问题描述
某省共有92个城市,城市位置、标号,公路交通网数据见附件1。
某企业在该省标号前20位的城市建立了直销中心,各直销中心负责所在城市的销售,销售量见附件1。该企业欲在该省设立一个配送中心负责给直销中心配送产品,配送中心建设成本为30万元。每吨公里运费2元,每吨产品的销售利润为300元。
试建立数学模型分析研究下面的问题:
(1)为了降低运输成本,配送中心应选在哪个城市?
(2)请为该企业制定一个成本最小的5年产品配送计划:应设立几个配送中心、各设在何处?
(3)如果该企业考虑重新为20个直销中心选址,请给出最佳的5年产品销售、配送计划。
(4)假定没有直销中心城市的客户按就近的原则购买产品,请重新考虑问题(3)。
一、问题一
法一:(1)浏览一下大致的数据


(2)要选择一个配送中心使得到20个直销中心的配送费用最短,而配送费用只与距离有关,因此很容易想到要求配送中心到各个直销中心的路径最短
(3)要想求路径,首先要将数据进行预处理,把各个位置的实际地理位置图画出来
(4)求最短路可以使用Floyd算法(我这里使用的matlab里面的一个distances()函数,以及自带的画图函数graph(),不了解可以查看一下matlab的解释)
clc;clear all;close all;
%导入数据
cite1 = xlsread("cite.xls", "城市及销售中心数据",'A2:D93' );
cite2 = xlsread("cite.xls", "全省公路路线",'A2:B141' );
%提取城市坐标
location = [cite1(:,2),cite1(:,3)];
%计算公路的起点城市与公路的终点城市的距离
for i=1:length(cite2)
sx=location(cite2(i,1),1);%起始城市的横坐标
ex=location(cite2(i,2),1);%终止城市的横坐标
sy=location(cite2(i,1),2);%起始城市的纵坐标
ey=location(cite2(i,2),2);%终止城市的纵坐标
dist(i)=sqrt(abs(sx-ex)^2+abs(sy-ey)^2);%勾股定理求距离
end
% 求最短路问题
s = cite2(:,1)';
t = cite2(:,2)';
w = dist;
G = graph(s,t,w);%无向图
% G = digraph(s,t,w);%有向图
figure,plot(G, 'EdgeLabel', G.Edges.Weight, 'linewidth', 2)
set( gca, 'XTick', [], 'YTick', [] );
%这个D值在第二三问中要用到
D = distances(G);%D为两两节点之间的最短距离
temp = 0;
for i=1:92
for j=1:20
temp = temp+D(i,j);
end
acc_dist(i) = temp;
temp = 0;
end
format long g
index=find(acc_dist==min(acc_dist))
min(acc_dist)
myplot = plot(G, 'EdgeLabel', G.Edges.Weight, 'linewidth', 2); %首先将图赋给一个变量
for i=1:20
[P,d] = shortestpath(G,35,i);
% P(i)=P;
writematrix(P,'M.xls','WriteMode','append')
% 在图中高亮我们的最短路径
highlight(myplot, P, 'EdgeColor', 'r') %对这个变量即我们刚刚绘制的图形进行高亮处理(给边加上r红色)
hold on
end
运行上面的代码可以得到这个图(这个图是函数自动生成的,并不是实际的位置点)红色标出的为最短路径,两点之间的距离也显示出来了

此外可以计算出配送中心的城市标号为35

接下来就是绘制实际的地理位置图,并把直销中心,配送中心,最短路标记出来
clc;clear all;close all;
%导入数据
cite1 = xlsread("cite.xls", "城市及销售中心数据",'A2:D93' );
cite2 = xlsread("cite.xls", "全省公路路线",'A2:B141' );
%提取城市坐标
location = [cite1(:,2),cite1(:,3)];
%绘制城市坐标散点图
for i=1:length(location)
%将前20号的直销中心单独标出
if i<=20
plot(location(i,1),location(i,2),'r*','MarkerSize',8) %坐标点用红色*表示
text(location(i,1),location(i,2),num2str(cite1(i,1)),'FontSize',8);%标记城市标号
hold on
%其余点绘制
else
plot(location(i,1),location(i,2),'b.','MarkerSize',15)%坐标点用蓝色点表示
text(location(i,1),location(i,2),num2str(cite1(i,1)),'FontSize',8);%标记城市标号
hold on;
end
end
%连接各城市间的公路
for i=1:length(cite2)
start_x=[location(cite2(i,1),1),location(cite2(i,2),1)];%起始城市的横坐标与结束城市的横坐标
end_y=[location(cite2(i,1),2),location(cite2(i,2),2)];%起始城市的纵坐标与结束城市的纵坐标
plot(start_x,end_y,'b-')%画线
hold on;
end
% 画35到前20最短路径
P=xlsread('M.xls');
for i=1:20
for j=1:length(find(isnan(P(i,:))==0))-1
start_x=[location(P(i,j),1),location(P(i,j+1),1)];%起始城市的横坐标与结束城市的横坐标
end_y=[location(P(i,j),2),location(P(i,j+1),2)];%起始城市的纵坐标与结束城市的纵坐标
plot(start_x,end_y,'r-')%画线
hold on;
end
end
%将配送中心单独标记出来,方便区分
%计算出配送中心的标号为城市35
plot(location(35,1),location(35,2),'gp','MarkerSize',8) %坐标点用绿色*表示

法二:lingo


这里面的data中的d变量为两两之间的最短距离,我用的第一问distances()函数求出的,当然可以使用Floyd求出
由于这里的数据量太大不好放,下面几问就不再放数据了!
sets:
dmc/1..92/:u;!直销中心i;
dc/1..92/:y;!配送中心j;
tlink(dmc,dc):x,d;
endsets
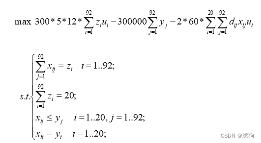
min=@sum(dmc(i)|i#LE#20:@sum(dc(j):d(i,j)*x(i,j)*u(i)))*2;
@for(dmc(i)|i#LE#20:@sum(dc(j):x(i,j))=1);
@sum(dc(j):y(j))=1;
@for(dc(j):@for(dmc(i)|i#LE#20:x(i,j)<=y(j));
@for(dc(j):x(j,j)=y(j));
@for(tlink:@bin(x));
@for(dc:@bin(y)));
data:
d=
0 18.9874900741771 38.8388424388990 45.3521671649493 93.7428887802830 95.3751780750068 115.003493341272 90.2262468980646 92.2543782736907 146.495675153162 190.879287179071 222.361527292051 220.017534167589 160.284737217503 142.493184810572 92.8681220547703 35.9120534630931 25.6457218732303 17.5834641249318 52.6319903264411 192.934392652132 210.962149029452 225.017534167589 228.932027950891 210.904271573571 181.879287179071 189.312321552730 190.011602292639 195.158061940366 120.834445236117 112.811540651260 103.601739090281 98.5027195766880 97.2793160842512 88.0117375865715 90.8236321229407 95.9226516365334 58.8093493229175 55.8093493229175 38.1316797932538 44.4120534630931 26.0631956612970 18.0009379129984 28.4743230546823 81.3035336540721 80.9257092791955 108.303108558844 118.501147586030 88.7428887802830 86.0673210334800 82.2594344805481 80.6557679474780 82.0346848477836 59.2311763458008 51.4978313400711 76.4131272603587 64.0337088572188 71.5337088572188 79.3439585331254 62.7446111543991 97.4577210698187 48.8521671649493 35.0444031009052 25.9890179627678 23.5990917847708 20.4368141246024 16.1941734374831 12.0710678118655 5 10.3851648071345 11.4031242374328 16.4031242374329 10.2961109172201 6.26498204307083 9.30053761886914 12.8360715248019 16.4031242374329 6.40312423743285 13.1113281699322 17.5834641249318 32.3539258057297 36.4392135935608 31.0308866803649 40.8797444821610 48.1598543714415 56.2375416019050 51.9420022304595 47.9108733563102 43.8797444821610 45.1713381918473 49.9147546820999 69.9397390766007
18.9874900741771 0 21.1165363301181 56.8506754850531 78.3371132868933 98.4207712225369 97.2811872324914 72.5039407892838 74.5320721649099 128.773369044382 173.156981070290 204.639221183271 201.030044093412 141.297247143326 124.770878701791 73.8806319805931 25.9111155500947 43.8475984199131 36.5709541991089 70.8338668731238 173.946902577955 191.974658955275 206.030044093412 211.209721842111 193.181965464791 164.156981070290 171.590015443949 172.289296183858 177.435755831585 103.112139127337 95.0892345424794 85.8794329815000 80.7804134679072 79.5570099754704 70.2894314777906 71.8361420487635 76.9351615623563 39.8218592487403 36.8218592487403 19.1441897190766 34.4111155500947 16.0622577482986 8 9.48683298050514 63.5812275452913 63.2034031704146 92.8973330654544 103.095372092640 73.3371132868933 83.2819622861648 79.4740757332328 75.1729130997115 66.6289093543940 43.8254008524112 33.7755252312903 79.4155537868308 75.5322171773225 83.0322171773225 82.3895516806555 74.2431194745029 108.956229389922 60.3506754850531 46.5429114210089 37.4875262828715 31.6565743880262 28.4942967278578 24.2516560407385 21.0585578860426 13.9874900741771 8.60232526704263 20.3906143116100 16.0622577482986 24.1245154965971 25.2524721172480 25.5862504551113 29.1217843610441 33.5939203160436 25.3906143116100 32.0988182441094 36.5709541991089 50.5558023524125 54.6410901402436 49.2327632270476 59.0816210288437 66.3617309181242 74.4394181485878 70.1438787771423 66.1127499029930 62.0816210288437 63.3732147385301 68.1166312287827 80.7279591385777
38.8388424388990 21.1165363301181 0 40.4338517511550 57.2205769567752 77.3042348924187 76.1646509023732 51.3874044591656 53.4155358347918 107.656832714263 152.040444740172 183.522684853152 187.405069790790 127.672272840703 103.654342371673 60.2556576779707 47.0276518802128 58.9490961866828 41.9425665283851 85.9353646398936 160.321928275332 178.349684652652 192.405069790790 190.093185511992 172.065429134672 143.040444740172 150.473479113831 151.172759853740 156.319219501467 81.9956027972185 73.9726982123613 64.7628966513818 59.6638771377891 58.4404736453522 49.1728951476725 54.1728951476725 59.2719146612653 60.9383955788585 57.9383955788585 40.2607260491948 55.5276518802128 37.1787940784167 29.1165363301181 11.6297033496130 42.4646912151731 42.0868668402965 71.7807967353362 81.9788357625218 52.2205769567752 62.1654259560466 58.3575394031147 54.0563767695933 45.5123730242758 22.7088645222931 12.6589889011722 58.2990174567126 59.1153934434244 66.6153934434244 61.2730153505373 57.8262957406048 92.5394056560244 43.9338517511550 30.1260876871109 21.0707025489735 15.2397506541282 18.4020283142966 22.6446690014158 26.7677746270335 33.8388424388990 29.7188615971608 40.2419666763318 37.1787940784167 45.2410518267153 45.1038244819698 31.1571066775222 27.6215727715894 32.0937087265890 42.0937087265890 46.4147024833847 50.8868384383843 65.6573001191822 69.7425879070133 64.3342609938173 74.1831187956134 81.4632286848940 89.5409159153575 85.2453765439120 81.2142476697627 77.1831187956134 78.4747125052998 83.2181289955524 101.844495468696
45.3521671649494 56.8506754850531 40.4338517511550 0 49.2004352427692 50.0230109100575 76.5669034961960 83.2728284880542 89.8666812150673 144.107978094539 188.491590120447 219.973830233428 209.817942572597 150.085145622510 114.750669680270 82.6685304597777 74.7052463448907 63.8436190552409 46.8370893969432 67.9888003074942 182.734801057139 200.762557434459 214.817942572597 226.544330892268 208.516574514948 179.491590120447 186.924624494107 162.269087162336 155.353378564630 81.0297618603813 99.6733576579070 87.9686577471873 91.5493011666776 94.8916190256278 85.6240405279480 80.6240405279480 85.7230600415408 48.6097577279248 45.6097577279248 63.2874272575885 83.2052463448907 64.8563885430946 56.7941307947961 47.3638425045479 79.9722908691850 73.9722908691850 63.7606550213303 73.9586940485158 50.5558084603455 40.7151538685307 36.9072673155987 35.3036007825286 43.8476045278462 34.4945373089398 44.5444129300607 31.0609600954094 18.6815416922694 26.1815416922694 33.9917913681761 17.3924439894498 52.1055539048694 3.50000000000000 10.3077640640442 19.3631492021816 25.1941010970269 28.3563787571953 32.5990194443145 36.7221250699322 43.7931928817977 49.1783576889322 50.1963171192305 55.1963171192305 55.6482780821695 51.6171492080202 36.0516295460802 32.5160956401475 36.9882315951471 46.9882315951471 51.3092253519427 55.7813613069423 70.5518229877402 74.6371107755713 69.2287838623754 70.7967742417752 63.5166643524946 71.5943515829582 81.8590319900737 77.8279031159244 73.7967742417752 77.3323081477079 80.8692843810735 100.894268775574
93.7428887802830 78.3371132868933 57.2205769567752 49.2004352427692 0 29.4262885258795 27.3664682534267 35.3568541216465 46.9542676263897 100.416058844392 144.799670870300 176.281910983281 186.550621456981 129.696286006540 65.5502344375003 62.2796708438072 104.248228836988 112.234340670575 95.2278110122768 117.039548145494 162.345941441169 177.495236318844 191.550621456981 182.852411642121 164.824655264801 135.799670870300 143.232705243959 113.068651919567 106.152943321860 31.8293266176121 50.4729224151377 38.7682225044181 43.6333268002699 51.1996997754807 51.1969083135089 56.1969083135089 57.7802809049178 94.2111911135321 91.2111911135321 97.4813030059700 112.748228836988 94.3993710351919 86.3371132868933 68.8502803063882 50.6573917405156 44.6573917405156 14.5602197785610 24.7582588057466 5 8.48528137423857 12.2931679271705 16.5943305606918 11.7082039324994 34.5117124344821 44.5615880556030 20.8369712478111 30.5188935504998 23.0188935504998 15.2086438745932 38.6583038485497 53.7582588057466 52.5507478379995 58.6984856793778 67.7538708175152 72.4603276109034 75.6226052710717 79.8652459581910 83.9883515838087 91.0594193956742 86.9394385539360 97.4625436331070 94.3993710351919 102.461628783490 100.007870823354 84.4423511614138 80.9068172554811 85.3789532104807 95.3789532104807 99.6999469672764 104.172082922276 118.942544603074 123.027832390905 117.619505477709 119.847522079775 112.567412190494 120.645099420958 130.909779828073 126.878650953924 122.847522079775 126.383055985707 129.920032219073 149.945016613574
95.3751780750068 98.4207712225368 77.3042348924187 50.0230109100575 29.4262885258795 0 27.6723172221842 35.6627030904039 47.2601165951471 100.721907813149 145.105519839058 176.587759952038 186.856470425739 130.002134975297 65.8560834062578 62.5855198125646 124.331886772632 113.866629965298 96.8601003070006 117.862123812782 162.651790409926 177.801085287601 191.856470425739 183.158260610878 165.130504233558 136.105519839058 143.538554212717 113.374500888325 106.458792290618 32.1351755863696 50.7787713838952 39.0740714731756 43.9391757690274 51.5055487442381 51.5027572822664 56.5027572822664 58.0861298736753 94.5170400822896 91.5170400822896 109.194709611953 132.831886772632 114.483028970835 106.420771222537 88.9339382420317 50.9632407092731 44.9632407092731 14.8660687473185 25.0641077745041 33.1948885511466 22.7545820422360 18.9466954893040 23.2478581228254 31.7918618681429 54.5953703701257 64.6452459912466 27.4904988099446 31.3414692177881 23.8414692177881 16.0312195418814 39.4808795158379 54.0641077745041 53.3733235052877 60.3307749741016 69.3861601122390 75.2171120070843 78.3793896672527 82.6220303543720 86.7451359799897 93.8162037918551 99.2013685989896 100.219328029288 105.219328029288 105.671288992227 101.640160118078 86.0746404561377 82.5391065502049 87.0112425052045 97.0112425052045 101.332236262000 105.804372217000 120.574833897798 124.660121685629 119.251794772433 120.670097747063 113.389987857782 121.467675088246 131.732355495361 127.701226621212 123.670097747063 127.205631652996 130.742607886361 150.767592280862
115.003493341272 97.2811872324914 76.1646509023732 76.5669034961960 27.3664682534267 27.6723172221842 0 24.7772464432076 29.0920845503554 73.2835058087062 117.667117834614 149.149357947595 159.418068421296 109.012209858115 38.1837661840736 41.5955946953821 115.084144606202 135.113747089056 118.107217430758 144.406016398920 141.661865292744 150.362683283158 164.418068421296 155.719858606435 137.692102229115 108.667117834614 116.100152208274 85.7021836661405 80.1545685990935 5.83095189484530 23.1064541617110 11.4017542509914 16.5007737645842 24.0671467397949 33.3347252374747 35.5128321650839 30.4138126514911 73.5271149651071 70.5271149651071 88.2047844947708 113.605163819811 113.343444980790 105.281187232491 87.7943542519862 40.0429291699740 34.0777840620767 12.8062484748657 12.9020197067108 32.3664682534267 35.8517496276653 39.6596361805973 43.9607988141186 39.0746721859261 61.8781806879089 63.5056620012010 48.2034395012379 57.8853618039266 50.3853618039266 42.5751121280199 66.0247721019764 41.9020197067108 79.9172160914262 86.0649539328045 95.1203390709419 91.4044015565014 94.5666792166698 98.8093199037890 102.932425529407 110.003493341272 105.883512499534 116.406617578705 113.343444980790 121.405702729088 121.268475384343 107.321757579895 103.786223673963 108.258359628962 118.258359628962 122.579353385758 127.051489340757 141.821951021555 145.907238809387 140.498911896191 147.213990333201 139.933880443921 148.011567674384 158.276248081500 154.245119207351 150.213990333201 153.749524239134 157.286500472500 159.922007408294
90.2262468980646 72.5039407892838 51.3874044591656 83.2728284880542 35.3568541216465 35.6627030904039 24.7772464432076 0 11.5974135047432 65.0592047227454 109.442816748654 140.925056861634 151.193767335335 94.3394318848934 54.7618362622475 26.9228167221607 98.4150563393784 110.336500645848 93.3299709875508 137.322769099059 126.989087319522 142.138382197197 156.193767335335 147.495557520474 129.467801143155 100.442816748654 107.875851122313 102.280253744314 104.931815042301 30.6081983380529 25.0801921029358 13.3754921922162 8.27647267862342 15.8428456538342 15.8400541918625 20.8400541918625 25.9390737054553 58.8543369918857 55.8543369918857 73.5320065215494 98.9323858465892 88.5661985375823 80.5039407892838 63.0171078087786 15.3005376188691 9.30053761886914 20.7966343430854 30.9946733702710 40.3568541216465 43.8421354958850 47.6500220488170 51.9511846823383 47.0650580541458 48.7782911791144 38.7284155579935 56.1938253694576 65.8757476721463 58.3757476721463 50.5654979962396 74.0151579701961 59.9946733702710 86.7728284880542 72.9650644240100 72.4581070081391 66.6271551132938 69.7894327734622 74.0320734605815 78.1551790861991 85.2262468980646 81.1062660563264 91.6293711354975 88.5661985375823 96.6284562858809 96.4912289411354 82.5445111366878 79.0089772307551 83.4811131857546 93.4811131857546 97.8021069425503 102.274242897550 117.044704578348 121.129992366179 115.721665452983 125.570523254779 132.850633144060 140.928320374523 136.632781003078 132.601652128928 128.570523254779 129.862116964465 134.605533454718 145.249229435072
92.2543782736908 74.5320721649099 53.4155358347918 89.8666812150673 46.9542676263897 47.2601165951471 29.0920845503554 11.5974135047432 0 54.2412968794717 98.6249089053799 130.107149018361 140.375859492061 82.7420183801502 50.2388065368812 15.3254032174175 88.8139531282374 112.364632021475 95.3581023631769 139.350900474685 115.391673814779 131.320474353924 145.375859492061 136.677649677201 118.649893299881 89.6249089053799 97.0579432790392 97.7572240189481 107.244056999453 34.9230364452007 20.5571623775695 17.6903302993640 12.5913107857712 5.02493781056045 4.24264068711929 9.24264068711928 14.3416602007121 47.2569234871425 44.2569234871425 61.9345930168062 87.3349723418460 90.5943299132085 82.5320721649099 65.0452391844048 10.9508446196187 16.9508446196187 32.3940478478286 41.9941042570662 51.9542676263897 55.4395490006282 59.2474355535602 63.5485981870815 58.6624715588890 56.4285981798639 46.3787225587430 67.7912388742008 77.4731611768895 69.9731611768895 62.1629115009828 85.6125714749393 70.9941042570662 93.3666812150673 80.6153714247595 74.4862383837652 68.6552864889199 71.8175641490883 76.0602048362076 80.1833104618253 87.2543782736908 83.1343974319526 93.6575025111236 90.5943299132085 98.6565876615070 98.5193603167616 84.5726425123140 81.0371086063812 85.5092445613808 95.5092445613808 99.8302383181765 104.302374273176 119.072835953974 123.158123741805 117.749796828609 127.598654630405 134.878764519686 142.956451750149 138.660912378704 134.629783504555 130.598654630405 131.890248340092 136.633664830344 133.651815930329
146.495675153162 128.773369044382 107.656832714263 144.107978094539 100.416058844392 100.721907813149 73.2835058087062 65.0592047227454 54.2412968794717 0 44.3836120259083 75.8658521388890 86.1345626125893 127.756589286401 94.4302277952320 69.5667000968892 143.055250007709 166.605928900946 149.599399242649 193.592197354157 95.1069338517718 77.0791774744519 91.1345626125893 82.4363527977290 64.4085964204091 35.3836120259083 42.8166463995675 141.948645277299 151.435478257804 79.1144577035515 64.7485836359203 61.8817515577148 56.7827320441220 49.2163590689112 58.4839375665910 63.4839375665910 68.5829570801838 101.498220366614 98.4982203666142 116.175889896278 141.576269221318 144.835626792680 136.773369044382 119.286536063876 65.1921414990903 71.1921414990903 85.8558390658309 86.1855255154169 105.416058844392 108.901340218630 112.709226771562 117.010389405084 112.124262776891 110.669895059336 100.620019438215 121.253030092203 130.934952394892 123.434952394892 115.624702718985 139.074362692942 115.185525515417 147.607978094539 134.856668304231 128.727535263237 122.896583368392 126.058861028560 130.301501715679 134.424607341297 141.495675153162 137.375694311424 147.898799390595 144.835626792680 152.897884540979 152.760657196233 138.813939391786 135.278405485853 139.750541440852 149.750541440852 154.071535197648 158.543671152648 173.314132833446 177.399420621277 171.991093708081 181.839951509877 189.120061399157 197.197748629621 192.902209258175 188.871080384026 184.839951509877 186.131545219563 190.874961709816 187.893112809801
190.879287179071 173.156981070290 152.040444740172 188.491590120447 144.799670870300 145.105519839058 117.667117834614 109.442816748654 98.6249089053799 44.3836120259083 0 37.9135282144991 41.7509505866811 83.3729772604926 138.813839821140 113.950312122797 187.438862033617 210.989540926855 193.983011268557 237.975809380065 50.7233218258636 32.6955654485436 46.7509505866811 38.0527407718207 20.0249843945008 9 16.4330343736593 186.332257303207 195.819090283712 123.498069729460 109.132195661829 106.265363583623 101.166344070030 93.5999710948195 102.867549592499 107.867549592499 112.966569106092 145.881832392522 142.881832392522 160.559501922186 185.959881247226 189.219238818588 181.156981070290 163.670148089785 109.575753524999 115.575753524999 130.239451091739 130.569137541325 149.799670870300 153.284952244539 157.092838797471 161.394001430992 156.507874802800 155.053507085244 145.003631464123 165.636642118111 175.318564420800 167.818564420800 160.008314744893 183.457974718850 159.569137541325 191.991590120447 179.240280330139 173.111147289145 167.280195394300 170.442473054468 174.685113741588 178.808219367205 185.879287179071 181.759306337332 192.282411416504 189.219238818588 197.281496566887 197.144269222142 183.197551417694 179.662017511761 184.134153466761 194.134153466761 198.455147223556 202.927283178556 217.697744859354 221.783032647185 216.374705733989 226.223563535785 233.503673425066 241.581360655529 237.285821284084 233.254692409934 229.223563535785 230.515157245472 235.258573735724 232.276724835709
222.361527292051 204.639221183271 183.522684853152 219.973830233428 176.281910983281 176.587759952038 149.149357947595 140.925056861634 130.107149018361 75.8658521388890 37.9135282144991 0 59.7700210810714 119.502818031158 170.296079934121 145.432552235778 218.921102146598 242.471781039835 225.465251381538 269.458049493046 86.8531625965288 68.8254062192088 64.7700210810714 35.9163001973183 17.8885438199983 40.4822401129807 33.0492057393215 217.814497416188 227.301330396693 154.980309842440 140.614435774809 137.747603696604 132.648584183011 125.082211207800 134.349789705480 139.349789705480 144.448809219073 177.364072505503 174.364072505503 192.041742035167 217.442121360207 220.701478931569 212.639221183271 195.152388202765 141.057993637979 147.057993637979 161.721691204720 162.051377654306 181.281910983281 184.767192357519 188.575078910451 192.876241543973 187.990114915780 186.535747198225 176.485871577104 197.118882231092 206.800804533781 199.300804533781 191.490554857874 214.940214831831 191.051377654306 223.473830233428 210.722520443120 204.593387402126 198.762435507281 201.924713167449 206.167353854568 210.290459480186 217.361527292051 213.241546450313 223.764651529484 220.701478931569 228.763736679868 228.626509335122 214.679791530675 211.144257624742 215.616393579741 225.616393579741 229.937387336537 234.409523291537 249.179984972335 253.265272760166 247.856945846970 257.705803648766 264.985913538046 273.063600768510 268.768061397064 264.736932522915 260.705803648766 261.997397358452 266.740813848705 263.758964948690
220.017534167589 201.030044093412 187.405069790790 209.817942572597 186.550621456981 186.856470425739 159.418068421295 151.193767335335 140.375859492061 86.1345626125893 41.7509505866811 59.7700210810714 0 59.7327969500864 180.564790407821 127.149412112819 208.765214485767 244.877642513325 229.347636319175 271.863910966536 27.0831415154574 9.05538513813742 5 23.8537208837531 41.8814772610731 50.7509505866811 58.1839849603403 228.083207889888 237.570040870393 165.249020316141 150.883146248510 148.016314170304 142.917294656711 135.350921681501 138.232174643117 133.232174643117 138.331194156710 161.208184844672 164.208184844672 181.885854374336 201.286233699375 217.092301841711 209.030044093412 199.034773140403 144.940378575617 150.940378575617 171.990401678420 172.320088128006 191.550621456981 195.035902831220 198.843789384152 203.144952017673 198.258825389481 190.418132135862 180.368256514741 207.387592704792 217.069515007481 209.569515007481 201.759265331574 225.208925305531 201.320088128006 213.317942572597 214.604905380758 208.475772339763 202.644820444918 205.807098105086 210.049738792206 214.172844417823 215.017534167589 209.632369360455 221.420658405022 217.092301841711 225.154559590009 226.282516210660 218.562176468312 215.026642562379 219.498778517379 226.420658405022 233.128862337522 237.600998292521 248.989585208004 254.014523018565 250.262807320460 260.111665122256 267.391775011536 275.469462242000 268.980635614290 267.142793996405 263.111665122256 262.746647616851 267.490064107104 247.603077287858
160.284737217503 141.297247143326 127.672272840703 150.085145622510 129.696286006540 130.002134975297 109.012209858115 94.3394318848934 82.7420183801502 127.756589286401 83.3729772604926 119.502818031158 59.7327969500864 0 132.980824917031 67.4166151627327 149.032417535680 185.144845563239 169.614839369089 212.131114016450 32.6496554346290 50.6774118119490 64.7327969500864 83.5865178338395 101.614274211159 92.3729772604926 99.8060116341518 180.499242399098 189.166778457208 114.843161752960 103.299180757720 100.432348679514 95.3333291659214 87.7669561907106 78.4993776930309 73.4993776930309 78.5983972066237 101.475387894586 104.475387894586 122.153057424249 141.553436749289 157.359504891624 149.297247143326 139.301976190316 85.2075816255303 91.2075816255303 115.136066227979 121.914229564826 134.696286006540 138.181567380778 141.989453933710 146.290616567232 141.404489939039 130.685335185776 120.635459564655 150.533257254351 160.215179557040 152.715179557040 144.904929881133 167.477589611960 150.914229564826 153.585145622510 154.872108430671 148.742975389677 142.912023494832 146.074301155000 150.316941842119 154.440047467737 155.284737217503 149.899572410368 161.687861454936 157.359504891624 165.421762639923 166.549719260574 158.829379518226 155.293845612293 159.765981567292 166.687861454936 173.396065387435 177.868201342435 189.256788257918 194.281726068478 190.530010370373 200.378868172170 207.658978061450 215.736665291914 209.247838664204 207.409997046319 203.378868172170 203.013850666765 207.757267157017 187.870280337772
142.493184810572 124.770878701791 103.654342371673 114.750669680270 65.5502344375003 65.8560834062578 38.1837661840736 54.7618362622475 50.2388065368812 94.4302277952319 138.813839821140 170.296079934121 180.564790407821 132.980824917031 0 65.5642097542987 139.052759665119 162.603438558356 145.596908900058 182.589782582994 165.630480351660 171.509405269684 185.564790407821 176.866580592961 158.838824215641 129.813839821140 137.246874194799 47.5184174820669 57.0052504625720 44.0147180789189 29.6816441593117 41.3863440700313 46.4853635836241 45.2138687263207 54.4814472240005 59.4814472240005 64.5804667375932 97.4957300240236 94.4957300240236 112.173399553687 137.573778878727 140.833136450090 132.770878701791 115.284045721286 61.1896511564998 64.0623738811166 50.9900146589393 51.0857858907843 70.5502344375003 74.0355158117389 77.8434023646708 82.1445649981921 77.2584383699997 100.061946871982 93.4902518202410 86.3872056853114 96.0691279880001 88.5691279880001 80.7588783120935 104.208538286050 80.0857858907843 118.100982275500 124.248720116878 124.725044920646 118.894093025801 122.056370685969 126.299011373089 130.422116998706 137.493184810572 133.373203968834 143.896309048005 140.833136450090 148.895394198388 148.758166853643 134.811449049195 131.275915143262 135.748051098262 145.748051098262 150.069044855058 154.541180810057 169.311642490855 173.396930278686 167.988603365490 177.837461167286 178.117646627994 186.195333858458 188.899718915585 184.868590041436 180.837461167286 182.129054876973 186.872471367225 183.890622467210
92.8681220547703 73.8806319805931 60.2556576779707 82.6685304597777 62.2796708438072 62.5855198125646 41.5955946953821 26.9228167221607 15.3254032174175 69.5667000968892 113.950312122797 145.432552235778 127.149412112819 67.4166151627327 65.5642097542987 0 81.6158023729477 117.728230400506 102.198224206356 144.714498853717 100.066270597362 118.094026974682 132.149412112819 151.003132996572 133.975296517298 104.950312122797 112.383346496457 113.082627236366 121.750163294476 47.4265465902274 35.8825655949870 33.0157335167815 27.9167140031887 20.3503410279779 11.0827625302982 6.08276253029822 11.1817820438910 34.0587727318528 37.0587727318528 54.7364422615165 74.1368215865563 89.9428897288917 81.8806319805931 71.8853610275837 17.7909664627976 23.7909664627976 47.7194510652461 54.4976144020929 67.2796708438072 70.7649522180458 74.5728387709777 78.8740014044990 73.9878747763065 63.2687200230428 53.2188444019219 83.1166420916183 92.7985643943070 85.2985643943070 77.4883147184004 100.060974449227 83.4976144020929 86.1685304597777 87.4554932679385 81.3263602269442 75.4954083320989 78.6576859922673 82.9003266793865 87.0234323050042 87.8681220547703 82.4829572476358 94.2712462922031 89.9428897288917 98.0051474771902 99.1331040978411 91.4127643554929 87.8772304495601 92.3493664045597 99.2712462922031 105.979450224703 110.451586179702 121.840173095185 126.865110905746 123.113395207641 132.962253009437 140.242362898717 148.320050129181 141.831223501471 139.993381883586 135.962253009437 135.597235504032 140.340651994285 120.453665175039
35.9120534630931 25.9111155500947 47.0276518802128 74.7052463448907 104.248228836988 124.331886772632 115.084144606202 98.4150563393784 88.8139531282374 143.055250007709 187.438862033617 218.921102146598 208.765214485767 149.032417535680 139.052759665119 81.6158023729477 0 46.9325746547369 53.4955175880249 67.0038000175223 181.682072970309 199.709829347629 213.765214485767 225.491602805438 207.463846428118 178.438862033617 185.871896407277 186.571177147185 195.238713205295 120.915096501047 109.371115505807 106.504283427601 101.405263914009 93.8388909387979 84.5713124411181 79.5713124411181 84.6703319547109 47.5570296410949 44.5570296410949 26.8793601114312 8.50000000000000 9.84885780179610 17.9111155500947 35.3979485305998 89.4923430953859 89.1145187205093 118.808448615549 127.986164312913 99.2482288369880 109.193077836259 105.385191283327 101.084028649806 92.5400249044886 69.7365164025059 59.6866407813850 105.326669336925 93.3867880371601 100.886788037160 108.300667230750 92.0976903343405 126.810800249760 78.2052463448907 64.3974822808466 55.3420971427092 49.5111452478639 46.3488675876955 42.1062269005762 37.9831212749585 30.9120534630931 25.5268886559586 30.9733732983932 25.9733732983932 34.0356310466918 37.0766511062601 42.5108138440273 46.0463477499600 50.5184837049596 42.3151777005259 49.0233816330253 53.4955175880249 40.2243707222375 45.2493085327980 50.6576354459940 60.5064932477901 67.7866031370706 70.6093512929863 65.5792247853157 61.5480959111665 57.5169670370172 53.9814331310845 58.7248496213370 54.8168435884830
25.6457218732303 43.8475984199131 58.9490961866828 63.8436190552409 112.234340670574 113.866629965298 135.113747089056 110.336500645848 112.364632021475 166.605928900946 210.989540926855 242.471781039835 244.877642513325 185.144845563239 162.603438558356 117.728230400506 46.9325746547369 0 17.0065296582977 26.9862684532107 217.794500997868 235.822257375188 249.877642513325 249.042281698675 231.014525321355 201.989540926855 209.422575300514 210.121856040423 215.268315688149 140.944698983901 132.921794399044 123.711992838065 118.612973324472 117.389569832035 108.121991334355 113.121991334355 118.221010847948 83.6694576686535 80.6694576686535 62.9917881389898 55.4325746547369 43.9098561682117 35.8475984199131 53.3344314004183 101.413787401856 101.035963026979 126.794560449136 136.992599476321 107.234340670574 104.558772923772 100.750886370840 99.1472198377695 100.526136738075 77.7226282360924 71.6080850878550 94.9045791506502 82.5251607475103 90.0251607475103 97.8354104234169 81.2360630446907 115.949172960110 67.3436190552409 53.5358549911967 44.4804698530593 43.7093455325547 40.5470678723863 41.8398953107135 37.7167896850958 30.6457218732303 36.0308866803649 29.8574896053321 27.7853406716146 19.7230829233160 23.7542117974653 34.8630573210261 31.3275234150934 26.8553874600938 19.2425976357975 12.5343937032981 8.06225774829855 6.70820393249937 10.7934917203305 5.38516480713450 15.2340226089306 22.5141324982111 30.5918197286747 26.2962803572292 22.2651514830799 18.2340226089306 19.5256163186170 24.2690328088695 44.2940172033703
17.5834641249318 36.5709541991089 41.9425665283851 46.8370893969432 95.2278110122768 96.8601003070006 118.107217430758 93.3299709875508 95.3581023631769 149.599399242649 193.983011268557 225.465251381538 229.347636319175 169.614839369089 145.596908900058 102.198224206356 53.4955175880249 17.0065296582977 0 43.9927981115084 202.264494803718 220.292251181037 234.347636319175 232.035752040378 214.007995663058 184.983011268557 192.416045642216 193.115326382125 198.261786029852 123.938169325604 115.915264740746 106.705463179767 101.606443666174 100.383040173737 91.1154616760576 96.1154616760576 101.214481189650 76.3928134478493 73.3928134478493 55.7151439181856 61.9955175880249 43.6466597862288 35.5844020379302 41.2721489176482 84.4072577435582 84.0294333686816 109.788030790838 119.986069818023 90.2278110122768 87.5522432654738 83.7443567125419 82.1406901794718 83.5196070797774 60.7160985777947 54.6015554295573 77.8980494923525 65.5186310892126 73.0186310892126 80.8288807651192 64.2295333863930 98.9426433018125 50.3370893969432 36.5293253328990 27.4739401947616 26.7028158742570 23.5405382140886 26.5073258574148 22.3842202317971 22.5834641249318 27.9686289320663 28.9865883623646 33.9865883623646 27.8795750421519 23.8484461680026 17.8565276627284 14.3209937567957 9.84885780179610 11.1803398874989 4.47213595499958 8.94427190999916 23.7147335907971 27.8000213786282 22.3916944654322 32.2405522672283 39.5206621565088 47.5983493869724 43.3028100155269 39.2716811413776 35.2405522672283 36.5321459769147 41.2755624671673 61.3005468616680
52.6319903264411 70.8338668731238 85.9353646398935 67.9888003074942 117.039548145494 117.862123812782 144.406016398920 137.322769099059 139.350900474685 193.592197354157 237.975809380065 269.458049493046 271.863910966536 212.131114016450 182.589782582994 144.714498853717 67.0038000175223 26.9862684532107 43.9927981115084 0 244.780769451079 262.808525828399 276.863910966536 276.028550151886 258.000793774566 228.975809380065 236.408843753724 230.108200065061 223.192491467354 148.868874763106 159.908062852255 150.698261291275 145.599241777683 144.375838285246 135.108259787566 140.108259787566 145.207279301159 110.655726121864 107.655726121864 89.9780565922005 75.5038000175223 70.8961246214224 62.8338668731238 80.3206998536290 128.400055855067 128.022231480190 131.599767924055 141.797806951240 118.394921363070 108.554266771255 104.746380218323 103.142713685253 111.686717430571 102.483337616434 98.5943535410657 98.9000729981338 86.5206545949939 94.0206545949939 101.830904270901 78.3812442969440 113.094354212364 64.4888003074942 78.2965643715384 71.4667383062700 70.6956139857654 67.5333363255970 68.8261637639242 64.7030581383065 57.6319903264411 63.0171551335756 56.8437580585428 54.7716091248253 46.7093513765267 50.7404802506760 61.8493257742368 58.3137918683041 53.8416559133045 46.2288660890082 39.5206621565088 35.0485262015093 26.7794292952848 21.7544914847244 21.6011036460762 11.7522458442801 4.47213595499958 3.60555127546399 14.6509122926513 12.9463221215987 9.48683298050514 13.0223668864379 15.9877033867478 36.0126877812486
192.934392652132 173.946902577955 160.321928275332 182.734801057139 162.345941441169 162.651790409926 141.661865292744 126.989087319522 115.391673814779 95.1069338517718 50.7233218258636 86.8531625965288 27.0831415154574 32.6496554346290 165.630480351660 100.066270597362 181.682072970309 217.794500997868 202.264494803718 244.780769451079 0 18.0277563773199 32.0831415154574 50.9368623992105 68.9646187765304 59.7233218258636 67.1563561995228 213.148897833727 221.816433891837 147.492817187589 135.948836192349 133.082004114143 127.982984600550 120.416611625340 111.149033127660 106.149033127660 111.248052641253 134.125043329215 137.125043329215 154.802712858878 174.203092183918 190.009160326253 181.946902577955 171.951631624945 117.857237060159 123.857237060159 147.785721662608 154.563884999455 167.345941441169 170.831222815407 174.639109368339 178.940272001861 174.054145373668 163.334990620405 153.285114999284 183.182912688980 192.864834991669 185.364834991669 177.554585315762 200.127245046589 183.563884999455 186.234801057139 187.521763865300 181.392630824306 175.561678929461 178.723956589629 182.966597276748 187.089702902366 187.934392652132 182.549227844998 194.337516889565 190.009160326253 198.071418074552 199.199374695203 191.479034952855 187.943501046922 192.415637001921 199.337516889565 206.045720822064 210.517856777064 221.906443692547 226.931381503107 223.179665805003 233.028523606799 240.308633496079 248.386320726543 241.897494098833 240.059652480948 236.028523606799 235.663506101394 240.406922591646 220.519935772401
210.962149029452 191.974658955275 178.349684652652 200.762557434459 177.495236318844 177.801085287601 150.362683283158 142.138382197197 131.320474353924 77.0791774744519 32.6955654485436 68.8254062192088 9.05538513813742 50.6774118119490 171.509405269684 118.094026974682 199.709829347629 235.822257375188 220.292251181038 262.808525828399 18.0277563773199 0 14.0553851381374 32.9091060218905 50.9368623992105 41.6955654485436 49.1285998222029 219.027822751751 228.514655732256 156.193635178003 141.827761110372 138.960929032167 133.861909518574 126.295536543363 129.176789504980 124.176789504980 129.275809018573 152.152799706534 155.152799706534 172.830469236198 192.230848561238 208.036916703573 199.974658955275 189.979388002265 135.884993437479 141.884993437479 162.935016540283 163.264702989869 182.495236318844 185.980517693082 189.788404246014 194.089566879536 189.203440251343 181.362746997724 171.312871376604 198.332207566655 208.014129869344 200.514129869344 192.703880193437 216.153540167393 192.264702989869 204.262557434459 205.549520242620 199.420387201626 193.589435306781 196.751712966949 200.994353654068 205.117459279686 205.962149029452 200.576984222317 212.365273266885 208.036916703573 216.099174451872 217.227131072523 209.506791330175 205.971257424242 210.443393379241 217.365273266885 224.073477199384 228.545613154384 239.934200069867 244.959137880427 241.207422182322 251.056279984119 258.336389873399 266.414077103863 259.925250476153 258.087408858268 254.056279984119 253.691262478714 258.434678968966 238.547692149721
225.017534167589 206.030044093412 192.405069790790 214.817942572597 191.550621456981 191.856470425739 164.418068421295 156.193767335335 145.375859492061 91.1345626125893 46.7509505866811 64.7700210810714 5 64.7327969500864 185.564790407821 132.149412112819 213.765214485767 249.877642513325 234.347636319175 276.863910966536 32.0831415154574 14.0553851381374 0 28.8537208837531 46.8814772610731 55.7509505866811 63.1839849603403 233.083207889888 242.570040870393 170.249020316141 155.883146248510 153.016314170304 147.917294656711 140.350921681501 143.232174643117 138.232174643117 143.331194156710 166.208184844672 169.208184844672 186.885854374336 206.286233699375 222.092301841711 214.030044093412 204.034773140403 149.940378575617 155.940378575617 176.990401678420 177.320088128006 196.550621456981 200.035902831220 203.843789384152 208.144952017673 203.258825389481 195.418132135862 185.368256514741 212.387592704792 222.069515007481 214.569515007481 206.759265331574 230.208925305531 206.320088128006 218.317942572597 219.604905380758 213.475772339763 207.644820444918 210.807098105086 215.049738792206 219.172844417823 220.017534167589 214.632369360455 226.420658405022 222.092301841711 230.154559590009 231.282516210660 223.562176468312 220.026642562379 224.498778517379 231.420658405022 238.128862337522 242.600998292521 253.989585208004 259.014523018565 255.262807320460 265.111665122256 272.391775011536 280.469462242000 273.980635614290 272.142793996405 268.111665122256 267.746647616851 272.490064107104 252.603077287858
228.932027950891 211.209721842111 190.093185511992 226.544330892268 182.852411642121 183.158260610878 155.719858606435 147.495557520474 136.677649677201 82.4363527977290 38.0527407718207 35.9163001973183 23.8537208837531 83.5865178338395 176.866580592961 151.003132996572 225.491602805438 249.042281698675 232.035752040378 276.028550151886 50.9368623992105 32.9091060218905 28.8537208837531 0 18.0277563773199 47.0527407718207 54.4857751454800 224.384998075028 233.871831055533 161.550810501280 147.184936433649 144.318104355444 139.219084841851 131.652711866640 140.920290364320 145.920290364320 151.019309877913 183.934573164343 180.934573164343 198.612242694007 224.012622019047 227.271979590409 219.209721842111 201.722888861605 147.628494296819 153.628494296819 168.292191863560 168.621878313146 187.852411642121 191.337693016359 195.145579569291 199.446742202813 194.560615574620 193.106247857065 183.056372235944 203.689382889932 213.371305192621 205.871305192621 198.061055516714 221.510715490671 197.621878313146 230.044330892268 217.293021101960 211.163888060966 205.332936166121 208.495213826289 212.737854513408 216.860960139026 223.932027950891 219.812047109153 230.335152188324 227.271979590409 235.334237338708 235.197009993962 221.250292189515 217.714758283582 222.186894238581 232.186894238581 236.507887995377 240.980023950377 255.750485631175 259.835773419006 254.427446505810 264.276304307606 271.556414196886 279.634101427350 275.338562055904 271.307433181755 267.276304307606 268.567898017292 273.311314507545 270.329465607530
210.904271573571 193.181965464791 172.065429134672 208.516574514948 164.824655264801 165.130504233558 137.692102229115 129.467801143154 118.649893299881 64.4085964204091 20.0249843945008 17.8885438199983 41.8814772610731 101.614274211159 158.838824215641 133.975296517298 207.463846428118 231.014525321355 214.007995663058 258.000793774566 68.9646187765304 50.9368623992105 46.8814772610731 18.0277563773199 0 29.0249843945008 36.4580187681600 206.357241697708 215.844074678213 143.523054123961 129.157180056329 126.290347978124 121.191328464531 113.624955489320 122.892533987000 127.892533987000 132.991553500593 165.906816787023 162.906816787023 180.584486316687 205.984865641727 209.244223213089 201.181965464791 183.695132484286 129.600737919499 135.600737919499 150.264435486240 150.594121935826 169.824655264801 173.309936639040 177.117823191971 181.418985825493 176.532859197300 175.078491479745 165.028615858624 185.661626512612 195.343548815301 187.843548815301 180.033299139394 203.482959113351 179.594121935826 212.016574514948 199.265264724640 193.136131683646 187.305179788801 190.467457448969 194.710098136088 198.833203761706 205.904271573571 201.784290731833 212.307395811004 209.244223213089 217.306480961388 217.169253616642 203.222535812195 199.687001906262 204.159137861262 214.159137861262 218.480131618057 222.952267573057 237.722729253855 241.808017041686 236.399690128490 246.248547930286 253.528657819566 261.606345050030 257.310805678585 253.279676804435 249.248547930286 250.540141639972 255.283558130225 252.301709230210
181.879287179071 164.156981070290 143.040444740172 179.491590120447 135.799670870300 136.105519839058 108.667117834614 100.442816748654 89.6249089053799 35.3836120259083 9 40.4822401129807 50.7509505866811 92.3729772604926 129.813839821140 104.950312122797 178.438862033617 201.989540926855 184.983011268557 228.975809380065 59.7233218258636 41.6955654485436 55.7509505866811 47.0527407718207 29.0249843945008 0 7.43303437365925 177.332257303207 186.819090283712 114.498069729460 100.132195661829 97.2653635836230 92.1663440700303 84.5999710948195 93.8675495924992 98.8675495924992 103.966569106092 136.881832392522 133.881832392522 151.559501922186 176.959881247226 180.219238818588 172.156981070290 154.670148089785 100.575753524999 106.575753524999 121.239451091739 121.569137541325 140.799670870300 144.284952244539 148.092838797471 152.394001430992 147.507874802800 146.053507085244 136.003631464123 156.636642118111 166.318564420800 158.818564420800 151.008314744893 174.457974718850 150.569137541325 182.991590120447 170.240280330139 164.111147289145 158.280195394300 161.442473054468 165.685113741588 169.808219367205 176.879287179071 172.759306337332 183.282411416504 180.219238818588 188.281496566887 188.144269222142 174.197551417694 170.662017511761 175.134153466761 185.134153466761 189.455147223556 193.927283178556 208.697744859354 212.783032647185 207.374705733989 217.223563535785 224.503673425066 232.581360655529 228.285821284084 224.254692409934 220.223563535785 221.515157245472 226.258573735724 223.276724835709
189.312321552730 171.590015443949 150.473479113831 186.924624494107 143.232705243959 143.538554212717 116.100152208274 107.875851122313 97.0579432790392 42.8166463995675 16.4330343736593 33.0492057393215 58.1839849603403 99.8060116341519 137.246874194799 112.383346496457 185.871896407277 209.422575300514 192.416045642216 236.408843753725 67.1563561995228 49.1285998222029 63.1839849603403 54.4857751454800 36.4580187681600 7.43303437365925 0 184.765291676866 194.252124657371 121.931104103119 107.565230035488 104.698397957282 99.5993784436895 92.0330054684788 101.300583966158 106.300583966158 111.399603479751 144.314866766182 141.314866766182 158.992536295845 184.392915620885 187.652273192248 179.590015443949 162.103182463444 108.008787898658 114.008787898658 128.672485465398 129.002171914984 148.232705243959 151.717986618198 155.525873171130 159.827035804651 154.940909176459 153.486541458903 143.436665837782 164.069676491771 173.751598794459 166.251598794459 158.441349118553 181.891009092509 158.002171914984 190.424624494107 177.673314703799 171.544181662804 165.713229767959 168.875507428128 173.118148115247 177.241253740864 184.312321552730 180.192340710992 190.715445790163 187.652273192248 195.714530940546 195.577303595801 181.630585791353 178.095051885420 182.567187840420 192.567187840420 196.888181597216 201.360317552215 216.130779233013 220.216067020844 214.807740107648 224.656597909444 231.936707798725 240.014395029188 235.718855657743 231.687726783594 227.656597909444 228.948191619131 233.691608109383 230.709759209368
190.011602292639 172.289296183858 151.172759853740 162.269087162336 113.068651919567 113.374500888325 85.7021836661405 102.280253744314 97.7572240189481 141.948645277299 186.332257303207 217.814497416188 228.083207889888 180.499242399098 47.5184174820669 113.082627236366 186.571177147185 210.121856040423 193.115326382125 230.108200065061 213.148897833727 219.027822751751 233.083207889888 224.384998075028 206.357241697708 177.332257303207 184.765291676866 0 9.48683298050514 83.8104496847533 77.2000616413785 88.9047615520982 94.0037810656910 92.7322862083876 101.999864706067 106.999864706067 112.098884219660 145.014147506091 142.014147506091 159.691817035754 185.092196360794 188.351553932157 180.289296183858 162.802463203353 108.708068638567 111.580791363184 98.5084321410062 90.8815174966188 118.068651919567 121.553933293806 125.361819846738 129.662982480259 124.776855852067 147.580364354049 141.008669302308 133.905623167378 143.587545470067 136.087545470067 128.277295794160 151.726955768117 119.881517496619 165.619399757567 171.767137598945 172.243462402713 166.412510507868 169.574788168036 173.817428855156 177.940534480773 185.011602292639 180.891621450901 191.414726530072 188.351553932157 196.413811680455 196.276584335710 182.329866531262 178.794332625329 183.266468580329 193.266468580329 197.587462337125 202.059598292124 216.830059972922 220.915347760753 215.507020847557 225.355878649353 225.636064110061 233.713751340525 236.418136397652 232.387007523503 228.355878649353 229.647472359040 234.390888849292 231.409039949277
195.158061940366 177.435755831585 156.319219501467 155.353378564630 106.152943321860 106.458792290618 80.1545685990935 104.931815042301 107.244056999453 151.435478257804 195.819090283712 227.301330396693 237.570040870393 189.166778457208 57.0052504625720 121.750163294476 195.238713205295 215.268315688150 198.261786029852 223.192491467354 221.816433891837 228.514655732256 242.570040870393 233.871831055533 215.844074678213 186.819090283712 194.252124657372 9.48683298050514 0 74.3236167042482 86.6868946218837 91.5563228500849 96.6553423636777 102.219119188893 111.486697686572 115.667400764177 110.568381250585 153.681683564201 150.681683564201 168.359353093864 193.759732418904 193.498013579883 185.435755831585 167.948922851080 118.194901619072 114.232352661170 91.5927235432992 81.3946845161137 111.152943321860 114.638224696099 118.446111249031 122.747273882552 117.861147254360 140.664655756342 143.660230600295 126.989914569671 136.671836872360 129.171836872360 121.361587196453 144.811247170410 110.394684516114 158.703691159860 164.851429001238 173.906814139375 171.558970155595 174.721247815763 178.963888502883 183.086994128500 190.158061940366 186.038081098627 196.561186177799 193.498013579883 201.560271328182 201.423043983437 187.476326178989 183.940792273056 188.412928228056 198.412928228056 202.733921984851 207.206057939851 221.976519620649 226.061807408480 220.653480495284 226.000465401635 218.720355512354 226.798042742818 237.062723149933 233.031594275784 229.000465401635 232.535999307568 236.072975540933 240.076576007387
120.834445236117 103.112139127337 81.9956027972185 81.0297618603813 31.8293266176121 32.1351755863696 5.83095189484530 30.6081983380529 34.9230364452007 79.1144577035515 123.498069729460 154.980309842440 165.249020316141 114.843161752960 44.0147180789189 47.4265465902274 120.915096501047 140.944698983901 123.938169325604 148.868874763106 147.492817187589 156.193635178003 170.249020316141 161.550810501281 143.523054123961 114.498069729460 121.931104103119 83.8104496847533 74.3236167042482 0 28.9374060565563 17.2327061458367 22.3317256594295 29.8980986346402 39.1656771323200 41.3437840599292 36.2447645463364 79.3580668599524 76.3580668599524 94.0357363896161 119.436115714656 119.174396875635 111.112139127337 93.6253061468315 45.8738810648193 39.9087359569220 17.2691068390510 7.07106781186548 36.8293266176121 40.3146079918507 44.1224945447826 48.4236571783039 43.5375305501115 66.3410390520942 69.3366138960463 52.6662978654232 62.3482201681119 54.8482201681119 47.0379704922053 70.4876304661618 36.0710678118655 84.3800744556116 90.5278122969899 99.5831974351273 97.2353534513467 100.397631111515 104.640271798634 108.763377424252 115.834445236117 111.714464394379 122.237569473550 119.174396875635 127.236654623934 127.099427279188 113.152709474741 109.617175568808 114.089311523808 124.089311523808 128.410305280603 132.882441235603 147.652902916401 151.738190704232 146.329863791036 151.676848697387 144.396738808106 152.474426038570 162.739106445685 158.707977571536 154.676848697387 158.212382603319 161.749358836685 165.752959303139
112.811540651260 95.0892345424794 73.9726982123613 99.6733576579070 50.4729224151377 50.7787713838952 23.1064541617110 25.0801921029358 20.5571623775695 64.7485836359203 109.132195661829 140.614435774809 150.883146248510 103.299180757720 29.6816441593117 35.8825655949870 109.371115505807 132.921794399044 115.915264740746 159.908062852255 135.948836192349 141.827761110372 155.883146248510 147.184936433649 129.157180056329 100.132195661829 107.565230035488 77.2000616413785 86.6868946218837 28.9374060565563 0 11.7046999107196 16.8037194243124 15.5322245670091 24.7998030646888 29.7998030646888 34.8988225782816 67.8140858647120 64.8140858647120 82.4917553943757 107.892134719416 111.151492290778 103.089234542479 85.6024015619743 31.5080069971882 34.3807297218050 35.9127026365767 36.0084738684218 55.4729224151377 58.9582037893763 62.7660903423083 67.0672529758296 62.1811263476371 73.8584832820502 63.8086076609293 71.3098936629489 80.9918159656376 73.4918159656376 65.6815662897309 89.1312262636874 65.0084738684218 103.023670253137 98.0452565269458 95.0434007613348 89.2124488664895 92.3747265266578 96.6173672137771 100.740472839395 107.811540651260 103.691559809522 114.214664888693 111.151492290778 119.213750039077 119.076522694331 105.129804889883 101.594270983951 106.066406938950 116.066406938950 120.387400695746 124.859536650746 139.629998331543 143.715286119375 138.306959206179 148.155817007975 155.435926897255 163.513614127719 159.218074756273 155.186945882124 151.155817007975 152.447410717661 157.190827207914 154.208978307898
103.601739090281 85.8794329815000 64.7628966513818 87.9686577471873 38.7682225044181 39.0740714731756 11.4017542509914 13.3754921922162 17.6903302993640 61.8817515577148 106.265363583623 137.747603696604 148.016314170304 100.432348679514 41.3863440700313 33.0157335167815 106.504283427601 123.711992838065 106.705463179767 150.698261291275 133.082004114143 138.960929032167 153.016314170304 144.318104355444 126.290347978124 97.2653635836231 104.698397957282 88.9047615520982 91.5563228500849 17.2327061458367 11.7046999107196 0 5.09901951359278 12.6653924888036 21.9329709864833 26.9329709864833 32.0319905000761 64.9472537865065 61.9472537865065 79.6249233161702 105.025302641210 101.941690729799 93.8794329815000 76.3926000009948 28.6411749189827 22.6760298110854 24.2080027258571 24.3037739577022 43.7682225044181 47.2535038786567 51.0613904315886 55.3625530651100 50.4764264369175 62.1537833713306 52.1039077502097 59.6051937522292 69.2871160549179 61.7871160549179 53.9768663790113 77.4265263529678 53.3037739577022 91.3189703424176 86.3405566162262 85.8335992003553 80.0026473055100 83.1649249656784 87.4075656527977 91.5306712784153 98.6017390902808 94.4817582485426 105.004863327714 101.941690729799 110.003948478097 109.866721133352 95.9200033289040 92.3844694229713 96.8566053779708 106.856605377971 111.177599134767 115.649735089766 130.420196770564 134.505484558395 129.097157645199 138.946015446995 146.226125336276 154.303812566739 150.008273195294 145.977144321145 141.946015446995 143.237609156682 147.981025646934 151.342146229693
98.5027195766880 80.7804134679072 59.6638771377890 91.5493011666776 43.6333268002699 43.9391757690274 16.5007737645842 8.27647267862342 12.5913107857712 56.7827320441220 101.166344070030 132.648584183011 142.917294656711 95.3333291659214 46.4853635836241 27.9167140031887 101.405263914009 118.612973324472 101.606443666174 145.599241777683 127.982984600550 133.861909518574 147.917294656711 139.219084841851 121.191328464531 92.1663440700303 99.5993784436895 94.0037810656909 96.6553423636776 22.3317256594295 16.8037194243124 5.09901951359278 0 7.56637297521078 16.8339514728905 21.8339514728905 26.9329709864833 59.8482342729137 56.8482342729137 74.5259038025774 99.9262831276172 96.8426712162057 88.7804134679072 71.2935804874021 23.5421554053899 17.5770102974926 29.0731070217088 29.4027934712949 48.6333268002699 52.1186081745085 55.9264947274404 60.2276573609617 55.3415307327693 57.0547638577378 47.0048882366169 64.4702980480810 74.1522203507697 66.6522203507697 58.8419706748631 82.2916306488196 58.4027934712949 95.0493011666776 81.2415371026334 80.7345796867625 74.9036277919172 78.0659054520856 82.3085461392049 86.4316517648226 93.5027195766880 89.3827387349498 99.9058438141209 96.8426712162057 104.904928964504 104.767701619759 90.8209838153112 87.2854499093785 91.7575858643781 101.757585864378 106.078579621174 110.550715576173 125.321177256971 129.406465044802 123.998138131606 133.846995933403 141.127105822683 149.204793053147 144.909253681701 140.878124807552 136.846995933403 138.138589643089 142.882006133341 146.243126716100
97.2793160842512 79.5570099754704 58.4404736453522 94.8916190256278 51.1996997754807 51.5055487442381 24.0671467397949 15.8428456538342 5.02493781056045 49.2163590689112 93.5999710948195 125.082211207800 135.350921681501 87.7669561907107 45.2138687263207 20.3503410279779 93.8388909387979 117.389569832035 100.383040173737 144.375838285246 120.416611625340 126.295536543363 140.350921681501 131.652711866640 113.624955489320 84.5999710948195 92.0330054684787 92.7322862083876 102.219119188893 29.8980986346402 15.5322245670091 12.6653924888036 7.56637297521078 0 9.26757849767973 14.2675784976797 19.3665980112725 52.2818612977029 49.2818612977029 66.9595308273666 92.3599101524064 95.6192677237689 87.5570099754704 70.0701769949652 15.9757824301791 21.9757824301791 36.6394799969196 36.9691664465057 56.1996997754807 59.6849811497192 63.4928677026512 67.7940303361725 62.9079037079800 61.4535359904243 51.4036603693034 72.0366710232918 81.7185933259805 74.2185933259805 66.4083436500739 89.8580036240303 65.9691664465057 98.3916190256278 85.6403092353200 79.5111761943257 73.6802242994804 76.8425019596488 81.0851426467681 85.2082482723857 92.2793160842512 88.1593352425130 98.6824403216840 95.6192677237689 103.681525472067 103.544298127322 89.5975803228744 86.0620464169417 90.5341823719412 100.534182371941 104.855176128737 109.327312083736 124.097773764534 128.183061552366 122.774734639170 132.623592440966 139.903702330246 147.981389560710 143.685850189264 139.654721315115 135.623592440966 136.915186150652 141.658602640905 138.676753740889
88.0117375865715 70.2894314777906 49.1728951476725 85.6240405279480 51.1969083135089 51.5027572822664 33.3347252374747 15.8400541918625 4.24264068711929 58.4839375665910 102.867549592499 134.349789705480 138.232174643117 78.4993776930309 54.4814472240005 11.0827625302982 84.5713124411181 108.121991334355 91.1154616760576 135.108259787566 111.149033127660 129.176789504980 143.232174643117 140.920290364320 122.892533987000 93.8675495924992 101.300583966158 101.999864706067 111.486697686572 39.1656771323200 24.7998030646888 21.9329709864833 16.8339514728905 9.26757849767973 0 5 10.0990195135928 43.0142828000232 40.0142828000232 57.6919523296869 83.0923316547267 86.3516892260892 78.2894314777906 60.8025984972855 6.70820393249937 12.7082039324994 36.6366885349479 46.2367449441854 56.1969083135089 59.6821896877475 63.4900762406795 67.7912388742008 62.9051122460083 52.1859574927446 42.1360818716237 72.0338795613201 81.7158018640088 74.2158018640088 66.4055521881021 89.8552121620586 75.2367449441855 89.1240405279480 76.3727307376402 70.2435976966460 64.4126458018007 67.5749234619690 71.8175641490883 75.9406697747060 83.0117375865715 78.8917567448333 89.4148618240043 86.3516892260892 94.4139469743877 94.2767196296423 80.3300018251947 76.7944679192619 81.2666038742615 91.2666038742615 95.5875976310572 100.059733586057 114.830195266855 118.915483054686 113.507156141490 123.356013943286 130.636123832566 138.713811063030 134.418271691584 130.387142817435 126.356013943286 127.647607652972 132.391024143225 129.409175243210
90.8236321229407 71.8361420487635 54.1728951476725 80.6240405279480 56.1969083135089 56.5027572822664 35.5128321650839 20.8400541918625 9.24264068711928 63.4839375665910 107.867549592499 139.349789705480 133.232174643117 73.4993776930309 59.4814472240005 6.08276253029822 79.5713124411181 113.121991334355 96.1154616760576 140.108259787566 106.149033127660 124.176789504980 138.232174643117 145.920290364320 127.892533987000 98.8675495924992 106.300583966158 106.999864706067 115.667400764177 41.3437840599292 29.7998030646888 26.9329709864833 21.8339514728905 14.2675784976797 5 0 5.09901951359278 38.0142828000232 35.0142828000232 52.6919523296869 78.0923316547267 87.8983997970621 79.8361420487635 65.8025984972855 11.7082039324994 17.7082039324994 41.6366885349479 48.4148518717947 61.1969083135089 64.6821896877475 68.4900762406795 72.7912388742008 67.9051122460083 57.1859574927446 47.1360818716237 77.0338795613201 86.7158018640088 79.2158018640088 71.4055521881021 94.8552121620586 77.4148518717947 84.1240405279480 81.3727307376402 75.2435976966460 69.4126458018007 72.5749234619690 76.8175641490883 80.9406697747060 85.8236321229407 80.4384673158062 92.2267563603735 87.8983997970621 95.9606575453606 97.0886141660115 85.3300018251947 81.7944679192619 86.2666038742615 96.2666038742615 100.587597631057 105.059733586057 119.795683163356 123.915483054686 118.507156141490 128.356013943286 135.636123832566 143.713811063030 139.418271691584 135.387142817435 131.356013943286 132.647607652972 137.391024143225 124.409175243210
95.9226516365334 76.9351615623563 59.2719146612653 85.7230600415408 57.7802809049178 58.0861298736753 30.4138126514911 25.9390737054553 14.3416602007121 68.5829570801837 112.966569106092 144.448809219073 138.331194156710 78.5983972066237 64.5804667375932 11.1817820438910 84.6703319547109 118.221010847948 101.214481189650 145.207279301159 111.248052641253 129.275809018573 143.331194156710 151.019309877913 132.991553500593 103.966569106092 111.399603479751 112.098884219660 110.568381250585 36.2447645463364 34.8988225782816 32.0319905000761 26.9329709864833 19.3665980112725 10.0990195135928 5.09901951359278 0 43.1133023136160 40.1133023136160 57.7909718432797 83.1913511683195 92.9974193106549 84.9351615623563 70.9016180108783 16.8072234460922 22.8072234460922 43.2200611263568 43.3158323582019 62.7802809049178 66.2655622791564 70.0734488320884 74.3746114656097 69.4884848374172 62.2849770063374 52.2351013852165 78.6172521527290 88.2991744554177 80.7991744554177 72.9889247795110 96.4385847534675 72.3158323582019 89.2230600415408 86.4717502512330 80.3426172102387 74.5116653153934 77.6739429755618 81.9165836626811 86.0396892882988 90.9226516365334 85.5374868293989 97.3257758739663 92.9974193106549 101.059677058953 102.187633679604 90.4290213387874 86.8934874328547 91.3656233878543 101.365623387854 105.686617144650 110.158753099650 124.894702676948 129.014502568279 123.606175655083 133.455033456879 140.735143346159 148.812830576623 144.517291205177 140.486162331028 136.455033456879 137.746627166565 142.490043656818 129.508194756802
58.8093493229175 39.8218592487403 60.9383955788585 48.6097577279248 94.2111911135321 94.5170400822896 73.5271149651071 58.8543369918857 47.2569234871425 101.498220366614 145.881832392522 177.364072505503 161.208184844672 101.475387894586 97.4957300240237 34.0587727318528 47.5570296410949 83.6694576686535 76.3928134478493 110.655726121864 134.125043329215 152.152799706534 166.208184844672 183.934573164343 165.906816787023 136.881832392522 144.314866766182 145.014147506091 153.681683564201 79.3580668599524 67.8140858647120 64.9472537865065 59.8482342729137 52.2818612977029 43.0142828000232 38.0142828000232 43.1133023136160 0 3 20.6776695296637 40.0780488547035 55.8841169970389 47.8218592487403 49.3086922292455 49.7224867325226 55.7224867325226 79.6509713349711 86.4291346718179 99.1655661882704 89.3249115964555 85.5170250435236 83.9133585104535 92.4573622557710 83.1042950368646 73.5973844800306 79.6707178233342 67.2912994201943 74.7912994201943 82.6015490961009 66.0022017173747 100.715311632794 52.1097577279248 58.9175217919690 67.9729069301064 71.4784336367665 68.3161559765982 64.0735152894789 60.8804171347829 53.8093493229175 48.4241845157830 60.2124735603503 55.8841169970389 63.9463747453374 65.0743313659883 65.4081097038517 68.9436436097844 73.4157795647840 65.2124735603503 71.9206774928497 76.3928134478493 87.7814003633324 92.8063381738929 89.0546224757880 98.9034802775841 106.183590166865 114.261277397328 107.772450769618 105.934609151733 101.903480277584 101.538462772179 106.281879262432 86.3948924431865
55.8093493229175 36.8218592487403 57.9383955788585 45.6097577279248 91.2111911135321 91.5170400822896 70.5271149651071 55.8543369918857 44.2569234871425 98.4982203666142 142.881832392522 174.364072505503 164.208184844672 104.475387894586 94.4957300240237 37.0587727318528 44.5570296410949 80.6694576686535 73.3928134478493 107.655726121864 137.125043329215 155.152799706534 169.208184844672 180.934573164343 162.906816787023 133.881832392522 141.314866766182 142.014147506091 150.681683564201 76.3580668599524 64.8140858647120 61.9472537865065 56.8482342729137 49.2818612977029 40.0142828000232 35.0142828000232 40.1133023136160 3 0 17.6776695296637 43.0780488547035 52.8841169970389 44.8218592487403 46.3086922292455 46.7224867325226 52.7224867325226 76.6509713349711 83.4291346718179 96.1655661882704 86.3249115964555 82.5170250435236 80.9133585104535 89.4573622557710 80.1042950368646 70.5973844800306 76.6707178233342 64.2912994201943 71.7912994201943 79.6015490961009 63.0022017173746 97.7153116327942 49.1097577279248 55.9175217919690 64.9729069301064 68.4784336367665 65.3161559765982 61.0735152894789 57.8804171347829 50.8093493229175 45.4241845157830 57.2124735603503 52.8841169970389 60.9463747453374 62.0743313659883 62.4081097038517 65.9436436097844 70.4157795647840 62.2124735603503 68.9206774928497 73.3928134478493 84.7814003633324 89.8063381738929 86.0546224757880 95.9034802775841 103.183590166865 111.261277397328 106.965738025883 102.934609151733 98.9034802775841 98.5384627721794 103.281879262432 89.3948924431865
38.1316797932538 19.1441897190766 40.2607260491948 63.2874272575885 97.4813030059700 109.194709611953 88.2047844947708 73.5320065215494 61.9345930168062 116.175889896278 160.559501922186 192.041742035167 181.885854374336 122.153057424249 112.173399553687 54.7364422615165 26.8793601114312 62.9917881389898 55.7151439181856 89.9780565922005 154.802712858878 172.830469236198 186.885854374336 198.612242694007 180.584486316687 151.559501922186 158.992536295845 159.691817035754 168.359353093864 94.0357363896161 82.4917553943757 79.6249233161702 74.5259038025774 66.9595308273666 57.6919523296869 52.6919523296869 57.7909718432797 20.6776695296637 17.6776695296637 0 35.3793601114312 35.2064474673752 27.1441897190766 28.6310226995818 64.4001562621863 70.4001562621863 94.3286408646348 101.106804201482 92.4813030059700 102.426152005241 98.6182654523095 94.3171028187881 85.7730990734706 62.9695905714879 52.9197149503670 94.3483873529979 81.9689689498579 89.4689689498579 97.2792186257646 80.6798712470383 115.392981162458 66.7874272575885 65.6871011400856 56.6317160019482 50.8007641071029 47.6384864469345 43.3958457598152 40.2027476051193 33.1316797932538 27.7465149861193 39.5348040306866 35.2064474673752 43.2687052156738 44.3966618363246 44.7304401741880 48.2659740801207 52.7381100351203 44.5348040306866 51.2430079631860 55.7151439181856 67.1037308336688 72.1286686442292 68.3769529461243 78.2258107479204 85.5059206372009 93.5836078676645 89.2880684962189 85.2569396220697 81.2258107479204 80.8607932425157 85.6042097327683 81.6962036999142
44.4120534630931 34.4111155500947 55.5276518802128 83.2052463448907 112.748228836988 132.831886772632 113.605163819811 98.9323858465892 87.3349723418460 141.576269221318 185.959881247226 217.442121360207 201.286233699375 141.553436749289 137.573778878727 74.1368215865563 8.50000000000000 55.4325746547369 61.9955175880249 75.5038000175223 174.203092183918 192.230848561238 206.286233699375 224.012622019047 205.984865641727 176.959881247226 184.392915620885 185.092196360794 193.759732418904 119.436115714656 107.892134719415 105.025302641210 99.9262831276172 92.3599101524064 83.0923316547267 78.0923316547267 83.1913511683195 40.0780488547035 43.0780488547035 35.3793601114312 0 18.3488578017961 26.4111155500947 43.8979485305998 89.8005355872261 95.8005355872261 119.729020189675 126.507183526521 107.748228836988 117.693077836259 113.885191283327 109.584028649806 101.040024904489 78.2365164025059 68.1866407813850 113.826669336925 101.886788037160 109.386788037160 116.800667230750 100.597690334341 135.310800249760 86.7052463448907 72.8974822808466 63.8420971427092 58.0111452478639 54.8488675876955 50.6062269005762 46.4831212749585 39.4120534630931 34.0268886559586 39.4733732983932 34.4733732983932 42.5356310466918 45.5766511062601 51.0108138440273 54.5463477499600 59.0184837049596 50.8151777005259 57.5233816330253 61.9955175880249 48.7243707222375 53.7493085327980 59.1576354459940 69.0064932477901 76.2866031370706 78.7239800942676 67.6944019149150 69.3832092481329 66.0169670370172 62.4814331310845 66.3418279829838 46.3168435884830
26.0631956612970 16.0622577482986 37.1787940784167 64.8563885430946 94.3993710351919 114.483028970835 113.343444980790 88.5661985375823 90.5943299132085 144.835626792680 189.219238818588 220.701478931569 217.092301841711 157.359504891624 140.833136450090 89.9428897288917 9.84885780179610 43.9098561682117 43.6466597862288 70.8961246214224 190.009160326253 208.036916703573 222.092301841711 227.271979590409 209.244223213089 180.219238818588 187.652273192248 188.351553932157 193.498013579883 119.174396875635 111.151492290778 101.941690729799 96.8426712162057 95.6192677237689 86.3516892260892 87.8983997970621 92.9974193106549 55.8841169970389 52.8841169970389 35.2064474673752 18.3488578017961 0 8.06225774829855 25.5490907288037 79.6434852935898 79.2656609187132 108.959590813753 119.157629840939 89.3993710351919 99.3442200344633 95.5363334815314 91.2351708480100 82.6911671026925 59.8876586007098 49.8377829795889 95.4778115351293 83.5379302353640 91.0379302353640 98.4518094289540 82.2488325325444 116.961942447964 68.3563885430946 54.5486244790505 45.4932393409131 39.6622874460678 36.5000097858994 32.2573690987801 28.1342634731624 21.0631956612970 15.6780308541625 21.1245154965971 16.1245154965971 24.1867732448956 27.2277933044640 32.6619560422312 36.1974899481639 40.6696259031635 32.4663198987298 39.1745238312292 43.6466597862288 50.0732285240336 54.7033478885422 49.2950209753462 59.1438787771423 66.4239886664228 74.5016758968864 70.2061365254408 66.1750076512916 62.1438787771423 63.4354724868286 68.1788889770812 64.6657013902791
18.0009379129984 8 29.1165363301181 56.7941307947961 86.3371132868933 106.420771222537 105.281187232491 80.5039407892838 82.5320721649099 136.773369044382 181.156981070290 212.639221183271 209.030044093412 149.297247143326 132.770878701791 81.8806319805931 17.9111155500947 35.8475984199131 35.5844020379302 62.8338668731238 181.946902577955 199.974658955275 214.030044093412 219.209721842111 201.181965464791 172.156981070290 179.590015443949 180.289296183858 185.435755831585 111.112139127337 103.089234542479 93.8794329815000 88.7804134679072 87.5570099754704 78.2894314777906 79.8361420487635 84.9351615623563 47.8218592487403 44.8218592487403 27.1441897190766 26.4111155500947 8.06225774829855 0 17.4868329805051 71.5812275452913 71.2034031704146 100.897333065454 111.095372092640 81.3371132868933 91.2819622861648 87.4740757332328 83.1729130997115 74.6289093543940 51.8254008524112 41.7755252312903 87.4155537868308 75.4756724870655 82.9756724870655 90.3895516806555 74.1865747842459 108.899684699665 60.2941307947961 46.4863667307519 37.4309815926145 31.6000296977692 28.4377520376008 24.1951113504816 20.0720057248639 13.0009379129984 7.61577310586391 13.0622577482986 8.06225774829855 16.1245154965971 19.1655355561654 24.5996982939326 28.1352321998653 32.6073681548649 24.4040621504313 31.1122660829306 35.5844020379302 42.5558023524125 46.6410901402436 41.2327632270476 51.0816210288437 58.3617309181242 66.4394181485878 62.1438787771423 58.1127499029930 54.0816210288437 55.3732147385301 60.1166312287827 72.7279591385777
28.4743230546823 9.48683298050514 11.6297033496130 47.3638425045479 68.8502803063882 88.9339382420317 87.7943542519862 63.0171078087786 65.0452391844048 119.286536063876 163.670148089785 195.152388202765 199.034773140403 139.301976190316 115.284045721286 71.8853610275837 35.3979485305998 53.3344314004183 41.2721489176482 80.3206998536290 171.951631624945 189.979388002265 204.034773140403 201.722888861605 183.695132484286 154.670148089785 162.103182463444 162.802463203353 167.948922851080 93.6253061468315 85.6024015619743 76.3926000009949 71.2935804874021 70.0701769949652 60.8025984972855 65.8025984972855 70.9016180108783 49.3086922292455 46.3086922292455 28.6310226995818 43.8979485305998 25.5490907288037 17.4868329805051 0 54.0943945647861 53.7165701899095 83.4105000849492 93.6085391121348 63.8502803063882 73.7951293056596 69.9872427527277 65.6860801192064 57.1420763738888 34.3385678719061 24.2886922507852 69.9287208063256 66.0453841968173 73.5453841968173 72.9027187001503 64.7562864939977 99.4693964094173 50.8638425045479 37.0560784405038 28.0006933023664 22.1697414075211 19.0074637473527 14.7648230602334 18.8879286858511 23.4743230546823 18.0891582475478 29.8774472921151 25.5490907288037 33.6113484771022 34.7393050977531 23.4156212549198 26.9511551608525 31.4232911158521 34.8774472921151 41.5856512246145 46.0577871796141 60.0426353329176 64.1279231207488 58.7195962075528 68.5684540093489 75.8485638986294 83.9262511290930 79.6307117576474 75.5995828834981 71.5684540093489 72.8600477190352 77.6034642092878 90.2147921190828
81.3035336540721 63.5812275452913 42.4646912151731 79.9722908691850 50.6573917405156 50.9632407092731 40.0429291699740 15.3005376188691 10.9508446196187 65.1921414990903 109.575753524999 141.057993637979 144.940378575617 85.2075816255303 61.1896511564998 17.7909664627976 89.4923430953859 101.413787401856 84.4072577435582 128.400055855067 117.857237060159 135.884993437479 149.940378575617 147.628494296819 129.600737919499 100.575753524999 108.008787898658 108.708068638567 118.194901619072 45.8738810648193 31.5080069971882 28.6411749189827 23.5421554053899 15.9757824301791 6.70820393249937 11.7082039324994 16.8072234460922 49.7224867325226 46.7224867325226 64.4001562621863 89.8005355872261 79.6434852935898 71.5812275452913 54.0943945647861 0 6 36.0971719619546 46.2952109891401 55.6573917405156 59.1426731147542 62.9505596676861 67.2517223012074 62.3655956730150 45.4777535602452 35.4278779391243 71.4943629883267 81.1762852910154 73.6762852910154 65.8660356151088 89.3156955890653 75.2952109891401 83.4722908691850 69.6645268051409 63.5353937641466 57.7044418693013 60.8667195294697 65.1093602165889 69.2324658422066 76.3035336540721 72.1835528123339 82.7066578915049 79.6434852935898 87.7057430418884 87.5685156971429 73.6217978926953 70.0862639867626 74.5583999417621 84.5583999417621 88.8793936985578 93.3515296535574 108.121991334355 112.207279122186 106.798952208990 116.647810010787 123.927919900067 132.005607130531 127.710067759085 123.678938884936 119.647810010787 120.939403720473 125.682820210726 136.117379175709
80.9257092791955 63.2034031704146 42.0868668402965 73.9722908691850 44.6573917405156 44.9632407092731 34.0777840620767 9.30053761886914 16.9508446196187 71.1921414990903 115.575753524999 147.057993637979 150.940378575617 91.2075816255303 64.0623738811166 23.7909664627976 89.1145187205093 101.035963026979 84.0294333686816 128.022231480190 123.857237060159 141.884993437479 155.940378575617 153.628494296819 135.600737919499 106.575753524999 114.008787898658 111.580791363184 114.232352661170 39.9087359569220 34.3807297218050 22.6760298110853 17.5770102974926 21.9757824301791 12.7082039324994 17.7082039324994 22.8072234460922 55.7224867325226 52.7224867325226 70.4001562621863 95.8005355872261 79.2656609187132 71.2034031704146 53.7165701899095 6 0 30.0971719619546 40.2952109891401 49.6573917405156 53.1426731147542 56.9505596676861 61.2517223012074 56.3655956730150 39.4777535602452 29.4278779391243 65.4943629883267 75.1762852910154 67.6762852910154 59.8660356151088 83.3156955890653 69.2952109891401 77.4722908691850 63.6645268051409 63.1575693892700 57.3266174944247 60.4888951545930 64.7315358417123 68.8546414673300 75.9257092791955 71.8057284374573 82.3288335166283 79.2656609187132 87.3279186670117 87.1906913222663 73.2439735178187 69.7084396118859 74.1805755668855 84.1805755668855 88.5015693236812 92.9737052786808 107.744166959479 111.829454747310 106.421127834114 116.269985635910 123.550095525190 131.627782755654 127.332243384208 123.301114510059 119.269985635910 120.561579345596 125.304995835849 142.117379175709
108.303108558844 92.8973330654544 71.7807967353362 63.7606550213303 14.5602197785610 14.8660687473185 12.8062484748657 20.7966343430854 32.3940478478286 85.8558390658309 130.239451091739 161.721691204720 171.990401678420 115.136066227979 50.9900146589393 47.7194510652461 118.808448615549 126.794560449136 109.788030790838 131.599767924055 147.785721662608 162.935016540283 176.990401678420 168.292191863560 150.264435486240 121.239451091739 128.672485465398 98.5084321410062 91.5927235432992 17.2691068390510 35.9127026365767 24.2080027258571 29.0731070217088 36.6394799969196 36.6366885349479 41.6366885349479 43.2200611263568 79.6509713349711 76.6509713349711 94.3286408646348 119.729020189675 108.959590813753 100.897333065454 83.4105000849492 36.0971719619546 30.0971719619546 0 10.1980390271856 19.5602197785610 23.0455011527996 26.8533877057316 31.1545503392529 26.2684237110604 49.0719322130432 59.1218078341641 35.3971910263722 45.0791133290609 37.5791133290609 29.7688636531542 53.2185236271107 39.1980390271856 67.1109676165605 73.2587054579388 82.3140905960762 87.0205473894644 90.1828250496328 94.4254657367521 98.5485713623697 105.619639174235 101.499658332497 112.022763411668 108.959590813753 117.021848562051 114.568090601915 99.0025709399749 95.4670370340421 99.9391729890417 109.939172989042 114.260166745837 118.732302700837 133.502764381635 137.588052169466 132.179725256270 134.407741858336 127.127631969055 135.205319199519 145.469999606634 141.438870732485 137.407741858336 140.943275764268 144.480251997634 164.505236392135
118.501147586030 103.095372092640 81.9788357625218 73.9586940485158 24.7582588057466 25.0641077745041 12.9020197067108 30.9946733702710 41.9941042570662 86.1855255154169 130.569137541325 162.051377654306 172.320088128006 121.914229564826 51.0857858907843 54.4976144020929 127.986164312913 136.992599476321 119.986069818023 141.797806951240 154.563884999455 163.264702989869 177.320088128006 168.621878313146 150.594121935826 121.569137541325 129.002171914984 90.8815174966188 81.3946845161137 7.07106781186548 36.0084738684218 24.3037739577022 29.4027934712949 36.9691664465057 46.2367449441854 48.4148518717947 43.3158323582019 86.4291346718179 83.4291346718179 101.106804201482 126.507183526521 119.157629840938 111.095372092640 93.6085391121348 46.2952109891401 40.2952109891401 10.1980390271856 0 29.7582588057466 33.2435401799852 37.0514267329171 41.3525893664384 36.4664627382460 59.2699712402287 69.3198468613496 45.5952300535577 55.2771523562464 47.7771523562464 39.9669026803398 63.4165626542963 29 77.3090066437461 83.4567444851244 92.5121296232618 97.2185864166500 100.380864076818 104.623504763938 108.746610389555 115.817678201421 111.697697359683 122.220802438854 119.157629840938 127.219887589237 124.766129629100 109.200609967160 105.665076061228 110.137212016227 120.137212016227 124.458205773023 128.930341728023 143.700803408820 147.786091196652 142.377764283456 144.605780885521 137.325670996241 145.403358226704 155.668038633820 151.636909759671 147.605780885521 151.141314791454 154.678291024820 172.824027115004
88.7428887802830 73.3371132868933 52.2205769567752 50.5558084603455 5 33.1948885511466 32.3664682534267 40.3568541216465 51.9542676263897 105.416058844392 149.799670870300 181.281910983281 191.550621456981 134.696286006540 70.5502344375003 67.2796708438072 99.2482288369880 107.234340670575 90.2278110122768 118.394921363070 167.345941441169 182.495236318844 196.550621456981 187.852411642121 169.824655264801 140.799670870300 148.232705243959 118.068651919567 111.152943321860 36.8293266176121 55.4729224151377 43.7682225044181 48.6333268002699 56.1996997754807 56.1969083135089 61.1969083135089 62.7802809049178 99.1655661882704 96.1655661882704 92.4813030059700 107.748228836988 89.3993710351919 81.3371132868933 63.8502803063882 55.6573917405156 49.6573917405156 19.5602197785610 29.7582588057466 0 10.4403065089106 14.2481930618425 15.2522076778169 6.70820393249937 29.5117124344821 39.5615880556030 19.4948483649362 31.8742667680761 24.9739186851718 17.1636690092652 40.0136770661260 58.7582588057466 53.9061210555758 53.6984856793778 62.7538708175152 67.4603276109034 70.6226052710717 74.8652459581910 78.9883515838087 86.0594193956742 81.9394385539360 92.4625436331070 89.3993710351919 97.4616287834904 95.0078708233538 79.4423511614138 75.9068172554811 80.3789532104807 90.3789532104807 94.6999469672764 99.1720829222760 113.942544603074 118.027832390905 112.619505477709 121.202895297351 113.922785408070 122.000472638534 132.265153045650 128.234024171500 124.202895297351 126.759956989191 131.275405436649 151.300389831150
86.0673210334800 83.2819622861647 62.1654259560466 40.7151538685307 8.48528137423857 22.7545820422360 35.8517496276653 43.8421354958850 55.4395490006282 108.901340218630 153.284952244539 184.767192357520 195.035902831220 138.181567380778 74.0355158117389 70.7649522180457 109.193077836259 104.558772923772 87.5522432654738 108.554266771255 170.831222815408 185.980517693082 200.035902831220 191.337693016360 173.309936639040 144.284952244539 151.717986618198 121.553933293806 114.638224696099 40.3146079918507 58.9582037893763 47.2535038786567 52.1186081745085 59.6849811497192 59.6821896877475 64.6821896877475 66.2655622791564 89.3249115964555 86.3249115964555 102.426152005241 117.693077836259 99.3442200344633 91.2819622861647 73.7951293056596 59.1426731147542 53.1426731147542 23.0455011527996 33.2435401799852 10.4403065089106 0 3.80788655293195 8.10904918645327 16.6530529317708 39.4565614337536 49.5064370548745 12.3516898735726 22.0336121762613 14.5336121762613 6.72336250035461 30.1730224743111 62.2435401799852 44.0654664637609 51.0229179325748 60.0783030707122 65.9092549655575 69.0715326257259 73.3141733128452 77.4372789384629 84.5083467503283 89.8935115574628 90.9114709877612 95.9114709877612 96.3634319507001 92.3323030765508 76.7667834146109 73.2312495086781 77.7033854636777 87.7033854636777 92.0243792204734 96.4965151754730 111.266976856271 115.352264644102 109.943937730906 111.362240705536 104.082130816256 112.159818046719 122.424498453835 118.393369579685 114.362240705536 117.897774611469 121.434750844834 141.459735239335
82.2594344805481 79.4740757332328 58.3575394031147 36.9072673155987 12.2931679271705 18.9466954893040 39.6596361805973 47.6500220488170 59.2474355535602 112.709226771562 157.092838797471 188.575078910451 198.843789384152 141.989453933710 77.8434023646708 74.5728387709777 105.385191283327 100.750886370840 83.7443567125419 104.746380218323 174.639109368339 189.788404246014 203.843789384152 195.145579569291 177.117823191972 148.092838797471 155.525873171130 125.361819846738 118.446111249031 44.1224945447826 62.7660903423083 51.0613904315886 55.9264947274404 63.4928677026512 63.4900762406795 68.4900762406795 70.0734488320884 85.5170250435236 82.5170250435236 98.6182654523094 113.885191283327 95.5363334815313 87.4740757332328 69.9872427527277 62.9505596676861 56.9505596676861 26.8533877057316 37.0514267329171 14.2481930618425 3.80788655293195 0 4.30116263352131 12.8451663788388 35.6486748808216 45.6985505019425 8.54380332064060 18.2257256233293 10.7257256233293 2.91547594742265 26.3651359213792 61.0782458367987 40.2575799108290 47.2150313796429 56.2704165177803 62.1013684126256 65.2636460727940 69.5062867599132 73.6293923855309 80.7004601973964 86.0856250045309 87.1035844348292 92.1035844348292 92.5555453977682 88.5244165236189 72.9588968616789 69.4233629557462 73.8954989107458 83.8954989107458 88.2164926675414 92.6886286225410 107.459090303339 111.544378091170 106.136051177974 107.554354152604 100.274244263324 108.351931493787 118.616611900903 114.585483026753 110.554354152604 114.089888058537 117.626864291902 137.651848686403
80.6557679474780 75.1729130997115 54.0563767695934 35.3036007825286 16.5943305606918 23.2478581228254 43.9607988141186 51.9511846823383 63.5485981870815 117.010389405084 161.394001430992 192.876241543973 203.144952017673 146.290616567232 82.1445649981921 78.8740014044990 101.084028649806 99.1472198377695 82.1406901794718 103.142713685253 178.940272001861 194.089566879536 208.144952017673 199.446742202813 181.418985825493 152.394001430992 159.827035804651 129.662982480259 122.747273882552 48.4236571783039 67.0672529758296 55.3625530651100 60.2276573609617 67.7940303361725 67.7912388742008 72.7912388742008 74.3746114656097 83.9133585104535 80.9133585104535 94.3171028187881 109.584028649806 91.2351708480100 83.1729130997115 65.6860801192064 67.2517223012074 61.2517223012074 31.1545503392529 41.3525893664384 15.2522076778169 8.10904918645327 4.30116263352131 0 8.54400374531753 31.3475122473003 41.3973878684212 4.24264068711929 16.6220590902592 15.0268882568506 7.21663858094396 24.7614693883091 59.4745793037287 38.6539133777589 45.6113648465728 54.6667499847102 60.4977018795555 63.6599795397239 67.9026202268432 72.0257258524608 79.0967936643263 83.7752383667541 85.4999179017592 90.4999179017592 90.9518788646981 86.9207499905488 71.3552303286089 67.8196964226761 72.2918323776757 82.2918323776757 86.6128261344714 91.0849620894710 105.855423770269 109.940711558100 104.532384644904 105.950687619534 98.6705777302535 106.748264960717 117.012945367833 112.981816493683 108.950687619534 112.486221525467 116.023197758832 136.048182153333
82.0346848477836 66.6289093543940 45.5123730242758 43.8476045278462 11.7082039324994 31.7918618681429 39.0746721859261 47.0650580541458 58.6624715588890 112.124262776891 156.507874802800 187.990114915780 198.258825389481 141.404489939039 77.2584383699997 73.9878747763065 92.5400249044886 100.526136738075 83.5196070797774 111.686717430571 174.054145373668 189.203440251343 203.258825389481 194.560615574620 176.532859197300 147.507874802800 154.940909176459 124.776855852067 117.861147254360 43.5375305501115 62.1811263476371 50.4764264369175 55.3415307327693 62.9079037079800 62.9051122460083 67.9051122460083 69.4884848374172 92.4573622557710 89.4573622557710 85.7730990734706 101.040024904489 82.6911671026925 74.6289093543940 57.1420763738888 62.3655956730150 56.3655956730150 26.2684237110604 36.4664627382460 6.70820393249937 16.6530529317708 12.8451663788388 8.54400374531753 0 22.8035085019828 32.8533841231037 12.7866444324368 25.1660628355768 23.5708920021681 15.7606423262615 33.3054731336266 65.4664627382460 47.1979171230764 46.9902817468784 56.0456668850158 60.7521236784040 63.9144013385724 68.1570420256917 72.2801476513093 79.3512154631748 75.2312346214366 85.7543397006076 82.6911671026925 90.7534248509911 88.2996668908545 72.7341472289145 69.1986133229817 73.6707492779813 83.6707492779813 87.9917430347770 92.4638789897766 107.234340670575 111.319628458406 105.911301545210 114.494691364852 107.214581475571 115.292268706035 125.556949113150 121.525820239001 117.494691364852 120.051753056692 124.567201504150 144.592185898651
59.2311763458009 43.8254008524112 22.7088645222931 34.4945373089398 34.5117124344821 54.5953703701257 61.8781806879089 48.7782911791144 56.4285981798639 110.669895059336 155.053507085244 186.535747198225 190.418132135862 130.685335185776 100.061946871982 63.2687200230428 69.7365164025059 77.7226282360924 60.7160985777947 102.483337616434 163.334990620405 181.362746997724 195.418132135862 193.106247857065 175.078491479745 146.053507085244 153.486541458903 147.580364354049 140.664655756342 66.3410390520942 73.8584832820502 62.1537833713306 57.0547638577378 61.4535359904243 52.1859574927446 57.1859574927446 62.2849770063374 83.1042950368646 80.1042950368646 62.9695905714879 78.2365164025059 59.8876586007098 51.8254008524112 34.3385678719061 45.4777535602452 39.4777535602452 49.0719322130432 59.2699712402287 29.5117124344821 39.4565614337536 35.6486748808216 31.3475122473003 22.8035085019828 0 10.0498756211209 35.5901529344196 47.9695713375595 46.3744005041509 38.5641508282443 51.8869812983896 86.6000912138092 37.9945373089398 24.1867732448956 33.2421583830331 37.9486151764212 41.1108928365896 45.3535335237089 49.4766391493266 56.5477069611920 52.4277261194538 62.9508311986249 59.8876586007098 67.9499163490083 65.4961583888717 49.9306387269317 46.3951048209990 50.8672407759986 60.8672407759986 65.1882345327942 69.6603704877938 84.4308321685917 88.5161199564228 83.1077930432269 92.9566508450230 98.0112016614344 106.088888891898 104.018908593322 99.9877797191722 95.9566508450230 97.2482445547093 101.991661044962 122.016645439463
51.4978313400711 33.7755252312903 12.6589889011722 44.5444129300607 44.5615880556030 64.6452459912465 63.5056620012010 38.7284155579935 46.3787225587430 100.620019438215 145.003631464123 176.485871577104 180.368256514741 120.635459564655 93.4902518202410 53.2188444019219 59.6866407813850 71.6080850878550 54.6015554295573 98.5943535410657 153.285114999284 171.312871376604 185.368256514741 183.056372235944 165.028615858624 136.003631464123 143.436665837782 141.008669302308 143.660230600295 69.3366138960463 63.8086076609293 52.1039077502097 47.0048882366169 51.4036603693034 42.1360818716237 47.1360818716237 52.2351013852165 73.5973844800307 70.5973844800307 52.9197149503670 68.1866407813850 49.8377829795889 41.7755252312903 24.2886922507852 35.4278779391243 29.4278779391243 59.1218078341641 69.3198468613496 39.5615880556030 49.5064370548744 45.6985505019425 41.3973878684212 32.8533841231037 10.0498756211209 0 45.6400285555405 58.0194469586804 56.4242761252718 48.6140264493651 61.9368569195105 96.6499668349301 48.0444129300607 34.2366488660165 33.7296914501456 27.8987395553003 31.0610172154687 35.3036579025880 39.4267635282057 46.4978313400711 42.3778504983329 52.9009555775040 49.8377829795889 57.9000407278874 57.7628133831420 43.8160955786943 40.2805616727616 44.7526976277612 54.7526976277612 59.0736913845569 63.5458273395564 78.3162890203544 82.4015768081855 76.9932498949895 86.8421076967856 94.1222175860661 102.199904816530 97.9043654450842 93.8732365709349 89.8421076967856 91.1337014064720 95.8771178967246 114.503484369868
76.4131272603587 79.4155537868308 58.2990174567126 31.0609600954094 20.8369712478111 27.4904988099446 48.2034395012379 56.1938253694576 67.7912388742008 121.253030092203 165.636642118111 197.118882231092 207.387592704792 150.533257254351 86.3872056853114 83.1166420916183 105.326669336925 94.9045791506502 77.8980494923525 98.9000729981338 183.182912688980 198.332207566655 212.387592704792 203.689382889932 185.661626512612 156.636642118111 164.069676491771 133.905623167378 126.989914569671 52.6662978654232 71.3098936629489 59.6051937522292 64.4702980480810 72.0366710232918 72.0338795613201 77.0338795613201 78.6172521527290 79.6707178233342 76.6707178233342 94.3483873529979 113.826669336925 95.4778115351293 87.4155537868308 69.9287208063256 71.4943629883267 65.4943629883267 35.3971910263722 45.5952300535577 19.4948483649362 12.3516898735726 8.54380332064060 4.24264068711929 12.7866444324368 35.5901529344196 45.6400285555405 0 12.3794184031399 19.2695289439699 11.4592792680632 20.5188287011898 55.2319386166094 34.4112726906396 41.3687241594535 50.4241092975909 56.2550611924362 59.4173388526046 63.6599795397239 67.7830851653416 74.8541529772070 80.2393177843415 81.2572772146399 86.2572772146399 86.7092381775788 82.6781093034295 67.1125896414896 63.5770557355568 68.0491916905564 78.0491916905564 82.3701854473521 86.8423214023517 101.612783083150 105.698070870981 100.289743957785 101.708046932415 94.4279370431342 102.505624273598 112.770304680713 108.739175806564 104.708046932415 108.243580838348 111.780557071713 131.805541466214
64.0337088572188 75.5322171773225 59.1153934434244 18.6815416922694 30.5188935504998 31.3414692177881 57.8853618039266 65.8757476721463 77.4731611768895 130.934952394892 175.318564420800 206.800804533781 217.069515007481 160.215179557040 96.0691279880001 92.7985643943070 93.3867880371601 82.5251607475103 65.5186310892126 86.5206545949939 192.864834991669 208.014129869344 222.069515007481 213.371305192621 195.343548815301 166.318564420800 173.751598794459 143.587545470067 136.671836872360 62.3482201681119 80.9918159656376 69.2871160549179 74.1522203507697 81.7185933259805 81.7158018640088 86.7158018640088 88.2991744554177 67.2912994201943 64.2912994201943 81.9689689498579 101.886788037160 83.5379302353640 75.4756724870655 66.0453841968173 81.1762852910154 75.1762852910154 45.0791133290609 55.2771523562464 31.8742667680761 22.0336121762613 18.2257256233293 16.6220590902592 25.1660628355768 47.9695713375595 58.0194469586804 12.3794184031399 0 7.50000000000000 15.3102496759067 8.13941029804985 42.8525202134694 22.0318542874997 28.9893057563136 38.0446908944510 43.8756427892963 47.0379204494647 51.2805611365839 55.4036667622016 62.4747345740671 67.8598993812016 68.8778588114999 73.8778588114999 74.3298197744389 70.2986909002896 54.7331712383496 51.1976373324169 55.6697732874165 65.6697732874165 69.9907670442121 74.4629029992117 89.2333646800096 93.3186524678408 87.9103255546448 89.3286285292748 82.0485186399943 90.1262058704579 100.390886277573 96.3597574034241 92.3286285292748 95.8641624352076 99.4011386685732 119.426123063074
71.5337088572188 83.0322171773225 66.6153934434244 26.1815416922694 23.0188935504998 23.8414692177881 50.3853618039266 58.3757476721463 69.9731611768895 123.434952394892 167.818564420800 199.300804533781 209.569515007481 152.715179557040 88.5691279880001 85.2985643943070 100.886788037160 90.0251607475103 73.0186310892126 94.0206545949939 185.364834991669 200.514129869344 214.569515007481 205.871305192621 187.843548815301 158.818564420800 166.251598794459 136.087545470067 129.171836872360 54.8482201681119 73.4918159656376 61.7871160549179 66.6522203507697 74.2185933259805 74.2158018640088 79.2158018640088 80.7991744554177 74.7912994201943 71.7912994201943 89.4689689498579 109.386788037160 91.0379302353640 82.9756724870655 73.5453841968173 73.6762852910154 67.6762852910154 37.5791133290609 47.7771523562464 24.9739186851718 14.5336121762613 10.7257256233293 15.0268882568506 23.5708920021681 46.3744005041509 56.4242761252718 19.2695289439699 7.50000000000000 0 7.81024967590665 15.6394102980499 50.3525202134694 29.5318542874997 36.4893057563136 45.5446908944510 51.3756427892963 54.5379204494647 58.7805611365839 62.9036667622016 69.9747345740671 75.3598993812016 76.3778588114999 81.3778588114999 81.8298197744389 77.7986909002896 62.2331712383496 58.6976373324169 63.1697732874165 73.1697732874165 77.4907670442121 81.9629029992117 96.7333646800096 100.818652467841 95.4103255546448 96.8286285292748 89.5485186399943 97.6262058704579 107.890886277573 103.859757403424 99.8286285292748 103.364162435208 106.901138668573 126.926123063074
79.3439585331254 82.3895516806554 61.2730153505373 33.9917913681761 15.2086438745932 16.0312195418814 42.5751121280199 50.5654979962396 62.1629115009828 115.624702718985 160.008314744893 191.490554857874 201.759265331574 144.904929881133 80.7588783120935 77.4883147184003 108.300667230750 97.8354104234169 80.8288807651192 101.830904270901 177.554585315762 192.703880193437 206.759265331574 198.061055516714 180.033299139394 151.008314744893 158.441349118553 128.277295794160 121.361587196453 47.0379704922053 65.6815662897309 53.9768663790113 58.8419706748631 66.4083436500738 66.4055521881021 71.4055521881021 72.9889247795110 82.6015490961009 79.6015490961009 97.2792186257646 116.800667230750 98.4518094289540 90.3895516806554 72.9027187001503 65.8660356151088 59.8660356151088 29.7688636531542 39.9669026803398 17.1636690092652 6.72336250035461 2.91547594742265 7.21663858094396 15.7606423262615 38.5641508282443 48.6140264493652 11.4592792680632 15.3102496759067 7.81024967590665 0 23.4496599739565 58.1627698893761 37.3421039634063 44.2995554322202 53.3549405703576 59.1858924652029 62.3481701253713 66.5908108124906 70.7139164381083 77.7849842499737 83.1701490571082 84.1881084874066 89.1881084874066 89.6400694503455 85.6089405761962 70.0434209142563 66.5078870083235 70.9800229633231 80.9800229633231 85.3010167201188 89.7731526751184 104.543614355916 108.628902143747 103.220575230551 104.638878205181 97.3587683159009 105.436455546365 115.701135953480 111.670007079331 107.638878205181 111.174412111114 114.711388344480 134.736372738981
62.7446111543992 74.2431194745029 57.8262957406048 17.3924439894498 38.6583038485497 39.4808795158379 66.0247721019764 74.0151579701961 85.6125714749393 139.074362692942 183.457974718850 214.940214831831 225.208925305531 167.477589611960 104.208538286050 100.060974449227 92.0976903343405 81.2360630446907 64.2295333863930 78.3812442969440 200.127245046589 216.153540167394 230.208925305531 221.510715490671 203.482959113351 174.457974718850 181.891009092509 151.726955768117 144.811247170410 70.4876304661618 89.1312262636874 77.4265263529678 82.2916306488196 89.8580036240304 89.8552121620586 94.8552121620586 96.4385847534675 66.0022017173747 63.0022017173746 80.6798712470383 100.597690334341 82.2488325325444 74.1865747842459 64.7562864939977 89.3156955890653 83.3156955890653 53.2185236271107 63.4165626542963 40.0136770661260 30.1730224743111 26.3651359213792 24.7614693883091 33.3054731336266 51.8869812983896 61.9368569195105 20.5188287011898 8.13941029804985 15.6394102980499 23.4496599739565 0 34.7131099154196 13.8924439894498 27.7002080534940 36.7555931916314 42.5865450864767 45.7488227466451 49.9914634337643 54.1145690593820 61.1856368712475 66.5708016783820 67.5887611086803 72.5887611086803 73.0407220716193 69.0095931974700 53.4440735355300 49.9085396295973 54.3806755845969 64.3806755845969 68.7016693413926 73.1738052963921 87.9442669771900 92.0295547650212 86.6212278518252 81.1892182312250 73.9091083419444 81.9867955724080 92.2514759795235 88.2203471053742 84.1892182312250 87.7247521371577 91.2617283705233 111.286712765024
97.4577210698187 108.956229389922 92.5394056560244 52.1055539048694 53.7582588057466 54.0641077745041 41.9020197067108 59.9946733702710 70.9941042570662 115.185525515417 159.569137541325 191.051377654306 201.320088128006 150.914229564826 80.0857858907843 83.4976144020929 126.810800249760 115.949172960110 98.9426433018125 113.094354212364 183.563884999455 192.264702989869 206.320088128006 197.621878313146 179.594121935826 150.569137541325 158.002171914984 119.881517496619 110.394684516114 36.0710678118655 65.0084738684218 53.3037739577022 58.4027934712949 65.9691664465057 75.2367449441855 77.4148518717947 72.3158323582019 100.715311632794 97.7153116327942 115.392981162458 135.310800249760 116.961942447964 108.899684699665 99.4693964094173 75.2952109891401 69.2952109891401 39.1980390271856 29 58.7582588057466 62.2435401799852 61.0782458367987 59.4745793037286 65.4664627382460 86.6000912138092 96.6499668349301 55.2319386166094 42.8525202134694 50.3525202134694 58.1627698893761 34.7131099154196 0 48.6055539048694 62.4133179689135 71.4687031070509 77.2996550018962 80.4619326620646 84.7045733491839 88.8276789748016 95.8987467866670 101.283911593802 102.301871024100 107.301871024100 107.753831987039 103.722703112890 88.1571834509496 84.6216495450169 89.0937855000164 99.0937855000164 103.414779256812 107.886915211812 122.657376892610 126.742664680441 121.334337767245 115.902328146645 108.622218257364 116.699905487828 126.964585894943 122.933457020794 118.902328146645 122.437862052577 125.974838285943 145.999822680444
48.8521671649494 60.3506754850531 43.9338517511550 3.50000000000000 52.5507478379995 53.3733235052877 79.9172160914262 86.7728284880542 93.3666812150673 147.607978094539 191.991590120447 223.473830233428 213.317942572597 153.585145622510 118.100982275500 86.1685304597777 78.2052463448907 67.3436190552409 50.3370893969432 64.4888003074942 186.234801057139 204.262557434459 218.317942572597 230.044330892268 212.016574514948 182.991590120447 190.424624494107 165.619399757567 158.703691159860 84.3800744556116 103.023670253137 91.3189703424176 95.0493011666776 98.3916190256278 89.1240405279480 84.1240405279480 89.2230600415408 52.1097577279248 49.1097577279248 66.7874272575885 86.7052463448907 68.3563885430946 60.2941307947961 50.8638425045479 83.4722908691850 77.4722908691850 67.1109676165605 77.3090066437461 53.9061210555758 44.0654664637609 40.2575799108290 38.6539133777589 47.1979171230764 37.9945373089398 48.0444129300607 34.4112726906396 22.0318542874997 29.5318542874997 37.3421039634063 13.8924439894498 48.6055539048694 0 13.8077640640442 22.8631492021816 28.6941010970269 31.8563787571953 36.0990194443145 40.2221250699322 47.2931928817977 52.6783576889322 53.6963171192305 58.6963171192305 59.1482780821695 55.1171492080202 39.5516295460802 36.0160956401475 40.4882315951471 50.4882315951471 54.8092253519427 59.2813613069423 74.0518229877402 78.1371107755713 72.7287838623754 67.2967742417752 60.0166643524946 68.0943515829582 78.3590319900737 74.3279031159244 70.2967742417752 73.8323081477079 77.3692843810735 97.3942687755743
35.0444031009052 46.5429114210089 30.1260876871109 10.3077640640442 58.6984856793778 60.3307749741016 86.0649539328045 72.9650644240100 80.6153714247595 134.856668304231 179.240280330139 210.722520443120 214.604905380758 154.872108430671 124.248720116878 87.4554932679385 64.3974822808466 53.5358549911967 36.5293253328990 78.2965643715384 187.521763865300 205.549520242620 219.604905380758 217.293021101960 199.265264724640 170.240280330139 177.673314703799 171.767137598945 164.851429001238 90.5278122969899 98.0452565269458 86.3405566162262 81.2415371026334 85.6403092353200 76.3727307376402 81.3727307376402 86.4717502512330 58.9175217919690 55.9175217919690 65.6871011400856 72.8974822808466 54.5486244790505 46.4863667307519 37.0560784405038 69.6645268051409 63.6645268051409 73.2587054579388 83.4567444851244 53.6984856793778 51.0229179325748 47.2150313796429 45.6113648465728 46.9902817468784 24.1867732448956 34.2366488660165 41.3687241594535 28.9893057563136 36.4893057563136 44.2995554322202 27.7002080534940 62.4133179689135 13.8077640640442 0 9.05538513813742 14.8863370329827 18.0486146931511 22.2912553802704 26.4143610058880 33.4854288177535 38.8705936248880 39.8885530551864 44.8885530551864 45.3405140181253 41.3093851439760 25.7438654820361 22.2083315761033 26.6804675311029 36.6804675311029 41.0014612878986 45.4735972428982 60.2440589236961 64.3293467115272 58.9210197983312 68.7698776001273 73.8244284165388 81.9021156470024 79.8321353484259 75.8010064742766 71.7698776001273 73.0614713098137 77.8048878000663 97.8298721945670
25.9890179627678 37.4875262828715 21.0707025489735 19.3631492021816 67.7538708175152 69.3861601122390 95.1203390709419 72.4581070081391 74.4862383837652 128.727535263237 173.111147289145 204.593387402126 208.475772339763 148.742975389677 124.725044920646 81.3263602269442 55.3420971427092 44.4804698530593 27.4739401947616 71.4667383062700 181.392630824306 199.420387201626 213.475772339763 211.163888060966 193.136131683646 164.111147289145 171.544181662804 172.243462402713 173.906814139375 99.5831974351273 95.0434007613347 85.8335992003553 80.7345796867625 79.5111761943257 70.2435976966460 75.2435976966460 80.3426172102387 67.9729069301064 64.9729069301064 56.6317160019482 63.8420971427092 45.4932393409131 37.4309815926145 28.0006933023664 63.5353937641466 63.1575693892700 82.3140905960762 92.5121296232618 62.7538708175152 60.0783030707122 56.2704165177803 54.6667499847102 56.0456668850158 33.2421583830331 33.7296914501456 50.4241092975909 38.0446908944510 45.5446908944510 53.3549405703576 36.7555931916314 71.4687031070509 22.8631492021816 9.05538513813742 0 5.83095189484530 8.99322955501368 13.2358702421330 17.3589758677506 24.4300436796161 29.8152084867506 30.8331679170489 35.8331679170490 36.2851288799879 32.2540000058386 16.6884803438986 13.1529464379659 17.6250823929655 27.6250823929655 31.9460761497612 36.4182121047608 51.1886737855587 55.2739615733898 49.8656346601938 59.7144924619899 66.9946023512704 75.0722895817340 70.7767502102885 66.7456213361392 62.7144924619899 64.0060861716763 68.7495026619288 88.7744870564296
23.5990917847708 31.6565743880262 15.2397506541282 25.1941010970269 72.4603276109034 75.2171120070843 91.4044015565014 66.6271551132938 68.6552864889199 122.896583368392 167.280195394300 198.762435507281 202.644820444918 142.912023494832 118.894093025801 75.4954083320989 49.5111452478639 43.7093455325547 26.7028158742570 70.6956139857654 175.561678929461 193.589435306781 207.644820444918 205.332936166121 187.305179788801 158.280195394300 165.713229767959 166.412510507868 171.558970155595 97.2353534513467 89.2124488664894 80.0026473055100 74.9036277919172 73.6802242994804 64.4126458018007 69.4126458018007 74.5116653153934 71.4784336367666 68.4784336367666 50.8007641071029 58.0111452478639 39.6622874460678 31.6000296977692 22.1697414075211 57.7044418693013 57.3266174944247 87.0205473894644 97.2185864166500 67.4603276109034 65.9092549655575 62.1013684126256 60.4977018795555 60.7521236784040 37.9486151764212 27.8987395553003 56.2550611924362 43.8756427892963 51.3756427892963 59.1858924652029 42.5865450864767 77.2996550018962 28.6941010970269 14.8863370329827 5.83095189484530 0 3.16227766016838 7.40491834728766 11.5280239729053 18.5990917847708 23.9842565919053 25.0022160222036 30.0022160222036 33.8952027019909 29.8640738278416 15.9173560233940 12.3818221174613 16.8539580724608 26.8539580724608 31.1749518292565 35.6470877842561 50.4175494650540 54.5028372528852 49.0945103396892 58.9433681414853 66.2234780307658 74.3011652612294 70.0056258897838 65.9744970156346 61.9433681414853 63.2349618511716 67.9783783414242 88.0033627359250
20.4368141246024 28.4942967278578 18.4020283142966 28.3563787571952 75.6226052710717 78.3793896672527 94.5666792166698 69.7894327734622 71.8175641490883 126.058861028560 170.442473054468 201.924713167449 205.807098105086 146.074301155000 122.056370685969 78.6576859922673 46.3488675876955 40.5470678723863 23.5405382140886 67.5333363255970 178.723956589629 196.751712966949 210.807098105086 208.495213826289 190.467457448969 161.442473054468 168.875507428127 169.574788168036 174.721247815763 100.397631111515 92.3747265266578 83.1649249656784 78.0659054520856 76.8425019596488 67.5749234619690 72.5749234619690 77.6739429755618 68.3161559765982 65.3161559765982 47.6384864469345 54.8488675876955 36.5000097858994 28.4377520376008 19.0074637473527 60.8667195294697 60.4888951545930 90.1828250496328 100.380864076818 70.6226052710717 69.0715326257259 65.2636460727940 63.6599795397239 63.9144013385724 41.1108928365896 31.0610172154687 59.4173388526046 47.0379204494647 54.5379204494647 62.3481701253713 45.7488227466451 80.4619326620646 31.8563787571952 18.0486146931511 8.99322955501368 3.16227766016838 0 4.24264068711929 8.36574631273695 15.4368141246024 20.8219789317369 21.8399383620353 26.8399383620353 30.7329250418225 26.7017961676733 12.7550783632256 9.21954445729289 13.6916804122925 23.6916804122925 28.0126741690882 32.4848101240877 47.2552718048857 51.3405595927168 45.9322326795208 55.7810904813169 63.0612003705974 71.1388876010610 66.8433482296154 62.8122193554662 58.7810904813169 60.0726841910033 64.8161006812558 84.8410850757566
16.1941734374831 24.2516560407385 22.6446690014158 32.5990194443145 79.8652459581910 82.6220303543720 98.8093199037891 74.0320734605815 76.0602048362076 130.301501715679 174.685113741588 206.167353854568 210.049738792206 150.316941842119 126.299011373089 82.9003266793865 42.1062269005762 41.8398953107135 26.5073258574148 68.8261637639242 182.966597276748 200.994353654068 215.049738792206 212.737854513408 194.710098136088 165.685113741588 173.118148115247 173.817428855156 178.963888502883 104.640271798634 96.6173672137771 87.4075656527977 82.3085461392049 81.0851426467681 71.8175641490883 76.8175641490883 81.9165836626811 64.0735152894789 61.0735152894789 43.3958457598152 50.6062269005762 32.2573690987801 24.1951113504816 14.7648230602334 65.1093602165889 64.7315358417123 94.4254657367521 104.623504763938 74.8652459581910 73.3141733128452 69.5062867599133 67.9026202268432 68.1570420256917 45.3535335237089 35.3036579025880 63.6599795397239 51.2805611365839 58.7805611365839 66.5908108124906 49.9914634337643 84.7045733491839 36.0990194443145 22.2912553802704 13.2358702421330 7.40491834728766 4.24264068711929 0 4.12310562561766 11.1941734374831 16.5793382446176 17.5972976749160 22.5972976749160 26.4902843547032 22.4591554805540 8.65079819468637 12.1863321006191 16.6584680556187 22.5972976749160 29.3055016074154 33.7776375624149 48.5480992432129 52.6333870310440 47.2250601178480 57.0739179196441 64.3540278089246 72.4317150393882 68.1361756679426 64.1050467937934 60.0739179196441 61.3655116293305 66.1089281195830 86.1339125140838
12.0710678118655 21.0585578860426 26.7677746270335 36.7221250699322 83.9883515838087 86.7451359799897 102.932425529407 78.1551790861991 80.1833104618253 134.424607341297 178.808219367205 210.290459480186 214.172844417823 154.440047467737 130.422116998706 87.0234323050042 37.9831212749585 37.7167896850958 22.3842202317971 64.7030581383065 187.089702902366 205.117459279686 219.172844417823 216.860960139026 198.833203761706 169.808219367205 177.241253740864 177.940534480773 183.086994128500 108.763377424252 100.740472839395 91.5306712784153 86.4316517648226 85.2082482723857 75.9406697747060 80.9406697747060 86.0396892882988 60.8804171347829 57.8804171347829 40.2027476051193 46.4831212749585 28.1342634731624 20.0720057248639 18.8879286858511 69.2324658422066 68.8546414673300 98.5485713623697 108.746610389555 78.9883515838087 77.4372789384629 73.6293923855309 72.0257258524608 72.2801476513093 49.4766391493266 39.4267635282057 67.7830851653416 55.4036667622016 62.9036667622016 70.7139164381082 54.1145690593820 88.8276789748016 40.2221250699322 26.4143610058880 17.3589758677506 11.5280239729053 8.36574631273695 4.12310562561766 0 7.07106781186548 12.4562326190000 13.4741920492983 18.4741920492983 22.3671787290856 18.3360498549363 4.52769256906871 8.06322647500145 12.5353624300010 18.4741920492983 25.1823959817977 29.6545319367973 44.4249936175952 48.5102814054263 43.1019544922303 52.9508122940264 60.2309221833069 68.3086094137705 64.0130700423250 59.9819411681757 55.9508122940264 57.2424060037128 61.9858224939654 82.0108068884662
5 13.9874900741771 33.8388424388990 43.7931928817977 91.0594193956742 93.8162037918551 110.003493341272 85.2262468980646 87.2543782736907 141.495675153162 185.879287179071 217.361527292051 215.017534167589 155.284737217503 137.493184810572 87.8681220547703 30.9120534630931 30.6457218732303 22.5834641249318 57.6319903264411 187.934392652132 205.962149029452 220.017534167589 223.932027950891 205.904271573571 176.879287179071 184.312321552730 185.011602292639 190.158061940366 115.834445236117 107.811540651260 98.6017390902808 93.5027195766880 92.2793160842512 83.0117375865715 85.8236321229407 90.9226516365334 53.8093493229175 50.8093493229175 33.1316797932538 39.4120534630931 21.0631956612970 13.0009379129984 23.4743230546823 76.3035336540721 75.9257092791955 105.619639174235 115.817678201421 86.0594193956742 84.5083467503283 80.7004601973964 79.0967936643263 79.3512154631748 56.5477069611920 46.4978313400711 74.8541529772070 62.4747345740671 69.9747345740671 77.7849842499737 61.1856368712475 95.8987467866671 47.2931928817977 33.4854288177535 24.4300436796161 18.5990917847708 15.4368141246024 11.1941734374831 7.07106781186548 0 5.38516480713450 6.40312423743285 11.4031242374328 15.2961109172201 11.2649820430708 11.5987603809342 15.1342942868669 19.6064302418665 11.4031242374328 18.1113281699322 22.5834641249318 37.3539258057297 41.4392135935608 36.0308866803649 45.8797444821610 53.1598543714415 61.2375416019050 56.9420022304595 52.9108733563102 48.8797444821610 50.1713381918473 54.9147546820999 74.9397390766007
10.3851648071345 8.60232526704263 29.7188615971608 49.1783576889322 86.9394385539360 99.2013685989896 105.883512499534 81.1062660563264 83.1343974319525 137.375694311424 181.759306337333 213.241546450313 209.632369360455 149.899572410368 133.373203968834 82.4829572476358 25.5268886559586 36.0308866803649 27.9686289320663 63.0171551335756 182.549227844998 200.576984222317 214.632369360455 219.812047109153 201.784290731833 172.759306337333 180.192340710992 180.891621450901 186.038081098627 111.714464394379 103.691559809522 94.4817582485426 89.3827387349498 88.1593352425130 78.8917567448333 80.4384673158062 85.5374868293989 48.4241845157830 45.4241845157830 27.7465149861193 34.0268886559586 15.6780308541625 7.61577310586391 18.0891582475478 72.1835528123339 71.8057284374573 101.499658332497 111.697697359683 81.9394385539360 89.8935115574628 86.0856250045309 83.7752383667541 75.2312346214366 52.4277261194538 42.3778504983329 80.2393177843415 67.8598993812016 75.3598993812016 83.1701490571082 66.5708016783820 101.283911593802 52.6783576889322 38.8705936248880 29.8152084867506 23.9842565919053 20.8219789317369 16.5793382446176 12.4562326190000 5.38516480713450 0 11.7882890445674 15.6780308541625 20.6812757243546 16.6501468502053 16.9839251880687 20.5194590940014 24.9915950490010 16.7882890445674 23.4964929770667 27.9686289320663 42.7390906128642 46.8243784006953 41.4160514874994 51.2649092892955 58.5450191785760 66.6227064090395 62.3271670375940 58.2960381634447 54.2649092892955 55.5565029989818 60.2999194892344 80.3249038837352
11.4031242374328 20.3906143116100 40.2419666763318 50.1963171192305 97.4625436331070 100.219328029288 116.406617578705 91.6293711354975 93.6575025111236 147.898799390595 192.282411416504 223.764651529484 221.420658405022 161.687861454936 143.896309048005 94.2712462922031 30.9733732983932 29.8574896053321 28.9865883623646 56.8437580585429 194.337516889565 212.365273266885 226.420658405022 230.335152188324 212.307395811004 183.282411416504 190.715445790163 191.414726530072 196.561186177798 122.237569473550 114.214664888693 105.004863327714 99.9058438141209 98.6824403216840 89.4148618240043 92.2267563603735 97.3257758739663 60.2124735603503 57.2124735603503 39.5348040306866 39.4733732983932 21.1245154965971 13.0622577482986 29.8774472921151 82.7066578915049 82.3288335166283 112.022763411668 122.220802438854 92.4625436331070 90.9114709877612 87.1035844348292 85.4999179017592 85.7543397006076 62.9508311986249 52.9009555775040 81.2572772146399 68.8778588114999 76.3778588114999 84.1881084874066 67.5887611086803 102.301871024100 53.6963171192305 39.8885530551864 30.8331679170490 25.0022160222036 21.8399383620353 17.5972976749160 13.4741920492983 6.40312423743285 11.7882890445674 0 5 10.1344066820161 6.10327780786685 18.0018846183670 21.5374185242998 26.0095544792994 17.8062484748657 24.5144524073651 23.0222021235555 36.5656935378315 40.6509813256626 35.2426544124667 45.0915122142628 52.3716221035433 60.4493093340069 56.1537699625613 52.1226410884120 48.0915122142628 49.3831059239491 54.1265224142017 74.1515068087025
16.4031242374329 16.0622577482986 37.1787940784167 55.1963171192305 94.3993710351919 105.219328029288 113.343444980790 88.5661985375823 90.5943299132085 144.835626792680 189.219238818588 220.701478931569 217.092301841711 157.359504891624 140.833136450090 89.9428897288917 25.9733732983932 27.7853406716146 33.9865883623646 54.7716091248253 190.009160326253 208.036916703573 222.092301841711 227.271979590409 209.244223213089 180.219238818588 187.652273192248 188.351553932157 193.498013579883 119.174396875635 111.151492290778 101.941690729799 96.8426712162057 95.6192677237689 86.3516892260892 87.8983997970621 92.9974193106549 55.8841169970389 52.8841169970389 35.2064474673752 34.4733732983932 16.1245154965971 8.06225774829855 25.5490907288037 79.6434852935898 79.2656609187132 108.959590813753 119.157629840939 89.3993710351919 95.9114709877612 92.1035844348292 90.4999179017592 82.6911671026925 59.8876586007098 49.8377829795889 86.2572772146399 73.8778588114999 81.3778588114999 89.1881084874066 72.5887611086803 107.301871024100 58.6963171192305 44.8885530551864 35.8331679170490 30.0022160222036 26.8399383620353 22.5972976749160 18.4741920492983 11.4031242374328 15.6780308541625 5 0 8.06225774829855 11.1032778078669 23.0018846183670 26.5374185242998 31.0095544792994 22.8062484748657 29.5144524073651 28.0222021235555 34.4935446041139 38.5788323919451 33.1705054787491 43.0193632805452 50.2994731698257 58.3771604002893 54.0816210288437 50.0504921546945 46.0193632805452 47.3109569902315 52.0543734804841 72.0793578749849
10.2961109172201 24.1245154965971 45.2410518267152 55.6482780821695 102.461628783490 105.671288992227 121.405702729088 96.6284562858809 98.6565876615070 152.897884540979 197.281496566887 228.763736679868 225.154559590009 165.421762639923 148.895394198388 98.0051474771902 34.0356310466918 19.7230829233160 27.8795750421519 46.7093513765267 198.071418074552 216.099174451872 230.154559590009 235.334237338708 217.306480961388 188.281496566887 195.714530940546 196.413811680455 201.560271328182 127.236654623934 119.213750039077 110.003948478097 104.904928964504 103.681525472067 94.4139469743877 95.9606575453606 101.059677058953 63.9463747453374 60.9463747453374 43.2687052156738 42.5356310466918 24.1867732448956 16.1245154965971 33.6113484771022 87.7057430418884 87.3279186670117 117.021848562051 127.219887589237 97.4616287834904 96.3634319507001 92.5555453977682 90.9518788646981 90.7534248509911 67.9499163490083 57.9000407278874 86.7092381775788 74.3298197744389 81.8298197744389 89.6400694503455 73.0407220716193 107.753831987039 59.1482780821695 45.3405140181253 36.2851288799879 33.8952027019909 30.7329250418225 26.4902843547032 22.3671787290856 15.2961109172201 20.6812757243546 10.1344066820161 8.06225774829855 0 4.03112887414928 19.5966485360892 23.1321824420220 26.6992351546530 16.6992351546530 23.4074390871523 20.9500531898379 26.4312868558154 30.5165746436465 25.1082477304505 34.9571055322466 42.2372154215272 50.3149026519907 46.0193632805452 41.9882344063959 37.9571055322466 39.2486992419330 43.9921157321856 64.0171001266864
6.26498204307083 25.2524721172480 45.1038244819698 51.6171492080202 100.007870823354 101.640160118078 121.268475384343 96.4912289411354 98.5193603167616 152.760657196233 197.144269222142 228.626509335122 226.282516210660 166.549719260574 148.758166853643 99.1331040978411 37.0766511062601 23.7542117974653 23.8484461680026 50.7404802506760 199.199374695203 217.227131072523 231.282516210660 235.197009993962 217.169253616642 188.144269222142 195.577303595801 196.276584335710 201.423043983436 127.099427279188 119.076522694331 109.866721133352 104.767701619759 103.544298127322 94.2767196296423 97.0886141660115 102.187633679604 65.0743313659883 62.0743313659883 44.3966618363246 45.5766511062601 27.2277933044640 19.1655355561654 34.7393050977531 87.5685156971429 87.1906913222663 114.568090601915 124.766129629100 95.0078708233538 92.3323030765508 88.5244165236189 86.9207499905488 88.2996668908544 65.4961583888717 57.7628133831420 82.6781093034295 70.2986909002896 77.7986909002896 85.6089405761963 69.0095931974700 103.722703112890 55.1171492080202 41.3093851439760 32.2540000058386 29.8640738278416 26.7017961676733 22.4591554805540 18.3360498549363 11.2649820430708 16.6501468502053 6.10327780786685 11.1032778078669 4.03112887414928 0 15.5655196619400 19.1010535678727 22.6681062805037 12.6681062805037 19.3763102130031 16.9189243156886 30.4624157299647 34.5477035177958 29.1393766045998 38.9882344063959 46.2683442956764 54.3460315261400 50.0504921546945 46.0193632805452 41.9882344063959 43.2798281160823 48.0232446063348 68.0482290008356
9.30053761886914 25.5862504551113 31.1571066775222 36.0516295460802 84.4423511614138 86.0746404561377 107.321757579895 82.5445111366878 84.5726425123139 138.813939391786 183.197551417694 214.679791530675 218.562176468312 158.829379518226 134.811449049195 91.4127643554929 42.5108138440273 34.8630573210261 17.8565276627284 61.8493257742368 191.479034952855 209.506791330175 223.562176468312 221.250292189515 203.222535812195 174.197551417694 181.630585791353 182.329866531262 187.476326178989 113.152709474741 105.129804889883 95.9200033289040 90.8209838153112 89.5975803228744 80.3300018251947 85.3300018251947 90.4290213387874 65.4081097038517 62.4081097038517 44.7304401741880 51.0108138440272 32.6619560422312 24.5996982939326 23.4156212549198 73.6217978926953 73.2439735178187 99.0025709399749 109.200609967160 79.4423511614138 76.7667834146109 72.9588968616789 71.3552303286088 72.7341472289145 49.9306387269317 43.8160955786943 67.1125896414896 54.7331712383496 62.2331712383496 70.0434209142563 53.4440735355300 88.1571834509496 39.5516295460802 25.7438654820361 16.6884803438986 15.9173560233940 12.7550783632256 8.65079819468637 4.52769256906871 11.5987603809342 16.9839251880687 18.0018846183670 23.0018846183670 19.5966485360892 15.5655196619400 0 3.53553390593274 8.00766986093232 15.7036618563020 22.3286636177280 26.8007995727276 41.5712612535255 45.6565490413566 40.2482221281606 50.0970799299567 57.3771898192373 65.4548770497008 61.1593376782553 57.1282088041060 53.0970799299567 54.3886736396431 59.1320901298957 79.1570745243965
12.8360715248019 29.1217843610441 27.6215727715894 32.5160956401475 80.9068172554811 82.5391065502049 103.786223673963 79.0089772307551 81.0371086063812 135.278405485853 179.662017511761 211.144257624742 215.026642562379 155.293845612293 131.275915143262 87.8772304495601 46.0463477499600 31.3275234150934 14.3209937567957 58.3137918683041 187.943501046922 205.971257424242 220.026642562379 217.714758283582 199.687001906262 170.662017511761 178.095051885420 178.794332625329 183.940792273056 109.617175568808 101.594270983951 92.3844694229713 87.2854499093785 86.0620464169416 76.7944679192619 81.7944679192619 86.8934874328547 68.9436436097844 65.9436436097844 48.2659740801207 54.5463477499600 36.1974899481639 28.1352321998653 26.9511551608525 70.0862639867626 69.7084396118859 95.4670370340421 105.665076061228 75.9068172554811 73.2312495086781 69.4233629557462 67.8196964226761 69.1986133229817 46.3951048209990 40.2805616727616 63.5770557355568 51.1976373324169 58.6976373324169 66.5078870083235 49.9085396295973 84.6216495450169 36.0160956401475 22.2083315761033 13.1529464379659 12.3818221174613 9.21954445729289 12.1863321006191 8.06322647500145 15.1342942868669 20.5194590940014 21.5374185242998 26.5374185242998 23.1321824420220 19.1010535678727 3.53553390593274 0 4.47213595499958 14.4721359549996 18.7931297117953 23.2652656667948 38.0357273475928 42.1210151354239 36.7126882222279 46.5615460240240 53.8416559133045 61.9193431437681 57.6238037723226 53.5926748981733 49.5615460240240 50.8531397337104 55.5965562239629 75.6215406184637
16.4031242374329 33.5939203160436 32.0937087265890 36.9882315951471 85.3789532104807 87.0112425052045 108.258359628962 83.4811131857547 85.5092445613808 139.750541440852 184.134153466761 215.616393579741 219.498778517379 159.765981567292 135.748051098262 92.3493664045597 50.5184837049596 26.8553874600938 9.84885780179610 53.8416559133045 192.415637001921 210.443393379241 224.498778517379 222.186894238581 204.159137861261 175.134153466761 182.567187840420 183.266468580329 188.412928228056 114.089311523808 106.066406938950 96.8566053779709 91.7575858643781 90.5341823719412 81.2666038742615 86.2666038742615 91.3656233878543 73.4157795647840 70.4157795647840 52.7381100351203 59.0184837049596 40.6696259031635 32.6073681548649 31.4232911158521 74.5583999417621 74.1805755668855 99.9391729890417 110.137212016227 80.3789532104807 77.7033854636777 73.8954989107458 72.2918323776757 73.6707492779813 50.8672407759985 44.7526976277612 68.0491916905564 55.6697732874165 63.1697732874165 70.9800229633231 54.3806755845969 89.0937855000164 40.4882315951471 26.6804675311029 17.6250823929655 16.8539580724609 13.6916804122925 16.6584680556187 12.5353624300010 19.6064302418665 24.9915950490010 26.0095544792994 31.0095544792994 26.6992351546530 22.6681062805037 8.00766986093232 4.47213595499958 0 10 14.3209937567957 18.7931297117953 33.5635913925932 37.6488791804243 32.2405522672283 42.0894100690244 49.3695199583049 57.4472071887685 53.1516678173230 49.1205389431737 45.0894100690244 46.3810037787108 51.1244202689634 71.1494046634641
6.40312423743285 25.3906143116100 42.0937087265890 46.9882315951471 95.3789532104807 97.0112425052045 118.258359628962 93.4811131857547 95.5092445613808 149.750541440852 194.134153466761 225.616393579741 226.420658405022 166.687861454936 145.748051098262 99.2712462922031 42.3151777005259 19.2425976357975 11.1803398874989 46.2288660890082 199.337516889565 217.365273266885 231.420658405022 232.186894238581 214.159137861261 185.134153466761 192.567187840420 193.266468580329 198.412928228056 124.089311523808 116.066406938950 106.856605377971 101.757585864378 100.534182371941 91.2666038742615 96.2666038742615 101.365623387854 65.2124735603503 62.2124735603503 44.5348040306866 50.8151777005259 32.4663198987298 24.4040621504313 34.8774472921151 84.5583999417621 84.1805755668855 109.939172989042 120.137212016227 90.3789532104807 87.7033854636777 83.8954989107458 82.2918323776757 83.6707492779813 60.8672407759985 54.7526976277612 78.0491916905564 65.6697732874165 73.1697732874165 80.9800229633231 64.3806755845968 99.0937855000164 50.4882315951471 36.6804675311029 27.6250823929655 26.8539580724609 23.6916804122925 22.5972976749160 18.4741920492983 11.4031242374328 16.7882890445674 17.8062484748657 22.8062484748657 16.6992351546530 12.6681062805037 15.7036618563020 14.4721359549996 10 0 6.70820393249937 11.1803398874989 25.9508015682969 30.0360893561280 24.6277624429320 34.4766202447281 41.7567301340086 49.8344173644722 45.5388779930267 41.5077491188774 37.4766202447281 38.7682139544145 43.5116304446671 63.5366148391678
13.1113281699322 32.0988182441094 46.4147024833847 51.3092253519427 99.6999469672764 101.332236262000 122.579353385758 97.8021069425503 99.8302383181764 154.071535197648 198.455147223556 229.937387336537 233.128862337522 173.396065387435 150.069044855058 105.979450224702 49.0233816330253 12.5343937032981 4.47213595499958 39.5206621565088 206.045720822064 224.073477199384 238.128862337522 236.507887995377 218.480131618057 189.455147223556 196.888181597216 197.587462337125 202.733921984851 128.410305280603 120.387400695746 111.177599134767 106.078579621174 104.855176128737 95.5875976310572 100.587597631057 105.686617144650 71.9206774928497 68.9206774928497 51.2430079631860 57.5233816330253 39.1745238312292 31.1122660829306 41.5856512246145 88.8793936985578 88.5015693236812 114.260166745837 124.458205773023 94.6999469672764 92.0243792204734 88.2164926675414 86.6128261344714 87.9917430347770 65.1882345327942 59.0736913845569 82.3701854473521 69.9907670442121 77.4907670442121 85.3010167201188 68.7016693413926 103.414779256812 54.8092253519427 41.0014612878986 31.9460761497612 31.1749518292565 28.0126741690882 29.3055016074154 25.1823959817977 18.1113281699322 23.4964929770667 24.5144524073651 29.5144524073651 23.4074390871523 19.3763102130031 22.3286636177280 18.7931297117953 14.3209937567957 6.70820393249937 0 4.47213595499958 19.2425976357975 23.3278854236286 17.9195585104326 27.7684163122287 35.0485262015093 43.1262134319728 38.8306740605273 34.7995451863780 30.7684163122287 32.0600100219151 36.8034265121677 56.8284109066685
17.5834641249318 36.5709541991089 50.8868384383843 55.7813613069423 104.172082922276 105.804372217000 127.051489340757 102.274242897550 104.302374273176 158.543671152648 202.927283178556 234.409523291537 237.600998292521 177.868201342435 154.541180810057 110.451586179702 53.4955175880249 8.06225774829855 8.94427190999916 35.0485262015093 210.517856777064 228.545613154384 242.600998292521 240.980023950377 222.952267573057 193.927283178556 201.360317552215 202.059598292124 207.206057939851 132.882441235603 124.859536650746 115.649735089766 110.550715576173 109.327312083736 100.059733586057 105.059733586057 110.158753099650 76.3928134478493 73.3928134478493 55.7151439181856 61.9955175880249 43.6466597862288 35.5844020379302 46.0577871796141 93.3515296535574 92.9737052786807 118.732302700837 128.930341728023 99.1720829222759 96.4965151754730 92.6886286225410 91.0849620894709 92.4638789897766 69.6603704877938 63.5458273395564 86.8423214023516 74.4629029992117 81.9629029992117 89.7731526751184 73.1738052963921 107.886915211812 59.2813613069423 45.4735972428982 36.4182121047608 35.6470877842561 32.4848101240877 33.7776375624149 29.6545319367973 22.5834641249318 27.9686289320663 23.0222021235555 28.0222021235555 20.9500531898379 16.9189243156886 26.8007995727276 23.2652656667948 18.7931297117953 11.1803398874989 4.47213595499958 0 14.7704616807979 18.8557494686290 13.4474225554331 23.2962803572292 30.5763902465097 38.6540774769732 34.3585381055277 30.3274092313784 26.2962803572292 27.5878740669155 32.3312905571681 52.3562749516689
32.3539258057297 50.5558023524125 65.6573001191822 70.5518229877402 118.942544603074 120.574833897798 141.821951021555 117.044704578348 119.072835953974 173.314132833446 217.697744859354 249.179984972335 248.989585208004 189.256788257918 169.311642490855 121.840173095185 40.2243707222375 6.70820393249937 23.7147335907971 26.7794292952848 221.906443692547 239.934200069867 253.989585208004 255.750485631175 237.722729253855 208.697744859354 216.130779233013 216.830059972922 221.976519620649 147.652902916401 139.629998331543 130.420196770564 125.321177256971 124.097773764534 114.830195266855 119.795683163356 124.894702676948 87.7814003633324 84.7814003633324 67.1037308336688 48.7243707222375 50.0732285240336 42.5558023524125 60.0426353329176 108.121991334355 107.744166959479 133.502764381635 143.700803408820 113.942544603074 111.266976856271 107.459090303339 105.855423770269 107.234340670574 84.4308321685917 78.3162890203544 101.612783083150 89.2333646800096 96.7333646800096 104.543614355916 87.9442669771900 122.657376892610 74.0518229877402 60.2440589236961 51.1886737855587 50.4175494650540 47.2552718048857 48.5480992432129 44.4249936175952 37.3539258057297 42.7390906128642 36.5656935378315 34.4935446041139 26.4312868558154 30.4624157299647 41.5712612535255 38.0357273475928 33.5635913925932 25.9508015682969 19.2425976357975 14.7704616807979 0 5.02493781056045 10.4332647237564 20.2821225255525 27.5622324148331 30.3849805707488 25.3548540630782 21.3237251889289 17.2925963147797 13.7570624088469 18.5004788990995 38.5254632936003
36.4392135935608 54.6410901402436 69.7425879070133 74.6371107755713 123.027832390905 124.660121685629 145.907238809387 121.129992366179 123.158123741805 177.399420621277 221.783032647185 253.265272760166 254.014523018565 194.281726068478 173.396930278686 126.865110905746 45.2493085327980 10.7934917203305 27.8000213786282 21.7544914847244 226.931381503107 244.959137880427 259.014523018565 259.835773419006 241.808017041686 212.783032647185 220.216067020844 220.915347760753 226.061807408480 151.738190704232 143.715286119375 134.505484558395 129.406465044802 128.183061552366 118.915483054686 123.915483054686 129.014502568279 92.8063381738929 89.8063381738929 72.1286686442292 53.7493085327980 54.7033478885422 46.6410901402436 64.1279231207488 112.207279122186 111.829454747310 137.588052169466 147.786091196652 118.027832390905 115.352264644102 111.544378091170 109.940711558100 111.319628458406 88.5161199564228 82.4015768081855 105.698070870981 93.3186524678407 100.818652467841 108.628902143747 92.0295547650212 126.742664680441 78.1371107755713 64.3293467115272 55.2739615733898 54.5028372528852 51.3405595927168 52.6333870310440 48.5102814054263 41.4392135935608 46.8243784006953 40.6509813256626 38.5788323919451 30.5165746436465 34.5477035177958 45.6565490413566 42.1210151354239 37.6488791804243 30.0360893561280 23.3278854236286 18.8557494686290 5.02493781056045 0 5.40832691319598 15.2571847149921 22.5372946042726 25.3600427601884 20.3299162525178 16.2987873783685 12.2676585042192 8.73212459828649 13.4755410885391 33.5005254830398
31.0308866803649 49.2327632270476 64.3342609938173 69.2287838623754 117.619505477709 119.251794772433 140.498911896191 115.721665452983 117.749796828609 171.991093708081 216.374705733989 247.856945846970 250.262807320460 190.530010370373 167.988603365490 123.113395207641 50.6576354459940 5.38516480713450 22.3916944654322 21.6011036460762 223.179665805003 241.207422182322 255.262807320460 254.427446505810 236.399690128490 207.374705733989 214.807740107648 215.507020847557 220.653480495284 146.329863791036 138.306959206179 129.097157645199 123.998138131606 122.774734639170 113.507156141490 118.507156141490 123.606175655083 89.0546224757880 86.0546224757880 68.3769529461243 59.1576354459940 49.2950209753462 41.2327632270476 58.7195962075528 106.798952208990 106.421127834114 132.179725256270 142.377764283456 112.619505477709 109.943937730906 106.136051177974 104.532384644904 105.911301545210 83.1077930432269 76.9932498949895 100.289743957785 87.9103255546448 95.4103255546448 103.220575230551 86.6212278518252 121.334337767245 72.7287838623754 58.9210197983312 49.8656346601938 49.0945103396892 45.9322326795208 47.2250601178480 43.1019544922303 36.0308866803649 41.4160514874994 35.2426544124667 33.1705054787491 25.1082477304505 29.1393766045998 40.2482221281606 36.7126882222279 32.2405522672283 24.6277624429320 17.9195585104326 13.4474225554331 10.4332647237564 5.40832691319598 0 9.84885780179610 17.1289676910766 25.2066549215402 20.9111155500947 16.8799866759454 12.8488578017961 14.1404515114825 18.8838680017350 38.9088523962358
40.8797444821610 59.0816210288437 74.1831187956134 70.7967742417752 119.847522079775 120.670097747063 147.213990333201 125.570523254779 127.598654630405 181.839951509877 226.223563535785 257.705803648766 260.111665122256 200.378868172170 177.837461167286 132.962253009437 60.5064932477901 15.2340226089306 32.2405522672283 11.7522458442801 233.028523606799 251.056279984119 265.111665122256 264.276304307606 246.248547930286 217.223563535785 224.656597909444 225.355878649353 226.000465401635 151.676848697387 148.155817007975 138.946015446995 133.846995933402 132.623592440966 123.356013943286 128.356013943286 133.455033456879 98.9034802775841 95.9034802775841 78.2258107479204 69.0064932477901 59.1438787771423 51.0816210288437 68.5684540093489 116.647810010787 116.269985635910 134.407741858336 144.605780885521 121.202895297351 111.362240705536 107.554354152604 105.950687619534 114.494691364852 92.9566508450230 86.8421076967856 101.708046932415 89.3286285292748 96.8286285292748 104.638878205181 81.1892182312250 115.902328146645 67.2967742417752 68.7698776001273 59.7144924619899 58.9433681414853 55.7810904813169 57.0739179196441 52.9508122940264 45.8797444821610 51.2649092892955 45.0915122142628 43.0193632805452 34.9571055322466 38.9882344063959 50.0970799299567 46.5615460240240 42.0894100690244 34.4766202447281 27.7684163122287 23.2962803572292 20.2821225255525 15.2571847149921 9.84885780179610 0 7.28010988928052 15.3577971197441 11.0622577482986 7.03112887414928 3 6.53553390593274 10.0725101392984 30.0974945337992
48.1598543714415 66.3617309181243 81.4632286848940 63.5166643524946 112.567412190494 113.389987857782 139.933880443921 132.850633144060 134.878764519686 189.120061399157 233.503673425066 264.985913538046 267.391775011537 207.658978061450 178.117646627994 140.242362898717 67.7866031370706 22.5141324982111 39.5206621565088 4.47213595499958 240.308633496079 258.336389873399 272.391775011537 271.556414196886 253.528657819566 224.503673425066 231.936707798725 225.636064110061 218.720355512354 144.396738808106 155.435926897255 146.226125336276 141.127105822683 139.903702330246 130.636123832566 135.636123832566 140.735143346159 106.183590166865 103.183590166865 85.5059206372009 76.2866031370706 66.4239886664228 58.3617309181242 75.8485638986294 123.927919900067 123.550095525190 127.127631969055 137.325670996241 113.922785408070 104.082130816256 100.274244263324 98.6705777302535 107.214581475571 98.0112016614344 94.1222175860661 94.4279370431342 82.0485186399943 89.5485186399943 97.3587683159009 73.9091083419444 108.622218257364 60.0166643524946 73.8244284165388 66.9946023512704 66.2234780307658 63.0612003705974 64.3540278089246 60.2309221833069 53.1598543714415 58.5450191785760 52.3716221035433 50.2994731698257 42.2372154215272 46.2683442956764 57.3771898192373 53.8416559133045 49.3695199583049 41.7567301340086 35.0485262015093 30.5763902465097 27.5622324148331 22.5372946042726 17.1289676910766 7.28010988928052 0 8.07768723046357 18.3423676375791 14.3112387634298 10.2801098892805 13.8156437952133 17.3526200285789 37.3776044230797
56.2375416019050 74.4394181485878 89.5409159153575 71.5943515829582 120.645099420958 121.467675088246 148.011567674384 140.928320374523 142.956451750149 197.197748629621 241.581360655529 273.063600768510 275.469462242000 215.736665291914 186.195333858458 148.320050129181 70.6093512929863 30.5918197286747 47.5983493869724 3.60555127546399 248.386320726543 266.414077103863 280.469462242000 279.634101427350 261.606345050030 232.581360655529 240.014395029188 233.713751340525 226.798042742818 152.474426038570 163.513614127719 154.303812566739 149.204793053147 147.981389560710 138.713811063030 143.713811063030 148.812830576623 114.261277397328 111.261277397328 93.5836078676645 78.7239800942676 74.5016758968864 66.4394181485878 83.9262511290930 132.005607130531 131.627782755654 135.205319199519 145.403358226704 122.000472638534 112.159818046719 108.351931493787 106.748264960717 115.292268706035 106.088888891898 102.199904816530 102.505624273598 90.1262058704579 97.6262058704579 105.436455546365 81.9867955724080 116.699905487828 68.0943515829582 81.9021156470024 75.0722895817340 74.3011652612294 71.1388876010610 72.4317150393882 68.3086094137705 61.2375416019050 66.6227064090396 60.4493093340068 58.3771604002893 50.3149026519907 54.3460315261400 65.4548770497008 61.9193431437681 57.4472071887685 49.8344173644722 43.1262134319728 38.6540774769732 30.3849805707488 25.3600427601884 25.2066549215402 15.3577971197441 8.07768723046357 0 11.0453610171873 9.34077084613470 13.0923842559691 16.6279181619019 12.3821521112838 32.4071365057846
51.9420022304595 70.1438787771423 85.2453765439120 81.8590319900737 130.909779828073 131.732355495361 158.276248081500 136.632781003078 138.660912378704 192.902209258175 237.285821284084 268.768061397064 268.980635614290 209.247838664204 188.899718915585 141.831223501471 65.5792247853157 26.2962803572292 43.3028100155269 14.6509122926513 241.897494098833 259.925250476153 273.980635614290 275.338562055904 257.310805678584 228.285821284084 235.718855657743 236.418136397652 237.062723149933 162.739106445685 159.218074756273 150.008273195294 144.909253681701 143.685850189264 134.418271691584 139.418271691584 144.517291205177 107.772450769618 106.965738025883 89.2880684962189 67.6944019149150 70.2061365254408 62.1438787771423 79.6307117576474 127.710067759085 127.332243384208 145.469999606634 155.668038633820 132.265153045649 122.424498453835 118.616611900903 117.012945367833 125.556949113150 104.018908593322 97.9043654450841 112.770304680713 100.390886277573 107.890886277573 115.701135953480 92.2514759795235 126.964585894943 78.3590319900737 79.8321353484259 70.7767502102885 70.0056258897838 66.8433482296154 68.1361756679426 64.0130700423250 56.9420022304595 62.3271670375940 56.1537699625613 54.0816210288437 46.0193632805452 50.0504921546945 61.1593376782553 57.6238037723225 53.1516678173230 45.5388779930267 38.8306740605273 34.3585381055277 25.3548540630782 20.3299162525178 20.9111155500947 11.0622577482986 18.3423676375791 11.0453610171873 0 4.03112887414928 8.06225774829855 11.5977916542313 7.07251013929838 21.3775583264320
47.9108733563102 66.1127499029930 81.2142476697627 77.8279031159244 126.878650953924 127.701226621212 154.245119207351 132.601652128928 134.629783504554 188.871080384026 233.254692409934 264.736932522915 267.142793996405 207.409997046319 184.868590041436 139.993381883586 61.5480959111665 22.2651514830799 39.2716811413776 12.9463221215987 240.059652480948 258.087408858268 272.142793996405 271.307433181755 253.279676804435 224.254692409934 231.687726783594 232.387007523503 233.031594275784 158.707977571536 155.186945882124 145.977144321145 140.878124807552 139.654721315115 130.387142817435 135.387142817435 140.486162331028 105.934609151733 102.934609151733 85.2569396220697 69.3832092481329 66.1750076512916 58.1127499029930 75.5995828834981 123.678938884936 123.301114510059 141.438870732485 151.636909759671 128.234024171500 118.393369579685 114.585483026753 112.981816493683 121.525820239001 99.9877797191722 93.8732365709349 108.739175806564 96.3597574034241 103.859757403424 111.670007079331 88.2203471053742 122.933457020794 74.3279031159244 75.8010064742766 66.7456213361392 65.9744970156345 62.8122193554662 64.1050467937934 59.9819411681757 52.9108733563102 58.2960381634447 52.1226410884120 50.0504921546945 41.9882344063959 46.0193632805452 57.1282088041060 53.5926748981733 49.1205389431737 41.5077491188774 34.7995451863780 30.3274092313784 21.3237251889289 16.2987873783685 16.8799866759454 7.03112887414928 14.3112387634298 9.34077084613470 4.03112887414928 0 4.03112887414928 7.56666278008201 3.04138126514911 23.0663656596499
43.8797444821610 62.0816210288437 77.1831187956134 73.7967742417752 122.847522079775 123.670097747063 150.213990333201 128.570523254779 130.598654630405 184.839951509877 229.223563535785 260.705803648766 263.111665122256 203.378868172170 180.837461167286 135.962253009437 57.5169670370172 18.2340226089306 35.2405522672283 9.48683298050514 236.028523606799 254.056279984119 268.111665122256 267.276304307606 249.248547930286 220.223563535785 227.656597909444 228.355878649353 229.000465401635 154.676848697387 151.155817007975 141.946015446995 136.846995933402 135.623592440966 126.356013943286 131.356013943286 136.455033456879 101.903480277584 98.9034802775841 81.2258107479204 66.0169670370172 62.1438787771423 54.0816210288437 71.5684540093489 119.647810010787 119.269985635910 137.407741858336 147.605780885521 124.202895297351 114.362240705536 110.554354152604 108.950687619534 117.494691364852 95.9566508450230 89.8421076967856 104.708046932415 92.3286285292748 99.8286285292748 107.638878205181 84.1892182312250 118.902328146645 70.2967742417752 71.7698776001273 62.7144924619899 61.9433681414853 58.7810904813169 60.0739179196441 55.9508122940264 48.8797444821610 54.2649092892955 48.0915122142628 46.0193632805452 37.9571055322466 41.9882344063959 53.0970799299567 49.5615460240240 45.0894100690244 37.4766202447281 30.7684163122287 26.2962803572292 17.2925963147797 12.2676585042192 12.8488578017961 3 10.2801098892805 13.0923842559691 8.06225774829855 4.03112887414928 0 3.53553390593274 7.07251013929838 27.0974945337992
45.1713381918473 63.3732147385301 78.4747125052998 77.3323081477079 126.383055985707 127.205631652996 153.749524239134 129.862116964465 131.890248340092 186.131545219563 230.515157245472 261.997397358452 262.746647616851 203.013850666765 182.129054876973 135.597235504032 53.9814331310845 19.5256163186170 36.5321459769147 13.0223668864379 235.663506101394 253.691262478714 267.746647616851 268.567898017292 250.540141639972 221.515157245472 228.948191619131 229.647472359040 232.535999307568 158.212382603319 152.447410717661 143.237609156682 138.138589643089 136.915186150652 127.647607652972 132.647607652972 137.746627166565 101.538462772179 98.5384627721794 80.8607932425157 62.4814331310845 63.4354724868286 55.3732147385301 72.8600477190352 120.939403720473 120.561579345596 140.943275764268 151.141314791454 126.759956989191 117.897774611469 114.089888058537 112.486221525467 120.051753056692 97.2482445547093 91.1337014064720 108.243580838348 95.8641624352076 103.364162435208 111.174412111114 87.7247521371577 122.437862052577 73.8323081477079 73.0614713098137 64.0060861716763 63.2349618511716 60.0726841910033 61.3655116293305 57.2424060037128 50.1713381918473 55.5565029989818 49.3831059239491 47.3109569902315 39.2486992419330 43.2798281160823 54.3886736396431 50.8531397337104 46.3810037787108 38.7682139544145 32.0600100219151 27.5878740669155 13.7570624088469 8.73212459828649 14.1404515114825 6.53553390593274 13.8156437952133 16.6279181619019 11.5977916542313 7.56666278008201 3.53553390593274 0 4.74341649025257 24.7684008847534
49.9147546820999 68.1166312287827 83.2181289955524 80.8692843810735 129.920032219073 130.742607886361 157.286500472500 134.605533454718 136.633664830344 190.874961709816 235.258573735724 266.740813848705 267.490064107104 207.757267157017 186.872471367225 140.340651994285 58.7248496213370 24.2690328088695 41.2755624671673 15.9877033867478 240.406922591646 258.434678968966 272.490064107104 273.311314507545 255.283558130225 226.258573735724 233.691608109383 234.390888849292 236.072975540933 161.749358836685 157.190827207914 147.981025646934 142.882006133341 141.658602640905 132.391024143225 137.391024143225 142.490043656818 106.281879262432 103.281879262432 85.6042097327683 66.3418279829838 68.1788889770812 60.1166312287827 77.6034642092878 125.682820210725 125.304995835849 144.480251997634 154.678291024820 131.275405436649 121.434750844834 117.626864291903 116.023197758832 124.567201504150 101.991661044962 95.8771178967245 111.780557071713 99.4011386685732 106.901138668573 114.711388344480 91.2617283705233 125.974838285943 77.3692843810735 77.8048878000663 68.7495026619288 67.9783783414242 64.8161006812558 66.1089281195830 61.9858224939654 54.9147546820999 60.2999194892344 54.1265224142017 52.0543734804841 43.9921157321856 48.0232446063348 59.1320901298957 55.5965562239629 51.1244202689634 43.5116304446671 36.8034265121677 32.3312905571681 18.5004788990995 13.4755410885391 18.8838680017350 10.0725101392984 17.3526200285789 12.3821521112838 7.07251013929838 3.04138126514911 7.07251013929838 4.74341649025257 0 20.0249843945008
69.9397390766007 80.7279591385777 101.844495468696 100.894268775574 149.945016613574 150.767592280862 159.922007408294 145.249229435072 133.651815930329 187.893112809801 232.276724835709 263.758964948690 247.603077287858 187.870280337772 183.890622467210 120.453665175039 54.8168435884830 44.2940172033703 61.3005468616681 36.0126877812486 220.519935772401 238.547692149721 252.603077287858 270.329465607530 252.301709230210 223.276724835709 230.709759209368 231.409039949277 240.076576007387 165.752959303139 154.208978307899 151.342146229693 146.243126716100 138.676753740889 129.409175243210 124.409175243210 129.508194756802 86.3948924431865 89.3948924431865 81.6962036999142 46.3168435884830 64.6657013902791 72.7279591385777 90.2147921190828 136.117379175709 142.117379175709 164.505236392135 172.824027115004 151.300389831150 141.459735239335 137.651848686403 136.048182153333 144.592185898651 122.016645439463 114.503484369868 131.805541466214 119.426123063074 126.926123063074 134.736372738981 111.286712765024 145.999822680444 97.3942687755743 97.8298721945671 88.7744870564296 88.0033627359250 84.8410850757566 86.1339125140838 82.0108068884662 74.9397390766007 80.3249038837352 74.1515068087025 72.0793578749849 64.0171001266864 68.0482290008356 79.1570745243965 75.6215406184637 71.1494046634642 63.5366148391678 56.8284109066685 52.3562749516689 38.5254632936003 33.5005254830398 38.9088523962358 30.0974945337992 37.3776044230797 32.4071365057846 21.3775583264320 23.0663656596499 27.0974945337992 24.7684008847534 20.0249843945008 0;
u=17 21 22 17 21 25 24 24 21 16 26 24 22 25 21 26 25 19 18 19 14 14 24 11 16 12 8 13 14 21 16 15 14 17 14 11 19 12 14 17 14 18 17 11 20 12 16 14 12 11 20 16 14 19 20 5 8 11 9 7 6 12 20 18 17 21 18 19 11 19 11 18 12 21 8 11 8 8 16 18 14 11 19 10 12 24 11 19 14 25 19 18;
enddata
运行出结果

二、问题二
简要分析:要求成本最小的5年计划配送计划,成本(配送费,建设费)最小,表中给的路费为月计费,目标函数中的路费要乘以60=5年*12月


sets:
dmc/1..92/:u;!直销中心i;
dc/1..92/:y;!配送中心j;
tlink(dmc,dc):x,d;
endsets
min=@sum(dmc(i)|i#LE#20:@sum(dc(j):d(i,j)*x(i,j)*u(i)))*2*60+300000*@sum(dc(j):y(j));
@for(dmc(i)|i#LE#20:@sum(dc(j):x(i,j))=1);
@for(dc(j):@for(dmc(i)|i#LE#20:x(i,j)<=y(j));
@for(dc(j):x(j,j)=y(j));
@for(tlink:@bin(x));
@for(dc:@bin(y)));
data:
!省略自己补充
enddata
结果:

所以应该设立三个配送中心分别为8、11、69
三、问题三
简要分析: 比起第二问,目标函数要算上收益再减去成本即为最后的利润


sets:
dmc/1..92/:u,z;!直销中心i;
dc/1..92/:y;!配送中心j;
tlink(dmc,dc):x,d;
endsets
max=@sum(dmc(i):z(i)*u(i))*300*5*12-@sum(dmc(i):@sum(dc(j):d(i,j)*x(i,j)*u(i)))*2*60-@sum(dc(j):y(j))*300000;
@for(dmc(i):@sum(dc(j):x(i,j))=z(i));
@sum(dmc(i):z(i))=20;
@for(dc(j):@for(dmc(i):x(i,j)<=y(j));
@for(dc(j):x(j,j)=y(j));
@for(tlink:@bin(x));
@for(dc:@bin(y)));
@for(dmc:@bin(z));
data:
!省略自己补充
enddata
结果:
设立3个配送中心

20个直销中心

四、问题四
问题四有多种做法,这里为老师给的一种参考做法

model:
sets:
nodesr/n1..n92/:xu,ddist;!一般城市集合;
nodesc/m1..m92/:y;!配送中心集合;
nodest/t1..t92/:z,xxu;!直销中心集合;!xxu为直销中心的需求量;
links(nodest,nodesc): dist,x;!直销中心和配送中心下标;
links1(nodesr,nodest): dist1,ddist2,h;!一般城市和直销中心集合.h(i,j)为判定城市i是否去直销中心j购物的0-1变量;
endsets
!目标函数;
min=zz;
zz=@sum(nodesc(J): y(J))*300000+@sum(nodest(I):@sum(nodesc(J): dist(I,J)*x(I,J)))*2*60;
!约束条件;
@for(nodest(I):@sum(nodesc(J):x(I,J))=xxu(I) );!配送量=需求量;
@sum(nodest(I):@sum(nodesc(J):x(I,J)))=1491;!总需求平衡;
@sum(nodest(I):z(I))=20;
@for(nodesc(J):@for(nodest(I):x(I,J)<=800*y(J)));!反映x与y的关系;
@for(nodesr(i):@for(nodest(k)|i#NE#k:ddist2(i,k)=dist1(i,k)*(1001-1000*z(k))+1000*z(i)));!z(k)=0,则城市i至k的距离换算为无穷大;z(i)=1,则城市i至k的距离换算为无穷大;
@for(nodesr(i):@for(nodest(k)|i#EQ#k:ddist2(i,k)=1000));!i=k,则城市i至k的距离换算为无穷大;
!目前ddist2矩阵中,只有一般城市i到直销中心k的距离才为真实距离,其它都为无穷大;
@for(nodesr(i):@for(nodest(k):ddist2(i,k)>=ddist(i)));
@for(nodesr(i):@for(nodest(k):ddist2(i,k)-ddist(i)<=1000000*h(i,k)));
@for(nodesr(i):@sum(nodest(k):h(i,k))=92-1);
@for(nodest(J):xxu(J)=xu(J)*z(J)+@sum(nodesr(I) |I#NE#J: xu(I)*(1-h(I,J))));
@for(links1:@bin(t));
@for(links1:@bin(h));
@for(nodesc:@bin(y));
@for(nodesr:@bin(z));
!@FOR( nodest( I): @PRIORITY( z(I), 100));
!@FOR(links: @PRIORITY( x, 20));
calc:
!dist1=dist;
endcalc
data:
!和上面一样,省略
enddata