目录

前言
本文讲解红黑树,主要讲解插入部分的实现,建议在理解了AVL树的旋转后再来学习红黑树,因为红黑树也涉及旋转,并且和AVL数的旋转一样。
一、红黑树的概念
1.概念
红黑树是一棵二叉搜索树,他的每个结点增加一个存储位来表示结点的颜色,可以是红色或者黑色。 通过对任何一条从根到叶子的路径上各个结点的颜色进行约束,红黑树确保没有一条路径会比其他路径长出2倍,因而是接近平衡的。
2.红黑树的规则
- 每个结点不是红色就是黑色
- 根节点是黑色的
- 如果一个结点是红色的,则它的两个孩子结点必须是黑色的,也就是说任意一条路径不会有连续的红色结点。
- 对于任意一个结点,从该结点到其所有NULL结点的简单路径上,均包含相同数量的黑色结点。
如下图:

- 以上二叉树都满足红黑树的规则,所以都是属于红黑树。
- 注意:判断红黑树的一条路径是否满足规则时,一定要走到空结点,以空结点为一条路径的终点。比如下图就不是红黑树(最左边路径只有一个黑结点):
- 补充:《算法导论》等书籍上补充了一条每个叶子结点(NIL)都是黑色的规则。他这里所指的叶子结点不是传统的意义上的叶子结点,而是我们说的空结点,有些书籍上也把NIL叫做外部结点。NIL是为了方便准确的标识出所有路径,《算法导论》在后续讲解实现的细节中也忽略了NIL结点,所以我们知道一下这个概念即可。
- 简单来说:上面第3点规则表示红色结点的孩子结点必是黑色,但是该红色结点的孩子可能为空,所以补充说明的意思是空结点也可以看成黑色结点。
- 该补充可以方便我们观察数路径个数,因为每条路径需要数到空结点,我们直接数空结点就行了,但实际代码实现中我们不会去管空结点的颜色的。
如图:

- 红黑树就是通过控制结点颜色以满足以上规则,最终控制整棵树的高度差。
- 总之,通过以上这些规则就能保证:最长路径 <= 2*最短路径
3.思考:红黑树如何确保最长路径不超过最短路径的2倍的?
- 由规则4可知,从根到NULL结点的每条路径都有相同数量的黑色结点,所以极端场景下,最短路径就就是全是黑色结点的路径,假设最短路径长度为bh(blackheight)。
- 由规则2和规则3可知,任意一条路径不会有连续的红色结点,所以极端场景下,最长的路径就是一黑一红间隔组成,那么最长路径的长度为2*bh。
- 综合红黑树的4点规则而言,理论上的全黑最短路径和一黑一红的最长路径并不是在每棵红黑树都存在的。假设任意一条从根到NULL结点路径的长度为h,那么bh<=h<=2*bh。

4.红黑树的效率
- 假设N是红黑树树中结点数量,h最短路径的长度,那么
,由此推出
,也就是意味着红黑树增删查改最坏也就是走最长路径 2 ∗ logN,那么时间复杂度还是 O(logN) 。
- 比如2的30次方 = 10亿多,10亿个值对于一般内存来说是极限了,假如是最短路径也就查找30次,那么最长路径也就查找60次,对于cpu强大的计算力来说,30次和60次区别不大。
- 红黑树的表达相对AVL树要抽象一些,AVL树通过高度差直观的控制了平衡。红黑树通过4条规则的颜色约束,间接的实现了近似平衡,他们效率都是同一档次,但是相对而言,插入相同数量的结点,红黑树的旋转次数是更少的,因为他对平衡的控制没那么严格。
- 总之,AVL树高度控制肯定比红黑树好,严格来说 AVL 树的查找效率略优,但是实际上它们之间的查找差距对于CPU来说可以忽略不计。
二、红黑树的实现
1.基本框架:
#pragma once
#include <iostream>
using namespace std;
//用枚举定义红黑颜色
enum Colour
{
RED,
BLACK
};
//定义红黑树节点
template<class K,class V>
struct RBTreeNode
{
pair<K, V> _kv;//数据
RBTreeNode<K, V>* _left;//左孩子指针
RBTreeNode<K, V>* _right;//右孩子指针
RBTreeNode<K, V>* _parent;//父结点指针
Colour _col;//颜色
RBTreeNode(const pair<K, V>& kv)
:_kv(kv)
, _left(nullptr)
, _right(nullptr)
,_parent(nullptr)
{ }
};
//红黑树定义
template<class K,class V>
class RBTree
{
typedef RBTreeNode<K, V> Node;//重命名
public:
private:
Node* _root = nullptr;//根结点
};
- 基本框架与AVL树差不多,只是多了一个枚举类型Colour,用来定义红黑两种颜色。
- 结点依旧采用三叉链,数据类型依旧是pair类型,与AVL树不同的是多了一个_col变量用于控制颜色。
2.红黑树的插入
大概过程有4点:
- 1. 插入一个值按二叉搜索树规则进行插入,插入后我们只需要观察是否符合红黑树的4条规则。
前面二叉搜索树的规则部分的代码已经很熟悉了,我们先写出来:
bool Insert(const pair<K, V>& kv)
{
//先按照搜索二叉树的方式查找插入点
if (_root == nullptr)
{
_root = new Node(kv);
return true;
}
Node* cur = _root;//当前节点
Node* parent = nullptr;//父节点
while (cur)
{
if (kv.first > cur->_kv.first)
{
parent = cur;
cur = cur->_right;
}
else if (kv.first < cur->_kv.first)
{
parent = cur;
cur = cur->_left;
}
else
{
return false;//不支持重复节点
}
}
cur = new Node(kv);
if (kv.first > parent->_kv.first)
{
parent->_right = cur;
}
else
{
parent->_left = cur;
}
cur->_parent = parent;
//变色
//...
return true;
}
这一段代码相信大家已经很熟悉了,根据搜索二叉树的规则,大的值往右走,小的往左走,直达找到为空的位置插入。
- 2. 如果是空树插,新增结点是黑色结点。如果是非空树插入,新增结点必须红色结点,因为非空树插入,新增黑色结点就破坏了规则4,规则4是很难维护的。
- 具体点说,根节点必须是黑色,因为根节点为红色则孩子节点必为黑,这导致只有1个孩子就破坏了规则4。然后新增节点也必须先设置为红色,因为如果设置为黑色,那么就容易破坏规则4,规则4是每条路径的黑色结点数量相同,所以先设置为红色更合适。
将以上代码加上颜色的初始化:
bool Insert(const pair<K, V>& kv)
{
//先按照搜索二叉树的方式查找插入点
if (_root == nullptr)
{
_root = new Node(kv);
_root->_col = BLACK;//根节点为黑色
return true;
}
Node* cur = _root;
Node* parent = nullptr;
while (cur)
{
if (kv.first > cur->_kv.first)
{
parent = cur;
cur = cur->_right;
}
else if (kv.first < cur->_kv.first)
{
parent = cur;
cur = cur->_left;
}
else
{
return false;
}
}
cur = new Node(kv);
cur->_col = RED;//新增节点为红色
if (kv.first > parent->_kv.first)
{
parent->_right = cur;
}
else
{
parent->_left = cur;
}
cur->_parent = parent;
//变色
//...
return true;
}
剩下步骤:
- 3. 非空树插入后,新增结点必须红色结点,如果父亲结点是黑色的,则没有违反任何规则,插入结束。
- 4. 非空树插入后,新增结点必须红色结点,如果父亲结点是红色的,则违反规则3。需要进一步分析,这时候就需要进行颜色调整了。

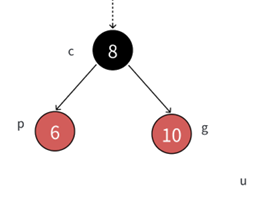
说明:上图中假设我们把新增结点x标识为c(cur),c的父亲标识为p(parent),p的父亲标识为 g(grandfather),p的兄弟标识为u(uncle)。
- 根据以上步骤分析,也就是只有检查到父节点为红色时才需要进行调整。
- 如上图新插入节点x的父节点为红色,不符合规则3,也就是红色节点的孩子节点必须为黑色,所以需要调整。
- 我们将新增节点叫c,c的父节点叫p,c的父父节点叫g。仔细分析,如果插入节点时出现父节点为红色的情况,那么这三个节点的颜色是固定的,也就是c、p、g三者颜色固定,唯一不确定的就是c的叔叔节点u了。
- 为什么g一定是黑呢,因为原树肯定需要保持红黑树的,你不能说我插入新节点前你树已经不符合红黑树了,出现问题一定是新增节点时并且在新增节点时解决。
- 所以,调整的关键就是看u的情况,需要根据u分为以下几种情况分别处理。
3.情况1:变色
- 当c为红,p为红,g为黑,u存在且为红时,此时为情况1.
- 解决方法:将p和u变黑,g变红。在把g当做新的c,继续往上更新。
- 分析:因为p和u都是红色,g是黑色,把p和u变黑,左边子树路径各增加一个黑色结点,g再变红,相当于保持g所在子树的黑色结点的数量不变,同时解决了c和p连续红色结点的问题,需要继续往上更新是因为,g是红色,如果g的父亲还是红色,那么就还需要继续处理;如果g的父亲是黑色,则处理结束 了;如果g就是整棵树的根,再把g变回黑色。
- 情况1只变色,不旋转。所以无论c是p的左还是右,p是g的左还是右,都是上面的变色处理方式。

- 和AVL树类似,上图我们展示了一种具体情况,但是实际中需要这样处理的有很多种情况。所以我们使用抽象图表示:
- 如上图将以下类似的处理进行了抽象表达,d、e、f代表每条路径拥有hb个黑色结点的子树,a、b代表每条路径拥有hb-1个黑色结点的根为红的子树(因为x为黑所以hb-1),hb>=0。抽象图中c一开始是黑色,这代表c不是新增节点,c是由于其子树进行了情况1变色,导致自身被修改为红色,需要继续更新。
- 以下是一些具体情况图,随着hb的增加,情况只会更多。(hb为黑色结点的数量)
- 总之,记住情况1只变色不旋转,因此新增节点c无论在p的左边还是右边都可以,p无论在g的左边还是右边无所谓,只要新增节点c的父节点p存在且为红,u也存在且为红,那么就是情况1的变色处理。
可以先将这部分代码写出来:
bool Insert(const pair<K, V>& kv)
{
//先按照搜索二叉树的方式查找插入点
if (_root == nullptr)
{
_root = new Node(kv);
_root->_col = BLACK;//根节点为黑色
return true;
}
Node* cur = _root;
Node* parent = nullptr;
while (cur)
{
if (kv.first > cur->_kv.first)
{
parent = cur;
cur = cur->_right;
}
else if (kv.first < cur->_kv.first)
{
parent = cur;
cur = cur->_left;
}
else
{
return false;
}
}
cur = new Node(kv);
cur->_col = RED;//新增节点为红色
if (kv.first > parent->_kv.first)
{
parent->_right = cur;
}
else
{
parent->_left = cur;
}
cur->_parent = parent;
//红黑树的调整
while (parent && parent->_col == RED)//父节点存在且为红色
{
Node* grandfather = parent->_parent;//父父节点
if (grandfather->_left == parent)//parent为左孩子时
{
Node* uncle = grandfather->_right;//叔叔节点(父节点的兄弟节点)
if (uncle && uncle->_col == RED)//情况1:父节点为红色,叔叔节点也为红色
{
//变色
parent->_col = uncle->_col = BLACK;//将父节点和兄弟节点变为黑
grandfather->_col = RED;//父父节点变为红
//继续往上处理
cur = grandfather;
parent = cur->_parent;
}
//其他情况...
}
else//parent为右孩子,与上面类似,相当于翻个面
{
Node* uncle = grandfather->_left;//叔叔节点变为左孩子
if (uncle && uncle->_col == RED)//情况1:父节点为红色,叔叔节点也为红色
{
//变色
parent->_col = uncle->_col = BLACK;//将父节点和兄弟节点变为黑
grandfather->_col = RED;//父父节点变为红
//继续往上处理
cur = grandfather;
parent = cur->_parent;
}
//其它情况...
}
}
_root->_col = BLACK;//强制根节点为黑色
return true;
}
- 简单解释一下,调整的总条件也就是while的条件,就是父节点存在且为红,因为可能需要往上继续调整,所以写成循环。
- 前面说过,情况1对于新增节点的位置不重要,但是因为还有其他情况存在,也就是uncle节点的颜色是红还是黑,这些都涉及需要确认uncle节点,但是拿到uncle节点需要先确认parent节点,所以根据parent是grandfather的左孩子还是右孩子,分成两种情况。
- 这两种情况对于情况1来说,就只有uncle的位置不同了。处理方法就是:只要uncle节点存在且为红,那么就将parent和uncle的颜色改为黑色,grandfather的颜色改为红色,然后因为不确定grandfather的父节点颜色,所以需要继续向上处理。
- 最后因为grandfather可能是根节点,所以无论根节点颜色有没有被改成红色,我们最后都强制根节点为黑色,因为根节点为黑相当于每条路径都至少有一个黑节点,并不违反红黑树的规则。
4.情况2:单旋+变色
- c为红,p为红,g为黑,u不存在或者u存在且为黑,此时属于情况2。
- u不存在,则c一定是新增结点,u存在且为黑,则 c一定不是新增,c之前是黑色的,是在c的子树中插入,符合情况1,变色将c从黑色变成红色,更新上来的。
- 解释:u不存在时,此时只有g一个节点为黑,c不可能是已经存在的黑变为红的,因为u的那条路径只有一个根节点的黑色,所以c为红只能是新增的节点。当u存在且为黑时,c不可能是新增的,因为u为黑,u的那条路径已经有两黑色了,p的那条路径只有1黑,如果c是新增节点,那么说明树之前就不是红黑树了,所以c之前一定是黑色,它是由于其子树出现情况1导致变为红色的。
- 分析:p必须变黑,才能解决,连续红色结点的问题,u不存在或者是黑色时,这里单纯的变色无法解决问题,需要旋转+变色。

- 如上图,u不存在的情况,此时单纯变色解决不了问题,需要进行旋转。
- 根据AVL所学,新增节点到根节点路径为一条直线,只需进行右单旋:将p的右孩子给g的左孩子,再将g变为p的右孩子。
- 单旋后,如图,只需将p的颜色改为黑,g的颜色改为红即可,此时左右路径的黑色数量都相同。
- 最后,请问我们还需要继续往上更新吗?答案是不需要了,无论此时p,c,g是子树还是整棵树,它子树已经平衡不会对外造成影响,所以此时直接break结束就行。
- u存在且为黑时,我们可以看一下抽象图。此时c是已经存在的黑色节点由于子树出现情况1变为的红色,hb是黑色节点数量,a,b一开始是hb-1个,d由于图上只有一个根节点为黑,所以d=hb个,e,f因为已经有两黑色,所以e,f=hb-1。经过右单旋+变色处理后,很明显,加上根节点的黑色后,每条路径都有hb+1个黑色结点。完美的遵循了规则4.
当然,既然是旋转的话,存在右单选,那么肯定存在左单旋,我们将这两种情况总结一下:
- 如上图,如果p是g的左,c是p的左,那么以g为旋转点进行右单旋,再把p变黑,g变红即可。p变成课这颗树新的根,这样子树黑色结点的数量不变,没有连续的红色结点了,且不需要往上更新,因为p的父亲是黑色还是红色或者空都不违反规则。
- 如上,如果p是g的右,c是p的右,那么以g为旋转点进行左单旋,再把p变黑,g变红即可。p变成课这颗树新的根,这样子树黑色结点的数量不变,没有连续的红色结点了,且不需要往上更新,因为p的父亲是黑色还是红色或者空都不违反规则。
代码书写,关于单旋的代码就是将AVL树的单旋拿过来去掉平衡因子部分即可:
public:
bool Insert(const pair<K, V>& kv)
{
//先按照搜索二叉树的方式查找插入点
if (_root == nullptr)
{
_root = new Node(kv);
_root->_col = BLACK;//根节点为黑色
return true;
}
Node* cur = _root;
Node* parent = nullptr;
while (cur)
{
if (kv.first > cur->_kv.first)
{
parent = cur;
cur = cur->_right;
}
else if (kv.first < cur->_kv.first)
{
parent = cur;
cur = cur->_left;
}
else
{
return false;
}
}
cur = new Node(kv);
cur->_col = RED;//新增节点为红色
if (kv.first > parent->_kv.first)
{
parent->_right = cur;
}
else
{
parent->_left = cur;
}
cur->_parent = parent;
//红黑树的调整
while (parent && parent->_col == RED)//父节点存在且为红色
{
Node* grandfather = parent->_parent;//父父节点
if (grandfather->_left == parent)//parent为左孩子
{
Node* uncle = grandfather->_right;//叔叔节点(父节点的兄弟节点)
if (uncle && uncle->_col == RED)//情况1:父节点为红色,叔叔节点也为红色
{
//变色
parent->_col = uncle->_col = BLACK;//将父节点和兄弟节点变为黑
grandfather->_col = RED;//父父节点变为红
//继续往上处理
cur = grandfather;
parent = cur->_parent;
}
else//情况2:叔叔节点不存在或者存在且为黑,需要旋转+变色
{
if (cur == parent->_left)//cur为parent的左孩子
{
//形状:此时需要右单旋
// g
// p u
//c
RotateR(grandfather);//右单旋
parent->_col = BLACK;
grandfather->_col = RED;
}
//双旋情况...
break;
}
}
else//parent为右孩子,与上面类似,相当于翻个面
{
Node* uncle = grandfather->_left;//叔叔节点变为左孩子
if (uncle && uncle->_col == RED)//情况1:父节点为红色,叔叔节点也为红色
{
//变色
parent->_col = uncle->_col = BLACK;//将父节点和兄弟节点变为黑
grandfather->_col = RED;//父父节点变为红
//继续往上处理
cur = grandfather;
parent = cur->_parent;
}
else//情况2:叔叔节点不存在或者存在且为黑,需要旋转+变色
{
if (cur == parent->_right)//cur为parent的右孩子
{
//形状:此时需要左单旋
// g
// u p
// c
RotateL(grandfather);//左单旋
parent->_col = BLACK;
grandfather->_col = RED;
}
//双旋情况...
break;
}
}
}
_root->_col = BLACK;//强制根节点为黑色
return true;
}
private:
//右单旋
void RotateR(Node* parent)
{
Node* subL = parent->_left;//左孩子
Node* subLR = subL->_right;//左孩子的右孩子
//旋转过去
parent->_left = subLR;
subL->_right = parent;
Node* ppNode = parent->_parent;//记录父父节点
//更新父节点指针
if (subLR)
subLR->_parent = parent;
parent->_parent = subL;
if (parent == _root)//判断根节点
{
_root = subL;
subL->_parent = nullptr;
}
else
{
if (ppNode->_left == parent)
{
ppNode->_left = subL;
}
else
{
ppNode->_right = subL;
}
subL->_parent = ppNode;
}
}
//左单旋
void RotateL(Node* parent)
{
Node* subR = parent->_right;//右孩子
Node* subRL = subR->_left;//右孩子的左孩子
//旋转过去
parent->_right = subRL;
subR->_left = parent;
Node* ppNode = parent->_parent;//父父节点
//更新父节点指针
if (subRL)
subRL->_parent = parent;
parent->_parent = subR;
//判断父父节点
if (parent == _root)
{
_root = subR;
subR->_parent = nullptr;
}
else
{
if (ppNode->_left == parent)
{
ppNode->_left = subR;
}
else
{
ppNode->_right = subR;
}
subR->_parent = ppNode;
}
}
代码解释:
- 因为情况1是uncle存在且为红,那么对于情况2就是情况1的相反情况,所以else情况1的if即可,当然,这还只是单旋的情况,只要了解旋转就会知道,是单旋还是双旋是根据新增节点的位置来判断的,所以还需要通过if判断一下c的位置。
- 对于单旋来讲,右单旋:纯粹的左边高,新增节点与根节点的连线为一条直线,此时c在p的左边。左单旋:纯粹的右边高,新增节点与根节点连线也是直线,此时c在p的右边。
- 当然判断c的位置只是判断是双旋还是单旋,我们还需要判断p的位置,来判断是右单旋还是左单旋,很明显c和p都在左边那就是右单旋,c和p都在右边就是左单旋。
- 旋转后,将p变黑,g边红即可,c本来就是红的不用管,最后旋转就不需要继续往上更新了,直接break。
- 关于旋转的代码这里不再详细讲述了,详细请见AVL篇章。
5.情况2:双旋+变色
- 同样都属于情况2,因此前面情况都与单旋一样,c为红,p为红,g为黑,u不存在或者u存在且为黑。u不存在,则c⼀定是新增结点,u存在且为黑,则 c一定不是新增,c之前是黑色的,是在c的子树中插入,符合情况1,变色将c从黑色变成红色,更新上来的。
- 唯一不同的就是新增节点c的位置了,直接明了的说,新增节点到根节点的连线是一条折线,此时需要双旋+变色。

- 如上图,简单的u不存在场景,此时c到g就是一条折线。
- 此时单旋解决不了问题,需要双旋:先以6为根进行左单旋,然后以g为根进行右单旋。
- 最后就是变色:将c变为黑,g变为红,p本来就是红色不用变

- 我们再看一下抽象图,u存在且为黑,c是原来g由黑变为红的,此时c为p的右孩子,折线,需要双旋。
- 双旋:先以p为根节点进行左单旋,将a变为p的右子树,然后将p作为c的左孩子,此时再以g为根进行右单旋,如下图:
- 最后变色就是将c,g变红,p不变。旋转+变色完成后,子树已平衡,不需要继续向上更新。
既然存在左右双旋,那么就存在右左双旋,这里简单总结下:
- 如果p是g的左,c是p的右,那么先以p为旋转点进行左单旋,再以g为旋转点进行右单旋,再把c变黑,g变红即可。c变成这颗树新的根,这样子树黑色结点的数量不变,没有连续的红色结点了,且不需要往上更新,因为c的父亲是黑色还是红色或者空都不违反规则。
- 如果p是g的右,c是p的左,那么先以p为旋转点进行右单旋,再以g为旋转点进行左单旋,再把c变黑,g变红即可。c变成这颗树新的根,这样子树黑色结点的数量不变,没有连续的红色结点了,且不需要往上更新,因为c的父亲是黑色还是红色或者空都不违反规则。
这部分的代码:
//红黑树的调整
while (parent && parent->_col == RED)//父节点存在且为红色
{
Node* grandfather = parent->_parent;//父父节点
if (grandfather->_left == parent)//parent为左孩子
{
Node* uncle = grandfather->_right;//叔叔节点(父节点的兄弟节点)
if (uncle && uncle->_col == RED)//情况1:父节点为红色,叔叔节点也为红色
{
//变色
parent->_col = uncle->_col = BLACK;//将父节点和兄弟节点变为黑
grandfather->_col = RED;//父父节点变为红
//继续往上处理
cur = grandfather;
parent = cur->_parent;
}
else//情况2:叔叔节点不存在或者存在且为黑,需要旋转+变色
{
if (cur == parent->_left)//cur为parent的左孩子
{
//形状:此时需要右单旋
// g
// p u
//c
RotateR(grandfather);//右单旋
parent->_col = BLACK;
grandfather->_col = RED;
}
else//cur为parent的右孩子,需要双旋
{
//形状
// g
// p u
// c
RotateL(parent);//先对p进行左单旋
RotateR(grandfather);//再对整体进行右单旋
grandfather->_col = RED;
cur->_col = BLACK;
}
break;
}
}
else//parent为右孩子,与上面类似,相当于翻个面
{
Node* uncle = grandfather->_left;//叔叔节点变为左孩子
if (uncle && uncle->_col == RED)//情况1:父节点为红色,叔叔节点也为红色
{
//变色
parent->_col = uncle->_col = BLACK;//将父节点和兄弟节点变为黑
grandfather->_col = RED;//父父节点变为红
//继续往上处理
cur = grandfather;
parent = cur->_parent;
}
else//情况2:叔叔节点不存在或者存在且为黑,需要旋转+变色
{
if (cur == parent->_right)//cur为parent的右孩子
{
//形状:此时需要左单旋
// g
// u p
// c
RotateL(grandfather);//左单旋
parent->_col = BLACK;
grandfather->_col = RED;
}
else//cur为parent的左孩子,需要双旋
{
//形状
// g
// u p
// c
RotateR(parent);//先对p进行右单旋
RotateL(grandfather);//再对整体进行左单旋
grandfather->_col = RED;
cur->_col = BLACK;
}
break;
}
}
}
_root->_col = BLACK;//强制根节点为黑色
- 双旋我们直接使用两个单旋即可,因为没有平衡因子这些东西。
- 剩下的就是更新颜色了,c变黑,g变红。
6.完整的插入代码
public:
bool Insert(const pair<K, V>& kv)
{
//先按照搜索二叉树的方式查找插入点
if (_root == nullptr)
{
_root = new Node(kv);
_root->_col = BLACK;//根节点为黑色
return true;
}
Node* cur = _root;
Node* parent = nullptr;
while (cur)
{
if (kv.first > cur->_kv.first)
{
parent = cur;
cur = cur->_right;
}
else if (kv.first < cur->_kv.first)
{
parent = cur;
cur = cur->_left;
}
else
{
return false;
}
}
cur = new Node(kv);
cur->_col = RED;//新增节点为红色
if (kv.first > parent->_kv.first)
{
parent->_right = cur;
}
else
{
parent->_left = cur;
}
cur->_parent = parent;
//红黑树的调整
while (parent && parent->_col == RED)//父节点存在且为红色
{
Node* grandfather = parent->_parent;//父父节点
if (grandfather->_left == parent)//parent为左孩子
{
Node* uncle = grandfather->_right;//叔叔节点(父节点的兄弟节点)
if (uncle && uncle->_col == RED)//情况1:父节点为红色,叔叔节点也为红色
{
//变色
parent->_col = uncle->_col = BLACK;//将父节点和兄弟节点变为黑
grandfather->_col = RED;//父父节点变为红
//继续往上处理
cur = grandfather;
parent = cur->_parent;
}
else//情况2:叔叔节点不存在或者存在且为黑,需要旋转+变色
{
if (cur == parent->_left)//cur为parent的左孩子
{
//形状:此时需要右单旋
// g
// p u
//c
RotateR(grandfather);//右单旋
parent->_col = BLACK;
grandfather->_col = RED;
}
else//cur为parent的右孩子,需要双旋
{
//形状
// g
// p u
// c
RotateL(parent);//先对p进行左单旋
RotateR(grandfather);//再对整体进行右单旋
grandfather->_col = RED;
cur->_col = BLACK;
}
break;
}
}
else//parent为右孩子,与上面类似,相当于翻个面
{
Node* uncle = grandfather->_left;//叔叔节点变为左孩子
if (uncle && uncle->_col == RED)//情况1:父节点为红色,叔叔节点也为红色
{
//变色
parent->_col = uncle->_col = BLACK;//将父节点和兄弟节点变为黑
grandfather->_col = RED;//父父节点变为红
//继续往上处理
cur = grandfather;
parent = cur->_parent;
}
else//情况2:叔叔节点不存在或者存在且为黑,需要旋转+变色
{
if (cur == parent->_right)//cur为parent的右孩子
{
//形状:此时需要左单旋
// g
// u p
// c
RotateL(grandfather);//左单旋
parent->_col = BLACK;
grandfather->_col = RED;
}
else//cur为parent的左孩子,需要双旋
{
//形状
// g
// u p
// c
RotateR(parent);//先对p进行右单旋
RotateL(grandfather);//再对整体进行左单旋
grandfather->_col = RED;
cur->_col = BLACK;
}
break;
}
}
}
_root->_col = BLACK;//强制根节点为黑色
return true;
}
private:
//右单旋
void RotateR(Node* parent)
{
Node* subL = parent->_left;//左孩子
Node* subLR = subL->_right;//左孩子的右孩子
//旋转过去
parent->_left = subLR;
subL->_right = parent;
Node* ppNode = parent->_parent;//记录父父节点
//更新父节点指针
if (subLR)
subLR->_parent = parent;
parent->_parent = subL;
if (parent == _root)//判断根节点
{
_root = subL;
subL->_parent = nullptr;
}
else
{
if (ppNode->_left == parent)
{
ppNode->_left = subL;
}
else
{
ppNode->_right = subL;
}
subL->_parent = ppNode;
}
}
//左单旋
void RotateL(Node* parent)
{
Node* subR = parent->_right;//右孩子
Node* subRL = subR->_left;//右孩子的左孩子
//旋转过去
parent->_right = subRL;
subR->_left = parent;
Node* ppNode = parent->_parent;//父父节点
//更新父节点指针
if (subRL)
subRL->_parent = parent;
parent->_parent = subR;
//判断父父节点
if (parent == _root)
{
_root = subR;
subR->_parent = nullptr;
}
else
{
if (ppNode->_left == parent)
{
ppNode->_left = subR;
}
else
{
ppNode->_right = subR;
}
subR->_parent = ppNode;
}
}
三、红黑树的查找
查找和二叉搜索树的查找一致
//查找
Node* Find(const K& key)
{
Node* cur = _root;
while (cur)
{
if (key > cur->_kv.first)
{
cur = cur->_right;
}
else if (key < cur->_kv.first)
{
cur = cur->_left;
}
else
{
return cur;
}
}
return nullptr;
}
四、红黑树的验证
和AVL树一样,我们需要验证我们写的插入代码是否正确
这里获取最长路径和最短路径,检查最长路径不超过最短路径的2倍是不可行的,因为就算满足这个条件,红黑树也可能颜色不满足规则,当前暂时没出问题,后续继续插入还是会出问题的。所以我们还是去检查4点规则,满足这4点规则,一定能保证最长路径不超过最短路径的2倍。
- 规则1枚举颜色类型,天然实现保证了颜色不是黑色就是红色。所以无需验证了。
- 规则2直接检查根即可,直接检查根节点是不是黑色。
- 规则3前序遍历检查,遇到红色结点查孩子不太方便,因为孩子有两个,且不一定存在,反过来检查父亲的颜色就方便多了。
- 规则4前序遍历,遍历过程中用形参记录跟到当前结点的blackNum(黑色结点数量),前序遍历遇到黑色结点就++blackNum,走到空就计算出了一条路径的黑色结点数量。再任意一条路径黑色结点数量作为参考值,依次比较即可。
1.IsBalance函数
//判断是否符合红黑树
bool IsBalance()
{
if (_root == nullptr)//空树也是红黑树
{
return true;
}
if (_root->_col == RED)
{
return false;//根为红,不用看了
}
//统计一条路径的黑色数量,因为每条路径黑色数量应该相等
int refNum = 0;
Node* cur = _root;
while (cur)
{
if (cur->_col == BLACK)
{
++refNum;
}
cur = cur->_left;
}
return Check(_root, 0, refNum);
}
- IsBalance是我们调用用来验证红黑树正确性的主函数。
- IsBalance先进行简单的排查,如果是空树也是红黑树返回true,如果根节点为红色那么直接返回false,因为违反规则2.
- 然后IsBalance就统计任意一条路径的黑色结点数量,用于后续判断每条路径的黑色结点数量是否相同,也就是规则4。这里我们选择的是最左边的一条路径,循环到底,统计检查到的黑色结点数量,也就是refNum。
- 最后调用Check进行最终的判断。
2.Check函数
//递归检查每一条路径的黑色数量是否正确已经有没有连续红色
bool Check(Node* root, int blackNum, const int refNum)
{
if (root == nullptr)
{
//走到空,说明一条路径走完了
if (blackNum != refNum)
{
cout << "存在黑色节点数量不相等的路径" << endl;
return false;
}
return true;
}
//检查红节点的孩子节点不方便,改为检查父节点
if (root->_col == RED && root->_parent->_col == RED)
{
cout << root->_kv.first << ": 该节点处存在连续的红色节点" << endl;
return false;
}
if (root->_col == BLACK)
{
++blackNum;
}
return Check(root->_left, blackNum, refNum) && Check(root->_right, blackNum, refNum);
}
- Check是一个递归函数,专门用来检测每条路径是否满足规则3和规则4。
- 参数:root传下一个节点,blackNum是统计当前节点到根节点一共有多少个黑色结点,refNum就是IsBalance函数中统计的一条路径的黑色节点数量。
- 首先检查是否递归到了一条路径的最终结点——空节点,是的话此时就可以判断这条路径的黑色结点数量是否等于refNum了。是就返回true,不是就返回false,并且打印错误提示。
- 然后就是检查规则3了,规则3要求红色节点的孩子节点必须为黑色,这个不太好检查,我们反过来检查红色节点的父节点是不是红色,因为本质都是判断有没有连续的红色节点。如果有连续的红色节点,打印错误信息然后返回false。
- 然后就是统计当前节点到根节点的黑色结点数量,这个只需要记录当前节点即可,然后作为形参传给下一个递归函数。
- 最后,继续递归遍历当前节点孩子节点。最终返回检查结果。(以下是递归示意图)
3.完整的红黑树代码+检测代码
RETree.h
#pragma once
#include <iostream>
using namespace std;
//用枚举定义红黑颜色
enum Colour
{
RED,
BLACK
};
//定义红黑树节点
template<class K,class V>
struct RBTreeNode
{
pair<K, V> _kv;//数据
RBTreeNode<K, V>* _left;//左孩子指针
RBTreeNode<K, V>* _right;//右孩子指针
RBTreeNode<K, V>* _parent;//父结点指针
Colour _col;//颜色
RBTreeNode(const pair<K, V>& kv)
:_kv(kv)
, _left(nullptr)
, _right(nullptr)
,_parent(nullptr)
{ }
};
//红黑树定义
template<class K,class V>
class RBTree
{
typedef RBTreeNode<K, V> Node;//重命名
public:
bool Insert(const pair<K, V>& kv)
{
//先按照搜索二叉树的方式查找插入点
if (_root == nullptr)
{
_root = new Node(kv);
_root->_col = BLACK;//根节点为黑色
return true;
}
Node* cur = _root;
Node* parent = nullptr;
while (cur)
{
if (kv.first > cur->_kv.first)
{
parent = cur;
cur = cur->_right;
}
else if (kv.first < cur->_kv.first)
{
parent = cur;
cur = cur->_left;
}
else
{
return false;
}
}
cur = new Node(kv);
cur->_col = RED;//新增节点为红色
if (kv.first > parent->_kv.first)
{
parent->_right = cur;
}
else
{
parent->_left = cur;
}
cur->_parent = parent;
//红黑树的调整
while (parent && parent->_col == RED)//父节点存在且为红色
{
Node* grandfather = parent->_parent;//父父节点
if (grandfather->_left == parent)//parent为左孩子
{
Node* uncle = grandfather->_right;//叔叔节点(父节点的兄弟节点)
if (uncle && uncle->_col == RED)//情况1:父节点为红色,叔叔节点也为红色
{
//变色
parent->_col = uncle->_col = BLACK;//将父节点和兄弟节点变为黑
grandfather->_col = RED;//父父节点变为红
//继续往上处理
cur = grandfather;
parent = cur->_parent;
}
else//情况2:叔叔节点不存在或者存在且为黑,需要旋转+变色
{
if (cur == parent->_left)//cur为parent的左孩子
{
//形状:此时需要右单旋
// g
// p u
//c
RotateR(grandfather);//右单旋
parent->_col = BLACK;
grandfather->_col = RED;
}
else//cur为parent的右孩子,需要双旋
{
//形状
// g
// p u
// c
RotateL(parent);//先对p进行左单旋
RotateR(grandfather);//再对整体进行右单旋
grandfather->_col = RED;
cur->_col = BLACK;
}
break;
}
}
else//parent为右孩子,与上面类似,相当于翻个面
{
Node* uncle = grandfather->_left;//叔叔节点变为左孩子
if (uncle && uncle->_col == RED)//情况1:父节点为红色,叔叔节点也为红色
{
//变色
parent->_col = uncle->_col = BLACK;//将父节点和兄弟节点变为黑
grandfather->_col = RED;//父父节点变为红
//继续往上处理
cur = grandfather;
parent = cur->_parent;
}
else//情况2:叔叔节点不存在或者存在且为黑,需要旋转+变色
{
if (cur == parent->_right)//cur为parent的右孩子
{
//形状:此时需要左单旋
// g
// u p
// c
RotateL(grandfather);//左单旋
parent->_col = BLACK;
grandfather->_col = RED;
}
else//cur为parent的左孩子,需要双旋
{
//形状
// g
// u p
// c
RotateR(parent);//先对p进行右单旋
RotateL(grandfather);//再对整体进行左单旋
grandfather->_col = RED;
cur->_col = BLACK;
}
break;
}
}
}
_root->_col = BLACK;//强制根节点为黑色
return true;
}
//查找
Node* Find(const K& key)
{
Node* cur = _root;
while (cur)
{
if (key > cur->_kv.first)
{
cur = cur->_right;
}
else if (key < cur->_kv.first)
{
cur = cur->_left;
}
else
{
return cur;
}
}
return nullptr;
}
//判断是否符合红黑树
bool IsBalance()
{
if (_root == nullptr)//空树也是红黑树
{
return true;
}
if (_root->_col == RED)
{
return false;//根为红,不用看了
}
//统计一条路径的黑色数量,因为每条路径黑色数量应该相等
int refNum = 0;
Node* cur = _root;
while (cur)
{
if (cur->_col == BLACK)
{
++refNum;
}
cur = cur->_left;
}
return Check(_root, 0, refNum);
}
//中序遍历
void InOrder()
{
_InOrder(_root);
}
//计算大小
int Size()
{
return _Size(_root);
}
//计算高度
int Height()
{
return _Height(_root);
}
private:
//递归检查每一条路径的黑色数量是否正确已经有没有连续红色
bool Check(Node* root, int blackNum, const int refNum)
{
if (root == nullptr)
{
//走到空,说明一条路径走完了
if (blackNum != refNum)
{
cout << "存在黑色节点数量不相等的路径" << endl;
return false;
}
return true;
}
//检查红节点的孩子节点不方便,改为检查父节点
if (root->_col == RED && root->_parent->_col == RED)
{
cout << root->_kv.first << ": 该节点处存在连续的红色节点" << endl;
return false;
}
if (root->_col == BLACK)
{
++blackNum;
}
return Check(root->_left, blackNum, refNum) && Check(root->_right, blackNum, refNum);
}
//右单旋
void RotateR(Node* parent)
{
Node* subL = parent->_left;//左孩子
Node* subLR = subL->_right;//左孩子的右孩子
//旋转过去
parent->_left = subLR;
subL->_right = parent;
Node* ppNode = parent->_parent;//记录父父节点
//更新父节点指针
if (subLR)
subLR->_parent = parent;
parent->_parent = subL;
if (parent == _root)//判断根节点
{
_root = subL;
subL->_parent = nullptr;
}
else
{
if (ppNode->_left == parent)
{
ppNode->_left = subL;
}
else
{
ppNode->_right = subL;
}
subL->_parent = ppNode;
}
}
//左单旋
void RotateL(Node* parent)
{
Node* subR = parent->_right;//右孩子
Node* subRL = subR->_left;//右孩子的左孩子
//旋转过去
parent->_right = subRL;
subR->_left = parent;
Node* ppNode = parent->_parent;//父父节点
//更新父节点指针
if (subRL)
subRL->_parent = parent;
parent->_parent = subR;
//判断父父节点
if (parent == _root)
{
_root = subR;
subR->_parent = nullptr;
}
else
{
if (ppNode->_left == parent)
{
ppNode->_left = subR;
}
else
{
ppNode->_right = subR;
}
subR->_parent = ppNode;
}
}
//计算高度
int _Height(Node* root)
{
if (root == nullptr)
return 0;
int leftHeight = _Height(root->_left);
int rightHeight = _Height(root->_right);
return leftHeight > rightHeight ? leftHeight + 1 : rightHeight + 1;
}
//计算大小
int _Size(Node* root)
{
if (root == nullptr)
return 0;
int left = _Size(root->_left);
int right = _Size(root->_right);
return left + right + 1;
}
//中序遍历(左根右)
void _InOrder(Node* root)
{
if (root == nullptr)
return;
_InOrder(root->_left);
cout << root->_kv.first << ":" << root->_kv.second << endl;
_InOrder(root->_right);
}
Node* _root = nullptr;
};
- 补充了中序遍历、计算大小、计算高度的代码
- 我们可以先用简单的测试代码,检测插入的数据是否有基本的二叉搜索树的排序功能:
基本检测:
void TestRBTree1()
{
RBTree<int, int> t;
//常规测试用例:(单旋场景)
int a[] = { 16, 3, 7, 11, 9, 26, 18, 14, 15 };
//特殊的需要双旋场景的测试用例:(双旋场景)
//int a[] = { 4, 2, 6, 1, 3, 5, 15, 7, 16, 14 };
//插入
for (auto e : a)
{
t.Insert({ e,e });
}
//中序遍历
t.InOrder();
}
int main()
{
TestRBTree1();
return 0;
}
运行结果:


- 结果显示基本的排序是没有问题的。
接下来就是深入检测了:检测随机插入的一百万个数据
#include <iostream>
#include "RBTree.h"
#include <vector>
#include <cstdlib>
#include <ctime>
using namespace std;
void TestRBTree2()
{
const int N = 1000000;//测试用例个数
vector<int> v;
v.reserve(N);//提前扩容
srand(time(0));//设置随机数种子
for (size_t i = 0; i < N; i++)//生成随机值
{
v.push_back(rand() + i);
}
RBTree<int, int> t;
int begin1 = clock();//记录时间
for (auto e : v)
{
t.Insert({ e,e });//插入随机值
}
int end1 = clock();
cout << "Insert: " << end1 - begin1 << "(毫秒)" << endl;
if (t.IsBalance())//判断平衡
{
cout << "平衡,是红黑树" << endl;
}
else
{
cout << "不平衡,不是红黑树" << endl;
}
cout << "Hight: " << t.Height() << "(层)" << endl;//计算树的高度
cout << "Size: " << t.Size() << "(个)" << endl;//计算树的大小
int begin2 = clock();//测试一下查找效率
for (size_t i = 0; i < N; i++)
{
t.Find(rand() + i);
}
int end2 = clock();
cout << "Find: " << end2 - begin2 << "(毫秒)" << endl;
}
int main()
{
TestRBTree2();
return 0;
}
运行结果:

结果显示,没有问题。只插入了六十多万个数据是因为存在重复值。
4.红黑树与AVL树性能比较
将之前写好的AVL树拿来与红黑树的性能比较一下:
#include <iostream>
#include "RBTree.h"
#include "AVLTree.h"
#include <vector>
#include <cstdlib>
#include <ctime>
using namespace std;
void TestRBTree2()
{
const int N = 1000000;//测试用例个数
vector<int> v;
v.reserve(N);//提前扩容
srand(time(0));//设置随机数种子
for (size_t i = 0; i < N; i++)//生成随机值
{
v.push_back(rand() + i);
}
RBTree<int, int> t;
int begin1 = clock();//记录时间
for (auto e : v)
{
t.Insert({ e,e });//插入随机值
}
int end1 = clock();
cout << "Insert: " << end1 - begin1 << "(毫秒)" << endl;
if (t.IsBalance())//判断平衡
{
cout << "平衡,是红黑树" << endl;
}
else
{
cout << "不平衡,不是红黑树" << endl;
}
cout << "Hight: " << t.Height() << "(层)" << endl;//计算树的高度
cout << "Size: " << t.Size() << "(个)" << endl;//计算树的大小
int begin2 = clock();//测试一下查找效率
for (size_t i = 0; i < N; i++)
{
t.Find(rand() + i);
}
int end2 = clock();
cout << "Find: " << end2 - begin2 << "(毫秒)" << endl;
}
void TestAVLTree2()
{
const int N = 1000000;//测试用例个数
vector<int> v;
v.reserve(N);//提前扩容
srand(time(0));//设置随机数种子
for (size_t i = 0; i < N; i++)//生成随机值
{
v.push_back(rand() + i);
}
AVLTree<int, int> t;
int begin1 = clock();//记录时间
for (auto e : v)
{
t.Insert({ e,e });//插入随机值
}
int end1 = clock();
cout << "Insert: " << end1 - begin1 << "(毫秒)" << endl;
if (t.IsBalanceTree())//判断平衡
{
cout << "平衡,是AVL树" << endl;
}
else
{
cout << "不平衡,不是AVL树" << endl;
}
cout << "Hight: " << t.Height() << "(层)" << endl;//计算树的高度
cout << "Size: " << t.Size() << "(个)" << endl;//计算树的大小
int begin2 = clock();//测试一下查找效率
for (size_t i = 0; i < N; i++)
{
t.Find(rand() + i);
}
int end2 = clock();
cout << "Find: " << end2 - begin2 << "(毫秒)" << endl;
}
int main()
{
cout << "红黑树:" << endl;
TestRBTree2();
cout << endl << "AVL树:" << endl;
TestAVLTree2();
return 0;
}
运行结果:

- 同样都是一百万个数据,两者效率其实差别微乎其微,最主要的差异就是高度了,AVL树高度控制明显比红黑树更严格,但是效率上其实差别不大。
五、红黑树的删除
和AVL树一样,红黑树的删除同样更加复杂,这里没有实现,一般笔试面试是不会考的,有兴趣可以查看《算法导论》。
总结
以上就是本文的全部内容了,感谢支持!













