遥感生态指数RSEI(Risk-Screening Environmental Indicators)分布数据是一种基于卫星遥感影像反演计算得到的数据产品。生态环境质量评价在一定程度上反映一个地区生态环境系统的好坏,也可以在一定程度上反映人类社会活动和环境质量的关系,其对可持续发展具有重要影响,对一个地区进行生态环境质量评价可以对城市长远发展提供决策支撑。
全国遥感生态指数RSEI分布数据集是地理遥感生态网平台推出的生态环境类数据产品之一,产品数据精度高,质量良好。下述的四个指数的计算均是通过ENVI软件中的Band math工具进行计算。
1、 湿度指标(WET)
土壤湿度在气候、环境、生态等研究与应用方 面起着重要作用,土壤湿度的高低能够很好地反映区域的生态环境质量状况,是监测地表环境的重要指标。在遥感技术当中,采用缨帽变换能够很好地反演土壤湿度,能有效去除冗余数据,而被广泛应用,因此本文采用缨帽变换当中的湿度分量来代表湿度指标。

2、绿度指标(NDVI)
在常用的植被指数当中,归一化植被指数 ( NDVI) 能够有效地反映植被的生长情况与植被 覆盖度等重要植被的物理性质,检测灵敏度高,能 够较为真实地展现区域的地表空间变化规律,已经得到广泛利用,本文采用 NDVI 指数来代表绿度指数。
公式为:

在ENVI的band math工具中输入如下公式进行计算:(float(b4)-b3)/(b4+b3)(本文中使用的数据将Band1的海蓝波段已经预先剔除,因此波段顺序同原始有所差异。)
3、热度指标(LST)
热度指数本文采用地表温度来代表热度指数,利用单通道算法中的大气校正法进行反演。具体的操作方法见前文Landsat8地表温度反演。

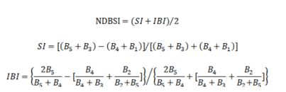
4、干度指标(NDBSI)
干度指数在生态环境的监测与评价当中也有重要的作用。本文主要采用裸土指数 SI 和建筑指数NDBI来构建干度指数。具体公式如下:

式中:B1为蓝波段;B2为绿波段;B3为红波段;B4为近红外波段;B5为中红外波段;
03. 实验过程
指标的计算是在ENVI软件中进行的,计算后即可得到结果。

由于本文中选用的研究区中水体极少,且水体的面积较小,因此本文中不在进行水体的掩模处理。在主成分分析之前,分别对四个指数分别进行中心化和标准化处理。(1)中心化处理由于后续需要进行主成分分析,因此本文中先对四个指数分别进行中心化处理。中心化处理即分别对四个指数进行减去平均值,由此得到中心化处理的数据。四个指数的平均值分别通过ENVI中的statistics view工具来展现,再获取到影像的平均值之后,通过Band math工具进行中心化处理。
(2)标准化处理
再进行过数据中心化处理之后,继续对数据进行标准化处理,这里使用归一化工具直接对四个指数进行标准化处理。
(3)波段合并
在进行过上述处理之后,下面通过Layerstacking工具将4个指数按照NDVI、WET、NDBISI和LS T的顺序进行合成为一个数据。

三、主成分分析
在进行过所有的指数处理之后,后续进行主成分分析操作。通过使用ENVI中的Transform>PCARotation>Forward PCA Rotation New Statics and Rotate工具进行主成分分析。
主成分分析法对上述标准化指数进行处理,得到第一主成分 PC1,则得到了初始生态指数RSEI0,其中RSEI0即为主成分分析后所得的第一波段。同样需要对 RSEI0进行标准化处理,以方便进行生态分级。
基于上述等级划分表,在ArcGIS中显示生态环境等级划分效果如下:
RSEI指数结果展示:

全国遥感生态指数RSEI分布数据集是地理遥感生态网平台在中分辨率卫星影像的基础上通过遥感反演进行生产和处理,数据格式为栅格,空间分辨率为10-1000米,空间范围覆盖全国各省,时间范围为1981年01月至今。
数据来源请引用:中国日值气象站点数据集.地理遥感生态网科学数据注册与出版系统