Beamforming Notes
Source
LTE Quick Reference - BeamForming
Introduction to BeamForming
High level view of BeamForming Implementation(Mapping Function, Spatial Filter)

the major component of mapping functions are
- Number of Antenna Elements in the array
- Structure of Antenna Elements in the array
- Phase and Amplitude applied to each of the data(signal) path => this can be done in software at the baseband or hardware(electrical
circuit) at RF or mmWave frequency
An example of forming a beam by putting multiple antenna in an array along a line:
In a two dimensional square:


Technology for BeamForming
- Switched Array Antenna
This is the technique that change the beam pattern (radiation form) by switching on/off antenna selectively from the array of a antenna system.
- DSP Based Phase Manipulation
This is the technique that change the beam pattern (radiation form) by changing the phase of the signal going through each antenna. Using DSP, you can change the signal phase for each antenna port differently to form a specific beam pattern that is best fit for one or multiple specific UEs.
- Beamforming by Precoding
This is the technique that change the beam pattern (radiation form) by applying a specific precoding matrix. This is the technique used in LTE. In LTE, following transmission mode is implemeting ‘BeamForming’ implictely or explicitely.
- TM 6 - Closed loop spatial multiplexing using a single transmission layer.
- TM 7 - Beamforming (Antenna port 5)
- TM 8 - Dual Layer Beamforming (Antenna ports 7 and 8)
Basic Concept
Array Antenna
If the direction of the ray and the axis of antenna array is not zero, the travel distance of each ray gets different:
In mathematical expression:
Another way of visualizing:
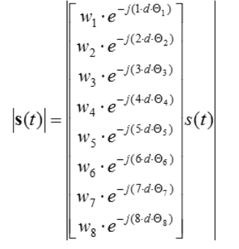
Then formulate the signal as:
In a vector notation:
When we characterize the array antenna, the Beam Pattern Plot could be:

the angle can be represented as follows:
where the distance is assumed to be infinite, the red-dot line represents the antenna array and the transmitter(Tx) and the receiver(Rx) can exchange to apply the same logic.

Phased Array
Instead of physically rotating, we can place the devices that control phase and amplityde of wave to control the direction

Then we could get the similar mathematic expression as the previous part:


Modeling of Beam Forming
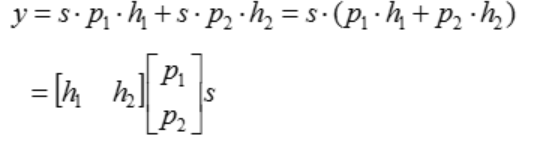
Let the blocks labeled pi be a complex number representing phase and amplitude controller, and hi be the channel coefficient.

the received signal y could be represented as:

We can treat the problem as the answer to the questions below:
‘what is the p1 and p2 value that maximize the received energy at the reciever antenna ?’
and then ‘how to undo an effect caused by a complex number ?’

Beamforming in LTE
Precoding
Precoding is the process that is between Layer Mapper and Resource mapper, in which the incoming data (output of the layer mapper) are distributed to each antenna ports.
‘How each of the data get distributed to each of antenna ports?’
- Each antenna ports carries at least come portions of data from all the layers
‘How the data from all the layers get combined?’ (The rule is defined by a precoding matrix)
Precoding vs Transmission Mode
each of those variants of the precoding can be mapped to each of Transmission Mode and the number of Antenna also influence on which type of precoding will be used in a specific situation of Transmission Mode