孩子,直接删除N结点。
3. 把N结点的父亲对应孩子指针指向左孩子,直接删除N结点。
4. 无法直接删除N结点,因为N的两个孩子无处安放,只能用替换法删除。找N左子树的值最大结点R(最右结点)或者N右子树的值最小结点R(最左结点)替代N,因为这两个结点中任意一个,放到N的位置,都满足二叉搜索树的规则。替代N的意思就是N和R的两个结点的值交换,转而变成删除R结点,R结点符合情况2和情况3,可以直接删除。
bool Erase(const T& key)
{
Node* cur = _root;
Node* parent = nullptr;
while (cur)
{
if (key > cur->_key)
{
parent = cur;
cur = cur->_right;
}
else if (key < cur->_key)
{
parent = cur;
cur = cur->_left;
}
else
{
// 开始删除
if (cur->_left == nullptr)
{
if (cur == _root)
{
_root = cur->_right;
}
else
{
if (cur == parent->_left)
{
parent->_left = cur->_right;
}
else
{
parent->_right = cur->_right;
}
}
delete cur;
}
else if (cur->_right == nullptr)
{
if (cur == _root)
{
_root = cur->_left;
}
else
{
if (cur == parent->_left)
{
parent->_left = cur->_left;
}
else
{
parent->_right = cur->_left;
}
}
delete cur;
}
else
{
// 找右子树的最小节点(最左节点)替代
Node* replace_parent = cur;
Node* replace = cur->_right;
while (replace->_left)
{
replace_parent = replace;
replace = replace->_left;
}
swap(cur->_key, replace->_key);
if (replace == replace_parent->_left)
{
replace_parent->_left = replace->_right;
}
else
{
replace_parent->_right = replace->_right;
}
delete replace;
}
return true;
}
}
return false;
}
6. 完整的实现代码
#include<iostream>
using namespace std;
template<class T>
struct BinarySearchTreeNode
{
T _key;
BinarySearchTreeNode<T>* _left;
BinarySearchTreeNode<T>* _right;
BinarySearchTreeNode(const T& key)
:_key(key)
,_left(nullptr)
,_right(nullptr)
{ }
};
template<class T>
class BSTree
{
typedef BinarySearchTreeNode<T> Node;
public:
bool Insert(const T& key)
{
if (_root == nullptr)
{
_root = new Node(key);
return true;
}
Node* cur = _root;
Node* parent = nullptr;
while (cur)
{
if (key > cur->_key)
{
parent = cur;
cur = cur->_right;
}
else if (key < cur->_key)
{
parent = cur;
cur = cur->_left;
}
else
{
return false;
}
}
cur = new Node(key);
if (key > parent->_key)
{
parent->_right = cur;
}
else
{
parent->_left = cur;
}
return true;
}
bool Find(const T& x)
{
Node* cur = _root;
while (cur)
{
if (x > cur->_key)
{
cur = cur->_right;
}
else if (x < cur->_key)
{
cur = cur->_left;
}
else
{
return true;
}
}
return false;
}
bool Erase(const T& key)
{
Node* cur = _root;
Node* parent = nullptr;
while (cur)
{
if (key > cur->_key)
{
parent = cur;
cur = cur->_right;
}
else if (key < cur->_key)
{
parent = cur;
cur = cur->_left;
}
else
{
// 开始删除
if (cur->_left == nullptr)
{
if (cur == _root)
{
_root = cur->_right;
}
else
{
if (cur == parent->_left)
{
parent->_left = cur->_right;
}
else
{
parent->_right = cur->_right;
}
}
delete cur;
}
else if (cur->_right == nullptr)
{
if (cur == _root)
{
_root = cur->_left;
}
else
{
if (cur == parent->_left)
{
parent->_left = cur->_left;
}
else
{
parent->_right = cur->_left;
}
}
delete cur;
}
else
{
// 找右子树的最小节点(最左节点)替代
Node* replace_parent = cur;
Node* replace = cur->_right;
while (replace->_left)
{
replace_parent = replace;
replace = replace->_left;
}
swap(cur->_key, replace->_key);
if (replace == replace_parent->_left)
{
replace_parent->_left = replace->_right;
}
else
{
replace_parent->_right = replace->_right;
}
delete replace;
}
return true;
}
}
return false;
}
void _InOrder(Node* root)
{
if (root == nullptr)
{
return;
}
_InOrder(root->_left);
cout << root->_key << ' ';
_InOrder(root->_right);
}
void InOrder()
{
_InOrder(_root);
cout << endl;
}
private:
Node* _root = nullptr;
};
int main()
{
BSTree<int> tree;
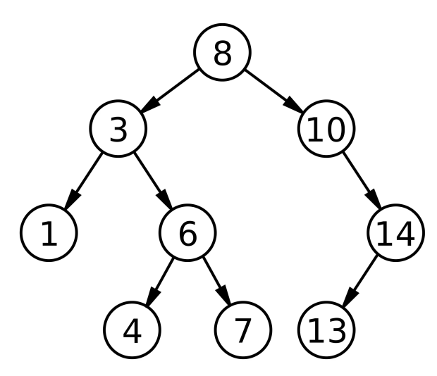
int arr[] = { 8, 3, 1, 10, 6, 4, 7, 14, 13 };
for (auto& e : arr)
{
tree.Insert(e);
}
tree.InOrder();
cout << tree.Find(10) << endl;
cout << tree.Find(100) << endl;
tree.Erase(10);
tree.Erase(6);
tree.InOrder();
return 0;
}