一、写在前面
最近在编写MATLAB计算阵列天线的方向图的程序。这篇用来记录一下我在网上找到的一些资料链接以及简单介绍。
在matlab中有现成的fft函数,只需要调用即可。具体用法:在matla help 文件查看。
第一个问题,要使用FFT就要将所解决的问题建模成为与傅里叶变换形式等价。
大家先看这个例子。
求序列{2,3,3,2}的DFT变换。(来源:FFT在matlab中的使用方法)
>> N=4;
>> n=0:N-1;
>> xn=[2 3 3 2];
>> xk=fft(xn)
重点是看原文第二部分的解读
理解了上面的例子你可以继续。
二、阵列天线方向图
阵列天线方向图在很多天线教材上都能找到。
1.一维线阵


以上来源于:李建新, 等.基于FFT的阵列方向图快速计算[J].微波学报, 2007, 23 (1) :10-15
2.二维平面阵

参考:李建新,陈瑞.基于FFT平面相控阵天线方向图快速计算[J].微波学报,2009,25(06):12-17.
三、为什么能用FFT计算天线方向图
这个问题,在以下两篇两篇文章中讲述的比较清楚
1.李建新,陈瑞.基于FFT平面相控阵天线方向图快速计算[J].微波学报,2009,25(06):12-17.
2.李建新, 等.基于FFT的阵列方向图快速计算[J].微波学报, 2007, 23 (1) :10-15
3.关于这方面的推导,我参考的博客还有: 基于FFT的平面阵列方向图综合实例1
https://blog.csdn.net/qq_23176133/article/details/105592055
四、Matlab编程实现
算例1、
32单元、单元间距0.5波长,-40dB泰勒综合的线阵,扫描30deg。

| 时间 | |
|---|---|
| DFT | 0.041008秒(theta:-90:1:90) |
| FFT | 0.000716 秒(N=1024) |
算例2、
32单元、单元间距0.518波长,-40dB泰勒综合的线阵,扫描45deg

算例3、
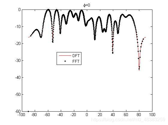
20*18单元、单元间距0.5波长,电流相位幅值随机的面阵,扫描:theta=30,phi=0deg

图3.1 FFT计算结果(0.4秒)

图3.2 DFT计算结果(7.4秒)

图3.3 phi=0 切面对比
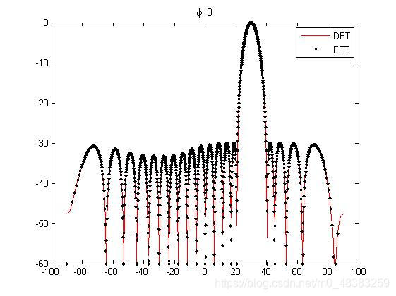
算例4、
20*18单元、单元间距0.5波长,x方向-30db,y方向是-40dB的泰勒综合面阵,扫描:theta=30,phi=0deg

图4.1 3D方向图

图4.2 UV空间下 DFT

图4.3 UV空间下 FFT

图4.4 选择一个切面对比
总结
FFT确实可以提高计算速度。但是一定要注意的是,使用FFT之后,将空间离散化,这时的角度是要通过反函数求出,基本上角度不在是整数,所以对后期切面观察有一定的影响。还要注意的是离散化,空间边界处的处理。
2020.7.28 晚