5.2.2 基于虚拟同步机VSG控制的构网型变流器序阻抗定义
5.2.3 基于虚拟同步机VSG控制的构网型变流器序阻抗详细推导
1、课程及模型介绍
本人为985院校电气工程博士在读,研究方向包括新能源发电并网系统/MMC系统小干扰稳定性分析等。
目前国内已投运的新能源并网工程基本都出现了不同频段的振荡现象,涉及到宽振荡频带(数Hz~数kHz),特别在日益增多的弱电网场景下体现出不适应性,引入构网型变流器已经成为解决传统跟网型并网系统弱电网稳定性的主流手段,亟需建立构网型新能源并网系统准确的小干扰稳定性分析模型(闭环阻抗模型),以便进一步阐明稳定机理、提出有效的稳定控制策略。
建立构网型变流器的序阻抗模型是分析构网型变流器与电网之间动态相互作用的有效方法[10-12]。由于dq轴功率控制器、不对称内环控制器等频率耦合因素的存在,构网型VSG变流器的输出阻抗特性存在耦合效应。本文为小干扰稳定性分析系列文章中的第八篇,以基于虚拟同步机VSG控制的构网型/组网型/自同步电压源型变流器为例,基于谐波线性化方法详细推导建立构网型VSG变流器的序阻抗模型,揭示构网型VSG变流器存在的二倍频频率耦合效应。然后,介绍序阻抗扫频实现方法,通过仿真扫频验证了上述理论分析的可行性和正确性。本文所复现/部分复现的文献包含但不限于[10-12]。
小干扰稳定性分析的基础是小干扰稳定性模型,小干扰稳定性模型的精确度决定了小干扰稳定性判定结果的准确性。小干扰稳定性分析系列文章中的第一篇、第二篇、第三篇已详细讲解了跟网型变流器VSC序阻抗建模原理、谐波线性化理论推导以及新能源发电并网系统小干扰稳定性分析、控制交互作用分析、主导参数/变流器分析、宽频振荡复现等内容,在入门MMC阻抗建模前建议一并学习,夯实基础,提高学习效果。
系列第一篇(全文链接:
基于谐波状态空间理论(HSS)的柔直MMC动态建模可获取系统稳态工作点,实现MMC系统定常还,是MMC-HSS小干扰阻抗建模的基础,感兴趣的朋友可一并学习,以便更加系统、深入、全面地学习MMC阻抗建模。
第四篇(全文链接:
基于谐波状态空间HSS及谐波线性化方法的构网型控制策略(交流电压V-F控制)下MMC闭环序阻抗建模扫频及中英文顶刊文献复现(Matlab&PSCAD)适合于接入无源系统(接入风电场或光伏电站等)场景_mmc的控制从上至下可分为系统级控制、换流器级控制和阀控三个等级。-CSDN博客文章浏览阅读1.2k次,点赞14次,收藏30次。本人为985院校电气工程博士在读,研究方向为新型电力系统小干扰稳定性分析。该文章重点讲解新能源发电并网系统/新型电力系统小干扰稳定性分析方法/宽频振荡复现(频域阻抗分析法/时域模态分析法/仿真分析法)。目的在于,尽我所学,将晦涩繁琐的理论公式通过通俗易懂的方式讲解清楚原理本质,让看似“高门槛”的小干扰稳定性理论更容易理解学习,与各位初学者和同行进行学术分享,希望对大家有所帮助,不足之处也欢迎大家多多批评指正。欢迎留言交流探讨。各位如果有需要获取本文章中涉及的代码和模型,可联系QQ:2293540475。_mmc的控制从上至下可分为系统级控制、换流器级控制和阀控三个等级。
https://blog.csdn.net/2401_82983656/article/details/136102330本文利用谐波线性化方法精确解析具有谐波耦合特性、复杂控制环节的构网型VSG变流器系统动态特性,将建模原理尽可能地逐步推导、详尽细化、挖深挖透,结合阻抗扫频进行验证,使得当前新型电力系统场景下应用广泛的构网型VSG变流器序阻抗建模原理更加容易理解学习,与各位同行进行学术分享,希望对大家有所帮助,不足之处也欢迎大家多多批评指正。
欢迎留言交流探讨。各位如果有需要获取本文章中涉及的代码和模型,可联系QQ:2293540475。
2、基于谐波线性化方法的序阻抗建模思想
小扰动稳定性关注系统对微小扰动的响应,通常采用线性化分析方法。当采用谐波线性化方法进行序阻抗建模时,其基本思路是通过对系统的激励叠加一系列频率处的谐波扰动,忽略扰动项的二次及更高次部分,仅保留其一次项线性部分。常量/常系数一阶幂级数展开后的小信号扰动均为0。谐波线性化方法本质上是在稳态工作点处对模型进行一阶幂级数展开。
基于谐波平衡和小信号推导,通过系统电路参数、控制结构及其额定工作状态获得注入特定频次电压小信号所对应的电流响应,建立正负序谐波电压和相应的电流谐波分量之间的关系,得到仅考虑小扰动分量的系统谐波线性化模型,再将线性化模型中的电压与电流相除获得并网逆变器的正负序阻抗解析表达式,进而实现系统小干扰稳定性的分析,适用于推导二次耦合谐波(二倍频频率耦合响应)的影响、建立具有谐波耦合特性设备的机理模型。
3、构网型并网变流器研究背景、挑战及现状
3.1 研究背景及挑战
随着“碳达峰、碳中和”战略的提出,能源低碳转型加快推进,新能源占比逐渐提升,预计至2060年,我国新能源装机量将突破70亿kW,新能源装机占比将突破90%,新能源发电量将超过65%。建设新能源对于我国能源转型起到关键作用。随着新型电力系统建设步伐加速,高比例新能源电力持续接入、电力电子设备大量并网、较长输电线路等是使得电力系统呈现低惯量、弱阻尼等特性的主要因素,向电网引入了不可忽略的等效阻抗,且往往随着电网运行方式或扰动工况的变化而波动,振荡风险加剧等问题凸显,新型电力系统安全稳定运行面临严峻挑战。
2023年9月27日,国家能源局发布《关于组织开展可再生能源发展试点示范的通知》,指出支持构网型风电、构网型光伏发电、构网型储能、新能源低频组网送出等技术研发与工程示范,显著提高新能源接入弱电网的电压、频率等稳定支撑能力,构网型技术随之成为行业热议的话题。业内已形成共识:构网型技术能有效支撑电力系统稳定性重构,是构建新型电力系统的必由之路。当前所谈论的构网型技术,多指由构网型变频器控制算法实现的构网型控制,以及构网型变频器等部件、构网型风机等设备。构网型机组可根据电网运行需要自主构建电压和频率,主动支撑电网电压和频率稳定,等同于增强电网强度,与过去被动适应电网的跟网型变流器有本质区别。
新能源并网系统的动态特性绝大程度上取决于电力电子变流器,根据控制策略和机理的差异,可划分为跟网型、构网型两类变流器。跟网型控制策略利用锁相环(PLL)与电网保持同步,无法自主构建稳定的电压频率。构网型控制通过虚拟同步发电机VSG或下垂控制等功率控制环节模拟同步发电机运行特性,实现并网电压频率的自主构建[1-2]。
然而,构网型控制还停留于研究攻关层面,落地执行、实际工程应用仍存在障碍,缺乏统一的国家和行业标准的指导,缺乏基于标准规范的第三方认证,导致当前行业内对构网型技术的研究方向失焦且不够成熟,普遍停留在部件或单机层面,构网型变流器的发展面临同步、保护、协调和标准等方面的技术挑战和监管障碍。新型电力系统发展后期,在新能源高渗透场景下构网型并网控制可能存在以下问题:(1)弱网下功率响应慢,难以准确实现最大功率点跟踪,经济性差;(2)构网型控制按负载需求输出功率,难以实现源侧最大功率点跟踪;(3)电网阻抗大幅波动、低电压环带宽、高功率环带宽时存在强网不稳定问题。此外,随着新能源场站规模扩大,在构网型变流器协同并网控制、变流器集群间交互特性等大规模并网控制层面的问题仍有待研究。因此,需要多方力量形成合力系统性解决问题、共同推进构网型变流器的发展和落地。
3.2 构网型变流器与跟网型变流器的区别
风电、光伏等新能源存在随机性、波动性、间歇性等特点,且难以存储。当前的新能源发展阶段,并网变流器大多采用基于PLL同步的跟网型控制策略,通过锁相环(phase lock loop,PLL)跟随电网电压实现同步。主要原因有:(1)传统同步发电机容量大、属于电压源型电源,足够支撑并网电压和频率;(2)跟网型变流器采用电流矢量控制并网电流,即提取电网的相位、幅值,根据有功/无功电流需求来确定自身功角、幅值,可实现功率快速解耦控制以及最大功率跟踪控制,可提高新能源发电的利用率;(3)跟网型变流器对外表现为受控电流源的形式,控制响应速度快,可满足功率快速响应的需求;(4)跟网型变流器通过调制和滤波器可实现高电能质量并网。
同步发电机等旋转部件具有机械转子惯性和阻尼作用,因此对传统电力系统起到电压/频率支撑的作用,并且具备并/离网双模式运行的能力。随着风电、光伏等新能源基地的大规模开发,以风电和光伏为代表的逆变器接入型可再生能源渗透率逐渐提高,将显著改变未来电力系统的动态行为,导致存在局部地区电网强度变弱、系统惯量与阻尼缺乏、调频调压困难等难题和挑战。跟网型变流器通过PLL跟随电网电压,需要交流系统提供同步电压,不具备传统同步发电机利用转子储存动能支撑电网、抑制频率波动的能力,并网时无法为电网提供有益支撑,抗扰性欠佳,比如:新能源风电场主流的双馈风机与直驱风机均为变速风机,转子转速与电网频率解耦,风机转动惯量无法传递至电网。并且跟网型变流器的电网电压前馈、电流内环、PLL和电网阻抗的交互耦合都将对系统稳定性产生影响,大规模跟网型新能源并网系统与弱电网间的交互作用导致宽频振荡事故频繁发生,其本质为系统呈现负阻尼并网特性,并且电网阻抗大幅波动,导致跟网型并网系统出现弱网负阻尼稳定性问题,不利于高渗透率新能源电力系统的安全稳定运行。目前过渡时期,国内某些风电并网工程通过加装分布式调相机提高了风场交流并网短路比、规避了振荡频段,仍缺乏长远可行的解决方案。
因此,新能源在由从属角色向主导角色转变的过程中,需采用基于下垂控制(Droop Control)或虚拟同步机控制(Virtual Synchronous Generator,VSG)的新能源变流器控制策略模拟同步发电机的调频调压功能,并网时皆可为电网系统电压与频率提供有益支撑,即构网型(grid-forming,GFM)变流器[3-4]。不同于跟网型变流器,构网型变流器采用功率自同步/自同步电源型控制策略,具备构建系统电压和频率的能力,构网型变流器并网等效电路可用戴维宁等效原理等效为自同步型电压源。构网型控制的理论基础是同步发电机的转子运动方程,构网型变流器的有功功率环和无功功率环分别模拟同步发电机的转子运动方程、调速和励磁环节,有功偏差经转子运动方程形成相角,电压偏差经励磁环节形成幅值,合成内电势电压矢量,两条控制支路共同提供惯量阻尼支撑。输出的内电势电压矢量参考值再经过电流控制环生成调制波。
构网型变流器电压源型电源的物理本质决定了构网型变流器不依赖电网状态、可独立构网运行、自主构建电压频率的物理内涵。稳态运行工况下,构网型变流器可具备与传统同步发电机类似的运行特性,但动态特性不同,大规模电网频率发生扰动时,变流器可构建内电动势,始终输出恒定电压,通过阻尼系数模拟同步机电磁阻尼,相较跟网型变流器有利于改善系统宽频稳定性(特别是次/超同步频段稳定性)。
由于本系列文章重点在于研究新能源并网系统存在的小干扰稳定性问题,而构网型变流器在宽频段内呈现为正电阻特性,在次/超同步频段下呈现为电抗特性。构网型变流器的“正阻感”特性可改善跟网变流器引入的宽频段内“负阻容”特性,避免新能源场站与交流电网构成负阻尼振荡电路,在低短路比的弱网工况下可实现稳定运行,提升弱电网稳定裕度,具有较强的弱电网适应性,可拓展高比例新能源系统的稳定边界,在宽频振荡主动抑制等方面具有技术优势。
3.3 构网型变流器并网小干扰稳定性研究现状及本文重点
在构网型变流器主导的新能源并网系统中存在宽频振荡、强网稳定性等问题[5]。阻抗模型已成为解决构网型变流器稳定性问题的主流分析手段。基于小信号线性化方法的状态空间模型[6]也被用于分析控制参数的特征值和灵敏度,但涉及众多的系统变量、与系统结构强耦合,存在“维数灾”的问题。文献[7]在dq同步旋转坐标系下建立了VSG的小信号阻抗模型,但当交流系统不平衡时,稳态工作点将不再是直流恒定值,故无法应用该方法。谐波线性化方法[8-9]通过注入三相谐波扰动,可实现在相位域建模序阻抗模型,克服了上述局限性,并且计算阻抗可应用于平衡和不平衡系统,具有明确物理释义和可直接测量等优惠,目前已被广泛应用于各种非线性系统的端口动态特性解析和输出阻抗建模。
建立构网型变流器的序阻抗模型是分析构网型变流器与电网之间动态相互作用的有效方法[10-12]。由于dq轴功率控制器、不对称内环控制器等频率耦合因素的存在,构网型VSG变流器的输出阻抗特性存在耦合效应。本文以基于虚拟同步机VSG控制的构网型/组网型/自同步电压源型变流器为例,基于谐波线性化建立构网型VSG变流器的序阻抗模型,揭示构网型VSG变流器存在的二倍频频率耦合效应,其表现行为与跟网型变流器有所不同。然后,论证了构网型变流器VSG控制器与二倍频频率耦合之间的关系。最后,介绍序阻抗扫频实现方法,通过仿真扫频验证了上述理论分析的可行性和正确性。本文所复现/部分复现的文献包含但不限于[10-12]。
4、构网型VSG变流器拓扑及控制策略
图1为构网型VSG变流器拓扑结构图。如图1所示,Udc为VSG直流侧电压,直流侧电容较大直流电压维持稳定,此时Udc可视为常数;eabc为构网型VSG变流器输出内电势;Ivabc是变流器输出电流;Igabc为并网电流;vgabc为变流器输出端电压;Lf、Cf、Rf分别为滤波电感、滤波电容和阻尼电阻;Lg为电网电抗;vgird为电网电压。
图2为基于虚拟同步机VSG控制的构网型VSG变流器控制框图。如图2所示,构网型VSG控制器将有功功率指令作为虚拟同步发电机模型的功率指令,使VSG具备惯性和一次调频特性;通过发电机模型中的虚拟惯量和下垂系数产生虚拟同步频率θv,然后通过励磁调节器模型生成虚拟电压幅值Em,使VSG具备一次调压特性。最后将同步频率和励磁电压幅值作为VSG的虚拟内电势指令。本文的虚拟同步VSG控制策略增加了电压电流双闭环级联控制环节[12],并将虚拟内电势作为级联电压控制回路的参考电压,采用电压电流双闭环控制的输出作为调制环节的电压参考信号。相比于传统开环型PWM信号控制方式下的VSG控制策略[1],可嵌入电压和电流的饱和限制控制,提供电力电子变流器安全运行所必需的保护功能。
图1 构网型VSG变流器拓扑结构
图2 构网型VSG变流器控制电路框图
5、构网型VSG变流器阻抗建模思路及详细推导
5.1 构网型VSG变流器阻抗建模思路
构网型VSG变流器阻抗建模的核心思路如下:
① 根据构网型VSG变流器主电路拓扑结构和VSG级联电压电流控制内环控制原理,根据PWM调制、电容和开关器件动态,建立构网型VSG变流器时域主电路核心方程(非线性模型),即获得构网型VSG变流器的内电势、输出端电压和输出电流的关系。
② 对构网型VSG变流器模型进行稳态仿真或数值计算,可计算得到系统稳态工作点,作为后续小干扰阻抗求解过程中小信号叠加的稳态运行轨迹。
③ 利用谐波线性化思想,对构网型VSG变流器时域主电路核心方程(非线性模型)进行线性化处理,得到构网型VSG变流器频域线性化核心数学方程(线性化模型)。
④ 针对VSG级联电压电流控制内环控制结构,基于采样得到的小信号电气量,从输入至输出遍历控制系统小信号通路/小信号传递关系得到调制参考电压小信号后,代入构网型VSG变流器频域线性化核心数学方程(线性化模型)进行计算,进一步结合端口阻抗表达式可求解得到VSG级联电压电流控制内环下构网型变流器序阻抗模型。
5.2 构网型VSG变流器阻抗建模详细推导
5.2.1 构网型VSG变流器运行机理及主电路核心方程
根据图2所示的构网型VSG变流器的控制框图,VSG的有功和无功功率控制回路可以分别模仿实际SG的机械部分和电气部分的运行原理。并对VSG的有功和无功控制器的数学模型进行推导。VSG的有功和无功控制器的数学模型可以表示为如下形式:
(1)
其中:
(2)
(3)
其中,θv为VSG内电势相位,Tj(J,下文中用J代表Tj)和K分别为虚拟转动惯量和电压系数;ωv和ωn分别为VSG的输出角频率和电网的额定角频率;Tset和T分别为参考转矩和电磁转矩;Dp和Dq分别为阻尼系数和电压下垂系数;Pref和Qref分别是有功功率和无功功率的参考值;P和Q分别是有功功率和无功功率;|V|ref、|V|、Em分别为额定电压、输出电压和内电势的幅值。
构网型控制的核心在于功率同步环节,构网型控制策略主要包括下垂控制、虚拟同步机(VSG)控制等,下垂控制通过模拟同步机的阻尼特性实现构网,实际应用中常在前端加入低通滤波器(LPF)滤除瞬时功率中的高阶项,LPF的加入使得下垂控制拥有惯量特性。VSG控制通过模拟同步发电机转子运动的二阶方程,能够更为精确的模拟同步机运行特性。根据有功环路和无功环路的数学方程,可知VSG在不考虑惯性的情况下与传统下垂控制等价[2-3]。
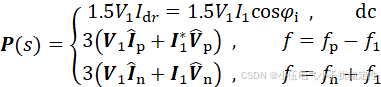
根据瞬时功率理论,VSG的瞬时输出有功功率P和无功功率Q可以计算为:
(4)
其中,vd和id分别为d轴输出电压和电流,vq和iq分别为q轴输出电压和电流。
VSG的调制波由有功和无功功率环决定,电压调制波信号可以表示为:
(5)
其中ea、eb和ec为VSG的三相调制波,起到主电路与控制电路之间的桥梁纽带作用。
根据图1所示的VSG拓扑结构,结合KCL和KVL定律,可计算得到表征构网型VSG变流器的内电势、输出端电压和输出电流之间关系的频域主电路核心方程为:
(6)
三相VSG系统采用空间矢量脉宽调制算法,不考虑调制过程以及开关过程,则可将VSG三相调制波视为桥臂电势[13],认为理想调制,即调制比等效为1。
5.2.2 基于虚拟同步机VSG控制的构网型变流器序阻抗定义
谐波线性化建模方法是将系统中非线性部分近似为有限正弦信号的线性叠加,在频域中推导变流器的输出阻抗模型,利用三角函数变换或傅里叶变换卷积等性质可以简化系统线性模型的推导过程。 在对三相变流器型电源进行建模时,可采用对称分量法,将三相变流器型电源分解为正负序子系统,分别注入正序、负序电压扰动信号(一般采用串联电压扰动源注入的形式,相比于并联电流扰动源注入的形式计算精度更高),得到扰动频率处电流响应,建立构网型VSG变流器在abc坐标系下的正序、负序阻抗模型(Zvsg_p、Zvsg_n)。构网型VSG变流器交流并网系统构成的小信号等效电路如图3所示。

(a)注入正序扰动

(b)注入负序扰动
图3 构网型VSG变流器正负序小信号等效电路
根据图3,对于相位域并网系统,并网点电流Ig的表达式如式(7)所示:
(7)
其中,Tm代表前向通道增益为1,负反馈通道增益为Zg(s)/Zvsg(s)的负反馈控制系统系统,其中Zg(s)/Zvsg(s)为系统阻抗比。小干扰稳定性状态主要取决于并网电流Ig的稳定性,Ig的稳定性取决于Tm的稳定性,Tm是否稳定取决于Zg(s)/Zvsg(s)是否满足Nyquist稳定判据。因此,VSC的阻抗建模是小干扰稳定性分析的基础,采用序阻抗模型可简化稳定性分析,并且具有明确的物理意义。需要注意的是,正负序系统均满足稳定判据时说明系统稳定;并网系统中的子系统独立运行时均稳定,系统不存在右半平面极点,因此,在进行稳定性分析时,无需考虑右半平面极点的影响,只关注互联系统阻抗比。
对于三相系统,本文采用谐波线性化的方法将VSC输出阻抗分解为正负序分量,建立其正负序阻抗模型。而三相系统仅相位各差120°,B,C相输出阻抗与A相相同,因此本文以A相为例建立构网型VSG变流器序阻抗模型。电网侧注入电压扰动vpa,叠加于稳态工作点,构网型VSG变流器的A相主电路等效小信号电路如图4所示:

图4 构网型VSG变流器A相主电路等效小信号电路
由图4可知,根据谐波线性化建模思想,给定扰动电压源为vp注入VSG三相系统,可得到扰动频率处的响应电流。可将图4中的时域变量通过傅里叶变换原理转换到频域下,包含基频分量、扰动序分量,以Iga和Vpa为例:
(8)
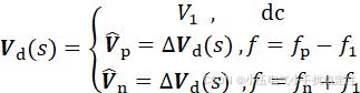
式(8)中,以注入正序扰动电压Vp为例,根据欧拉变换原理,Vp的频域表达式为:
(9)
构网型VSG变流器的正、负序阻抗Zvsc(s)的计算式为(对变量进行加粗处理,代表该变量的矩阵形式):
(10)
式(10)中,计算的是扰动频率wp处系统端口单维(SISO)阻抗模型。如果将扰动频率wp处的扰动电压和电流响应换成其他耦合频率处的电压电流量,则可以计算MMC端口多维(MIMO)阻抗矩阵。
导致系统存在二倍频频率耦合效应的主导因素为[12]:1) PLL;2) d、q轴不对称结构/参数值的电流控制器;3) 直流母线电压控制器;4) 有功和无功控制器;5) 凸极同步电机。若考虑频率耦合项后,则输出阻抗为2×2的矩阵,一般基于广义Nyquist定理进行小干扰稳定性分析,增加了稳定性分析的复杂度。若考虑了不同类型逆变器以及线路阻抗等宽频影响因素,Nyquist稳定判据更为复杂。文献[11,14-15]指出,阻抗矩阵的主对角元素/自阻抗元素在小干扰稳定性分析中起主导作用,并且本文所研究系统为三相对称、电流环对称系统,可不考虑频率耦合对VSG序阻抗模型的影响[13]。若专门研究频率耦合效应,则可考虑并网电压、并网电流的扰动分量与二倍频耦合分量的关系,计算系统的耦合阻抗[10,12]。
5.2.3 基于虚拟同步机VSG控制的构网型变流器序阻抗详细推导
5.2.3.1 频率偏移效应的产生原理解释
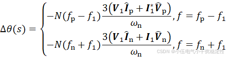
正序/负序三相扰动量fp/fn经过Park坐标变换为dq域下扰动量时,在d-q坐标系下的小信号频率产生了偏移,即频率偏移效应,此时小信号频率为fp-fpll/fn+fpll,fp+fpll频次/fn-fpll频次的谐波分量三相对称抵消。如果忽略相角小信号扰动时,此时dq坐标系下小信号频率为fp-f1/fn+f1,对于基频电气量,经过dq变换后小信号频率为f1-f1=0,因此基频电气量在dq域下被转换为了直流分量,获得了直流稳态工作点,这也是dq阻抗建模法的理论基础。
注意:
(1)正负序变量中已经包含了一个频率成分的所有信息,扰动频率处所对应的时域波形可直接由+(fp-fpll)或+(fn+fpll)求得,因此可以下文仅给出+(fp-fpll)或+(fn+fpll)对应的方程。上标^和∆均表示小信号量,两者没差别。
(2)计算端口正序、负序阻抗时,正序、负序谐波扰动是单独注入的,正序、负序阻抗是单独求解的,推导过程中注意不要把正序、负序扰动信号与频率耦合特性混淆。举个例子,计算正序阻抗时,频率耦合效应会产生基频偏移信号(dq坐标系)、二倍频耦合信号(abc坐标系),即使频率耦合量是负序的,也是频率耦合量,而非正负序耦合量。正负序耦合特性是由三相工况不对称产生的,频率耦合特性是由于控制不对称引起的,正负序耦合特性与频率耦合特性有本质上的区别。
关于频率偏移效应、二倍频频率耦合效应、Park变换/反变换小信号线性化等的具体推导证明过程可参考本系列第一篇文章:基于谐波线性化方法的跟网型并网变流器/VSC宽频序阻抗建模及扫频(Matlab/Simulink平台)及文献复现_考虑频率耦合的vsg编程-CSDN博客文章浏览阅读6.2k次,点赞67次,收藏117次。本人为985院校电气工程博士在读,研究方向为新型电力系统小干扰稳定性分析。该文章重点讲解基于谐波线性化方法的跟网型并网逆变器/VSC宽频序阻抗建模及扫频(Matlab/Simulink平台)原理及实现。目的在于,尽我所学,将晦涩繁琐的理论公式通过通俗易懂的方式讲解清楚原理本质,让看似“高门槛”的阻抗建模理论知识更加容易理解学习,与各位初学者和同行进行学术分享,希望对大家有所帮助,不足之处也欢迎大家多多批评指正。欢迎留言交流探讨。各位如果有需要获取本文章中涉及的代码和模型,可联系QQ:2293540475。_考虑频率耦合的vsg编程
https://blog.csdn.net/2401_82983656/article/details/136102314
5.2.3.2 VSG有功外环的小干扰频域表达式推导
考虑相角小信号扰动后θp=θ1+∆θ,其中θ1为基频相角,∆θ为相角扰动分量,对Park正变换矩阵进行线性化处理可得:

(11)
式(11)中,Tabc/dq(θ1)为基频相角变换模块,Tabc/dq(∆θ)为扰动相角变换模块。求解∆θ是关键。经过基频相角变换模块的dq轴并网电压、并网电流分别如下:
(12)
(13)
将公式(12)、(13)各分量(直流量、正/负扰动量)代入小信号线性化展开后的公式(4),忽略高阶非线性耦合(无穷小之积为零),考虑频域变量幅值乘以2为时域变量的幅值(欧拉变换),则可得构网型VSG变流器的有功功率、无功功率频域表达式分别为:
(14)
(15)
上式中,上标“*”表示复数的共轭量;
。
根据有功控制环,可获得构网型VSG变流器内电势相位θ,考虑相角扰动Δθ,即θ=θ1+Δθ。令M(s)=1/[s(Dp+Js)],将式(14)、式(15)代入式(2)中θv的计算表达式,可得基频相角θ1和相角小扰动Δθ的频域表达式分别如式(16)、式(17)所示:

(16)
(17)
其中,
。
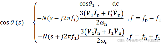
接下来,推导Park变换矩阵中坐标变换基准角,由于Δθ是由有功功率小扰动信号引起的,考虑相角扰动Δθ,即θ=θ1+Δθ。结合三角变换,可得:
(18)
(19)
将式(16)、(17)代入式(18),结合频域卷积定理,并忽略高频非线性耦合(无穷小之积为零),则cosθ的频域表达式为:
(20)
5.2.3.3 VSG无功外环的小干扰频域表达式推导
文献[1]忽略VSG无功环路的影响,阻抗建模过程中认为VSG内电势幅值为常量,即Em(s)=Em0(Em0为基频电压)。无功环路均会对VSG端口动态特性产生较大影响,为建立准确的构网型VSG变流器阻抗模型,有必要考虑无功环路的影响[13]。本文考虑VSG无功环路对扰动信号的作用,将式(3)变换可得VSG内电动势幅值Em的频域表达式为:
(21)
对式(21)进行小信号线性化处理,则VSG内电动势幅值Em的各频次分量表达式为:
(22)
其中,
,
。
5.2.3.4 电压外环的小干扰频域表达式推导
根据图2中电压电流双闭环控制框图的电压外环部分,可知电压外环dq轴参考值频域表达式如下:
(23)
采用考虑完整相角(θp=θ1+∆θ)的Park变换矩阵(式(12))对并网电压vgabc进行坐标变换,即Park变换矩阵式(12)中先左乘基频相角变换矩阵,可得vd1、vq1,再左乘扰动相角变换矩阵,可得最终的并网电压dq轴分量vd、vq。并网电压dq轴分量频域表达式如下:(需要说明的是,sinΔθ约等于Δθ;cosΔθ约等于1)
(24)
将式(12)、(13)、(17)代入式(24)可得:(区别于式(12),标红部分为扰动相角引入的增项)
(25)
(26)
同理,可得并网电流dq轴分量Id、Iq:(区别于式(13),标红部分为扰动相角引入的增项)
(27)
(28)
并网电压dq轴分量经过电压外环产生电流内环输入参考值Id_ref,电压外环的频域表达式如下(考虑dq轴频率偏移):
(29)
式(29)经过小信号线性化处理(Vd_ref和Vq_ref均为常量,∆Vd_ref、∆Vq_ref等于0),可得电压外环输入与输出之间的小信号频域表达式为:
(30)
5.2.3.5 电流内环的小干扰频域表达式推导
并网电压dq轴分量及并网电流dq轴分量通过电压电流双闭环控制环节生成参考电压Md、Mq为(考虑dq轴频率偏移):
(31)
其中,Gv、Gi分别为电压外环控制P环节、电流内环控制PI环节的传递函数,即
(32)
式中,kpv分别为电压外环的比例增益;kpi、kii分别为电压内环的比例、积分增益。
式(31)经过小信号线性化处理,可得电流内环输入与输出之间的正序小信号频域表达式为:
(33)
进一步整理,可得:
(34)
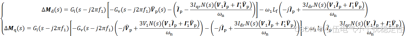
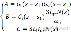
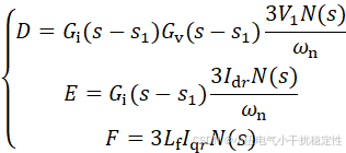
上式中,w1=wn,即额定角频率。将并网电流表达式(22)~(23)、(25)~(28)、(29)~(30)分别代入式(34),可得参考电压Md、Mq正序扰动分量与并网电压正序扰动分量、并网电流正序扰动分量的关系表达式分别为:

(35)
进一步整理可得:(s1=j2πf1)


(36)


(37)
其中,令
(38)
(39)
此时,式(36)、(37)等效为:
(40)
(41)
同理,代入各电气量负序表达式至式(34),可得参考电压Md、Mq负序扰动分量与并网电压、并网电流负序扰动分量的关系表达式。由于篇幅原因,此处不再给出。
5.2.3.6 计算构网型VSG变流器端口序阻抗
考虑相角小信号扰动后θp=θ1+∆θ,其中θ1为基频相角,∆θ为相角扰动分量,对Park反变换矩阵进行线性化处理可得:


(42)
将控制系统输出的dq轴参考电压(正序/负序)经过式(42)的Park反变换后,可获得三相abc坐标系下的参考电压Mabc:


(43)
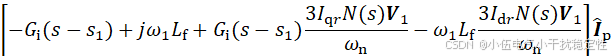
对式(43)进行分解计算,经过扰动相角反变换矩阵后的dq轴参考电压Md1、Mq1如下(无穷小之积为0):

(44)
以正序为例,对式(44)整理可得(小信号之积为0):
(45)
(46)
式(45)、(46)中的Md1、Mq1参考电压再经过基频相角反变换矩阵,转换至abc 坐标系获得Mabc,根据积化和差原理/频域卷积原理,产生原扰动频率及二倍频耦合频率两个频率处的桥臂三相内电势扰动量[16],从时域的角度理解产生二倍频耦合效应的本质原理是三角函数变换(和差化积、积化和差),从频域的角度理解则从频域卷积定理入手,无论从时域还是从频域进行变换,两者结果上等效。负序参考电压的推导与正序同理。
获得Mabc后,将Mabc代入构网型VSG变流器的频域主电路核心方程式(6),可计算得到扰动电压关于扰动电流的方程,根据式(10)的序阻抗定义式,进一步整理可获得构网型变流器端口正序阻抗模型如下:
(47)
负序阻抗与正序阻抗推导过程原理一致,篇幅原因,此处不再赘述。
6、构网型VSG变流器序阻抗模型验证
本文理论层面的推导到此结束。为了验证所建立构网型VSG变流器序阻抗模型在宽频段内的正确性,提供一组系统参数及构网型VSG变流器序阻抗扫频实现案例。构网型VSG变流器的主要电气参数如表1所示。基于Matlab/Simulink平台搭建构网型VSG变流器时域仿真模型,将构网型VSG变流器序阻抗理论计算结果与时域阻抗扫频仿真结果进行对比,结果如图3所示。
构网型VSG变流器阻抗建模及扫频的更多实现细节不便于全部展开,欢迎留言讨论,各位如果有需要获取本文章中涉及的代码和模型,可联系QQ:2293540475。希望对大家有所帮助。
6.1 阻抗扫频测量思路和流程
扫频思路:推导建立跟网型变流器的序阻抗模型后,利用Matlab代码实现理论阻抗建模,基于Matlab/Simulink平台或搭建仿真模型并利用谐波线性化原理进行扫频,将理论阻抗Bode图与扫频阻抗特性进行对比,验证宽频范围内阻抗模型的正确性。阻抗扫频原理示意图如图5所示。
图5 阻抗扫频原理示意图
阻抗建模及扫频对比详细流程如下:
① 根据第5章推导的构网型VSG变流器序阻抗解析表达式,利用Matlab代码建立s变量下序阻抗模型,并基于程序扫频代入具体频率序列求解对应的序阻抗值,分解为幅值和相位,绘制bode图描述阻抗特性。
② 基于Matlab/Simulink平台搭建构网型VSG交流并网仿真模型,并调整运行正确。
③ 设置扫频用的扰动频率序列,仿真模型运行至稳态后,采用串联电压源的方式向VSC侧分别逐一注入扰动频率处的正序、负序电压小扰动。
④ 待注入扰动达到新稳态后,获取并网PCC点处的三相电压、电流信号进行FFT分析,得到扰动频率下三相电压、电流信号的幅值和相位。
⑤ 重复③ ④步骤,将电压扰动和扰动频率处电流响应相除(参考本文式(10))求解得扫频阻抗特性。
⑥ 将理论阻抗Bode图与扫频阻抗特性进行对比,验证宽频范围内阻抗模型的正确性。
6.2 算例模型及扫频对比
从图6的构网型VSG变流器序阻抗扫频对比图中可以看出,本文所建立的构网型VSG变流器序阻抗模型在全频段内与扫频测量结果高度吻合,说明了本文所建立的构网型VSG变流器序阻抗模型的精确性。
从图6还可以看出,构网型VSG变流器的正序阻抗特性在1Hz~41Hz的次同步频段、49Hz~100Hz的超同步频段以及100Hz~800Hz的中高频段下均呈现为“正电阻+电容”特性,其中41Hz~48Hz的次同步频段存在负阻尼特性,原因是构网型VSG变流器VSG功率外环及控制结构的频率耦合效应引起的[12]。负序阻抗特性在1Hz~100Hz的次/超同步频段下呈现相位远小于90°的为“正电阻+电感”特性,即在弱电网工况下不易构成二阶负阻尼振荡电路,因此大大降低了系统次/超同步振荡风险。可见,相比于跟网型变流器,构网型VSG变流器更适应于弱网场景运行。一方面对现有运行于弱电网地区的跟网型场站,按一定容量配比并入构网型VSG变流器可有效降低系统振荡风险,另一方面对即将投产的新建新能源场站,实现新能源的友好并网、稳定运行。文献[11]指出,构网型VSG变流器电路特性主要取决于无功控制环节和电压外环,受有功控制环节影响较小,感兴趣可自行验证。此外,构网型VSG变流器与跟网型变流器并联运行时,构网型VSG变流器的“正电阻+电感”特性可改善跟网型变流器的“负电阻+电容”特性,使得多机/多变流器并联系统呈现“正电阻+电感”的正阻尼特性,从根源上避免形成振荡电路的可能,即构网型VSG变流器具有改善跟网型变流器弱电网下次/超同步振荡稳定性的能力。构网型VSG变流器及其与跟网型变流器并联运行系统的小干扰稳定性分析将会是下一篇文章的内容。
| 参数 | 数值 |
| 额定有功功率Pref/kW | 7 |
| 额定无功功率Qref/kVar | 0.3 |
| 直流电压Vdc/V | 800 |
| 电网线电压V1/V | 380 |
| 额定频率f1/Hz | 50 |
| 逆变器侧滤波电感Lf/mH | 3 |
| 滤波电容Cf/μF | 10 |
| 滤波电容寄生电阻Rf/mΩ | 5 |
| 电网电感Lg/mH | 10 |
惯量系数J/(kg·m2) |
0.058 |
有功阻尼系数Dp |
5 |
无功阻尼系数Dq |
320 |
无功电压系数K |
6.5 |
| 电压外环比例系数kpv | 1.2 |
| 电流内环比例系数kpi | 6 |
| 电流内环积分系数kii | 0.1 |

(a)正序

(b)负序
图3 构网型VSG变流器序阻抗模型与仿真扫频对比结果
本文推导有功、无功功率表达式时仅考虑基频相角变换后的并网电压、电流代入计算的,这也是当前绝大多数文章推导的方法,给本文所有读者从底层建模逻辑的角度提供一个创新思路供大家参考:若推导有功、无功扰动分量时代入的是经过完整相角(θ1+∆θ)的并网电压和电流,再根据VSG有功环推导θ表达式,最后闭环θ方程,可求解出更为精确的∆θ表达式,可通过扫频及稳定性分析算例进行验证,有助于提高所建立阻抗模型及稳定性分析的精确性。
除了仿真扫频的方法外,可基于控制硬件在环实时仿真实现阻抗扫频测量,也是一种分析阻抗特性的有效研究与实验手段,其阻抗测量结果受仿真平台性能参数的影响。这部分内容本文不展开写了,有感兴趣的可学习文献[17]-[18]等。
构网型VSG变流器不仅具有本文中讲解的弱电网阻尼能力,还可提升惯量支撑能力以及电压支撑能力,关于构网型VSG变流器的并网暂态稳定性/支撑特性方面的研究可参考[19]。
7、小干扰稳定性专栏出版声明
出版声明:今年将陆续出版小干扰稳定性专栏,给大家呈现一系列小干扰稳定性相关的讲解文章(包含但不限于跟网型和构网型新能源并网系统阻抗对比与振荡机理分析、跟网型和构网型新能源并网系统小干扰动态稳定性提升控制/宽频振荡抑制策略研究、新能源/多机/多变流器型并网系统控制交互作用特性及机理分析、大规模新能源并网系统等值阻抗建模及动态特性分析、基于谐波状态空间/多谐波线性化的MMC交直流侧序阻抗建模及稳定性分析、MMC高频简化等效阻抗建模及稳定性分析等),有助于帮助初学者入门、入门者创新、研究人员解决问题、突破瓶颈。期间有任何疑问或需要的可随时联系。
共同进步!感谢支持!敬请期待!
8、文章版权声明
版权声明:本文为博主原创文章,遵循 CC 4.0 BY-SA 版权协议,转载请附上原文出处链接和本声明。
参考文献
[1] 伍文华.新能源发电接入弱电网的宽频带振荡机理及抑制方法研究[D].湖南大学,2019.
[2] 徐韵扬.振荡频率耦合下风电机组的阻抗建模与并网稳定性分析[D].浙江大学,2021.
[3] 黄萌,凌扬坚,耿华,等.功率同步控制的构网型变流器多机交互分析与稳定控制研究综述[J].高电压技术, 2023, 49(11):4571-4583.
[4] D. Chen, Y. Xu, and A. Q. Huang, “Integration of DCmicrogrids as virtual synchronous machines into the AC grid,” IEEE Trans. Ind. Electron., vol. 64, no. 9, pp. 7455–7466, Sep. 2017.
[4] M. F. M. Arani and E. F. El-Saadany, “Implementing virtual inertia in DFIG-based wind power generation,” IEEE Trans. Power Syst., vol. 28, no. 2, pp. 1373–1384, May 2013.
[5] G. Li et al., “Analysis and mitigation of subsynchronous resonance in series-compensated grid-connected system controlled by a virtual synchronous generator,” IEEE Trans. Power Electron., vol. 35, no. 10, pp. 11096–11107, Oct. 2020.
[6] A. Rodríguez-Cabero, J. Roldán-Pérez, and M. Prodanovic, “Virtual impedance design considerations for virtual synchronous machines in weak grids,” IEEE J. Emerg. Sel. Top. Power Electron., vol. 8, no. 2, pp. 1477–1489, Jun. 2020.
[7] L.Wenbing,W. Jianhua, S. Jingyu, L. Fangfang, G. Shang, andW. Zaijun, “Full-band output impedance model of virtual synchronous generator in dq framework,” in Proc. Int. Power Electron. Conf., 2018, pp. 1282–1288.
[8] A. Rygg, M. Molinas, C. Zhang and X. Cai, "A Modified Sequence-Domain Impedance Definition and Its Equivalence to the dq-Domain Impedance Definition for the Stability Analysis of AC Power Electronic Systems," in IEEE Journal of Emerging and Selected Topics in Power Electronics, vol. 4, no. 4, pp. 1383-1396, Dec. 2016.
[9] I. Vieto and J. Sun, "Sequence Impedance Modeling and Converter-Grid Resonance Analysis Considering DC Bus Dynamics and Mirrored Harmonics," 2018 IEEE 19th Workshop on Control and Modeling for Power Electronics (COMPEL), Padua, Italy, 2018, pp. 1-8.
[10] 雷雨, 李光辉, 王伟胜, 等. 跟网型和构网型新能源并网控制阻抗对比与振荡机理分析[J/OL].中国电机工程学报,1-15[2024-07-04].http://kns.cnki.net/kcms/detail/11.2107.TM.20240124.1816.011.html.
[11]刘朋印,谢小荣,李原,等.构网型控制改善跟网型变流器次/超同步振荡稳定性的机理和特性分析[J].电网技术,2024,48(03):990-997.
[12] K. Shi, Y. Wang, Y. Sun, P. Xu and F. Gao, "Frequency-Coupled Impedance Modeling of Virtual Synchronous Generators," in IEEE Transactions on Power Systems, vol. 36, no. 4, pp. 3692-3700, July 2021.
[13] 胡宇飞,田震,查晓明,等.构网型与跟网型变流器主导孤岛微网阻抗稳定性分析及提升策略[J].电力系统自动化,2022,46(24):121-131.
[14] 刘佳宁.高比例风光并网系统稳定机理与功率振荡分析[D].杭州:浙江大学,2022.
[15] LIU Bin,LI Zhen,DONG Xiaoliang,et al.Impedance modeling and controllers shaping effect analysis of PMSG wind turbines[J].IEEE Journal of Emerging and Selected Topics in Power Electronics,2021,9(2):1465-1478.
[16] 赵冰.电压控制型逆变器控制策略及并网特性研究[D].南京航空航天大学,2018.
[17] 李光辉,王伟胜,刘纯,何国庆,叶俭,孙建.基于控制硬件在环的风电机组阻抗测量及影响因素分析[J].电网技术,2019,43(5):1624-1631.
[18] 马宁宁,杜维柱,刘朋印,李蕴红,刘威,谢小荣.基于控制硬件在环测试的风电次/超同步振荡风险评估[J].中国电机工程学报,2022,42(15):5497-5505.
[19] 孙素娟.构网型风电并网暂态支撑特性和小扰动稳定性分析与实证[R].NE电气.