目录标题
图的定义Graph
- 图结构研究数据元素之间多对多的关系,任意一个顶点都可以有零个或多个前驱结点,也可以有零个或多个后继结点,亦可以作为起始顶点或终结顶点.
- Graph可简化为顶点(Vertex)和边(Edge)组合.采用形式化的定义表示一个图G=(V, R).
- G表示图,V表示顶点的非空有限集,R表示边的有限集,可为空集.
图的基本术语
顶点与邻接点
- 若P<x,y>属于V表示顶点x和顶点y之间的一条连线,则称x、y为该边的两个顶点,同时称x和y互为邻接点.且称边P<x,y>依附于顶点x和顶点y,或者称边P<x,y>与顶点x、顶点y相关联.
有向图与无向图
- 有向图:若一条边从x指向y,则称x为起点,y为终点.称这条边为弧.此时构成的图为有向图.(线条有箭头)

- 无向图:若当边P<x,y>属于V时必有边P<x,y>属于V,则E是对称的.且顶点x和y不分起点和终点,此时以无序对(x,y)来表示x与y之间的一条边,称构成的图为无向图.(线条无箭头)
- 其中:
- 边有方向有箭头,则称为弧
- 否则称为边
顶点的度degree
- 指依附于某顶点v的边数,记为D(v).
- 无向图顶点的度:关联于该顶点的边的数目,记为D(v).
- 有向图顶点的度:
- 以顶点v为终点的边的数目,称为v的入度,记为ID(v).
- 以顶点v为起点的边的数目,称为v的出度,记为OD(v).
- 顶点v的度定义为该顶点的入度与出度之和,即D(v)=ID(v)+OD(v)
- 边数与顶点的度的关系为 e = 1 2 ∑ i = 1 n D ( v i ) e = \frac{1}{2} \sum_{i=1}^{n} D(v_i) e=21i=1∑nD(vi)
路径
- 存在一个图G,从一个顶点p到另一个顶点q的路径为一个顶点序列,假如这个序列为(p,v1,v2,…,vn,q),此序列就是p到q的一条路径.
- 路径长度值一条路径上的边的数目
- 若一条路径上除了起点和终点,其余顶点各不相同,则称该路径为简单路径.
回路
- 起点和终点相同的路径称为回路.
- 起点和终点相同的简单路径称为简单回路.
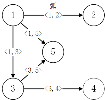
- 以上图为例:(3,2,4,3)为一条路径,也是简单路径,同时也是回路.
连通图与强连通图
- 连通图(无向图):在无向图中,若从顶点u到顶点v有一条路径,则称顶点u和v在图G中是连通的,若G图中的任意两个不同的顶点都连通,则称G为连通图.
- 强连通图(无向图):在有向图G中,若对G中任意两个不同的顶点u和v,都存在从u到v和从v到u的路径,则称G为强连通图.

稀疏图和稠密图
- 稀疏图:有很少条边的图.即n为顶点数,e为边数 ( e < n log n ) \mathcal(e<n\log n) (e<nlogn)
- 稠密图:与稀疏图相反的图.
赋权图或网
权具有某种实际意义,将其与边或者弧相关起来的数据信息称为权weight.而边带有权值的图称为赋权图或网.
- 若无向图的每一条边都带一个权,则相应的图称无向赋权图或无向网.
- 若有向图的每一条边都带一个权,则相应的图称有向赋权图或有向网.

完全图
完全图是具有最多的边数、任一对顶点都有边相连的图.若在一个完全图中,顶点树为n,边数为e.则存在:
- 对于无向图而言,若e=n(n-1)/2,则该图称为完全的无向图.
- 对于有向图而言,若e=n(n-1),则该图称为完全的无向图.

子图
假设有两个图分别为G=(V,R),和G’=(V’,R’),若V’是V的子集,R’是R的子集,则称图G’是图G的子图.

图的存储结构
图的存储结构有邻接矩阵、邻接表、十字链表和邻接多重表等.
邻接矩阵
- 核心定义公式 A [ i ] [ j ] = { 1 , ⟨ v i , v j ⟩ 或 ( v i , v j ) ∈ V 0 , 其他 A[i][j] = \begin{cases} 1, & \langle v_i, v_j \rangle \text{ 或 } (v_i, v_j) \in V \\ 0, & \text{其他} \end{cases} A[i][j]={1,0,⟨vi,vj⟩ 或 (vi,vj)∈V其他
- 其中,i和j是顶点,若任意两顶点连通则A中对应位置为1,否则为0
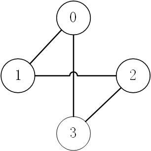
- 例如:下图无向图的矩阵为 A = [ 0 1 0 1 1 0 1 0 0 1 0 1 1 0 1 0 ] A = \begin{bmatrix} 0 & 1 & 0 & 1 \\ 1 & 0 & 1 & 0 \\ 0 & 1 & 0 & 1 \\ 1 & 0 & 1 & 0 \end{bmatrix} A=
0101101001011010

- 若为赋权图,则矩阵中的1对应具体的权重.
- 代码实现
class GraphMatrix:
def __init__(self, vertex=[], matrix=[]):
self.vertex = vertex # 顶点列表
self.matrix = matrix # 邻接矩阵
def getPosition(self, v):
"""返回顶点v在矩阵中的下标"""
for i in range(len(self.vertex)):
if v == self.vertex[i]:
return i
return -1 # 修正:遍历完所有顶点后返回-1
def addEdge(self, edges):
"""添加边集合(无向图)"""
for edge in edges:
p1 = self.getPosition(edge[0])
p2 = self.getPosition(edge[1])
if p1 == -1 or p2 == -1:
raise ValueError("顶点不存在")
self.matrix[p1][p2] = 1
self.matrix[p2][p1] = 1 # 无向图需要对称设置
def ID(self, v):
"""计算顶点入度(无向图入度=出度)"""
index = self.getPosition(v)
if index == -1:
return 0
return sum(row[index] for row in self.matrix) # 修正:遍历所有行的index列
def OD(self, v):
"""计算顶点出度"""
index = self.getPosition(v)
if index == -1:
return 0
return sum(self.matrix[index]) # 当前行的和即为出度
def traversal(self):
"""打印邻接矩阵"""
# 打印列标题
print(" ", end="")
for v in self.vertex:
print(f"{v:2}", end=" ")
print("\n +" + "-" * (3 * len(self.vertex)))
# 打印矩阵行
for i, row in enumerate(self.matrix):
print(f"{self.vertex[i]} |", end="")
for val in row:
print(f"{val:2}", end=" ")
print()
# ---------------------- 测试用例 ----------------------
if __name__ == "__main__":
# 正确测试数据(顶点与边类型一致)
nodes = [0, 1, 2, 3]
matrix = [
[0, 1, 0, 1],
[1, 0, 1, 0],
[0, 1, 0, 1],
[1, 0, 1, 0]
]
gm = GraphMatrix(vertex=nodes, matrix=matrix)
print("邻接矩阵:")
gm.traversal()
print("\n顶点3的度:", gm.ID(3)) # 正确:2
print("顶点1的度:", gm.OD(1)) # 正确:2
邻接表
邻接表结点和头结点的结构

其中:data值域,存储顶点的值
firstEdge指针域,存储依附于该顶点的第一条边
adjVex值域,存储该顶点的邻接点在顶点列表中的下标值
nextEdge指针域,存储指向邻接表中下一个结点的指针
info数据域,存储权值的信息
实例

- 代码实现
# 无权无方向的无向图
class Edge(object):
def __init__(self, adjVex):
self.adjVex = adjVex # 相邻顶点的索引
self.nextEdge = None # 指向下一个边的指针
class Vertex(object):
def __init__(self, data):
self.data = data # 顶点的数据(如顶点的名称)
self.firstEdge = None # 指向第一条边的指针
class UndirectedUnweightedGraph(object):
def __init__(self, vers, edges):
self.vers = vers # 顶点列表
self.edges = edges # 边列表
self.vexLen = len(self.vers) # 顶点数量
self.edgeLen = len(self.edges) # 边数量
self.listVex = [Vertex for i in range(self.vexLen)] # 初始化顶点列表
for i in range(self.vexLen):
self.listVex[i] = Vertex(self.vers[i]) # 创建顶点对象
for i in range(self.edgeLen):
c1 = self.edges[i][0] # 获取边的起点
c2 = self.edges[i][1] # 获取边的终点
self.addEdge(c1, c2) # 添加边
def addEdge(self, c1, c2):
p1 = self.getPosition(c1) # 获取起点的索引
p2 = self.getPosition(c2) # 获取终点的索引
edge2 = Edge(p2) # 创建从 p1 到 p2 的边
edge1 = Edge(p1) # 创建从 p2 到 p1 的边(因为是无向图)
if self.listVex[p1].firstEdge is None:
self.listVex[p1].firstEdge = edge2 # 如果 p1 没有第一条边,直接设置
else:
self.linkLast(self.listVex[p1].firstEdge, edge2) # 否则将新边添加到链表末尾
if self.listVex[p2].firstEdge is None:
self.listVex[p2].firstEdge = edge1 # 如果 p2 没有第一条边,直接设置
else:
self.linkLast(self.listVex[p2].firstEdge, edge1) # 否则将新边添加到链表末尾
def linkLast(self, list, edge):
p = list # 从链表的头部开始
while p.nextEdge:
p = p.nextEdge # 遍历链表直到找到最后一个节点
p.nextEdge = edge # 将新边添加到链表末尾
def getPosition(self, key):
for i in range(self.vexLen):
if self.listVex[i].data is key:
return i # 返回顶点的索引
return -1 # 如果顶点不存在,返回 -1
def display(self):
for i in range(self.vexLen):
print(f"{self.listVex[i].data} -> ", end="") # 打印当前顶点
edge = self.listVex[i].firstEdge
while edge:
print(f"{self.listVex[edge.adjVex].data} ", end="") # 打印相邻顶点
edge = edge.nextEdge
if edge:
print("-> ", end="") # 如果还有下一个相邻顶点,打印 "->"
print() # 换行
# ---------------------- 测试用例 ----------------------
if __name__ == "__main__":
vers = ['A', 'B', 'C', 'D'] # 顶点列表
edges = [
['A', 'B'], ['A', 'D'], ['B', 'C']
] # 边列表
G = UndirectedUnweightedGraph(vers, edges) # 创建图
G.display() # 打印邻接表
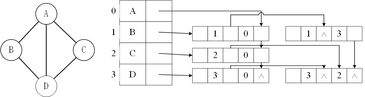
十字链表
- 表结点和头结点

头结点
- data值域,存储顶点的值
- firstIn指针域,存储指向以该顶点为弧头的顶点
- firstOut指针域,存储执行以该顶点为弧尾的顶点
表结点
- headvex值域,存储该弧的头顶点的位置
- tailvex值域,存储该弧的尾顶点的位置
- tlink指针域,存储弧尾相同的结点
- hlink指针域,存储弧头相同的结点
- info数据域,存储权值信息
代码实现
# 十字链表存储形式
class Vertex:
"""顶点类,包含数据、入边链表头指针和出边链表头指针"""
def __init__(self, data):
self.data = data # 顶点数据
self.first_in = None # 以该顶点为终点的边链表头指针
self.first_out = None # 以该顶点为起点的边链表头指针
class Edge:
"""边类,十字链表存储结构"""
def __init__(self, head_vex, tail_vex):
self.head_vex = head_vex # 弧头顶点索引(边的终点)
self.tail_vex = tail_vex # 弧尾顶点索引(边的起点)
self.hlink = None # 同一终点的下一条边
self.tlink = None # 同一起点的下一条边
class OrthogonalList:
"""十字链表有向图"""
def __init__(self, vertexs, edges):
# 顶点初始化
self.vertex_list = [Vertex(v) for v in vertexs]
self.vertex_num = len(vertexs)
# 边初始化
for from_v, to_v in edges:
self.add_edge(from_v, to_v)
def add_edge(self, from_v, to_v):
"""添加有向边"""
# 获取顶点索引
head_vex = self._get_vertex_index(from_v) # 起点索引
tail_vex = self._get_vertex_index(to_v) # 终点索引
if head_vex == -1 or tail_vex == -1:
raise ValueError("顶点不存在")
# 创建边对象
new_edge = Edge(head_vex, tail_vex)
# 添加到起点的出边链表(头插法)
new_edge.tlink = self.vertex_list[head_vex].first_out
self.vertex_list[head_vex].first_out = new_edge
# 添加到终点的入边链表(头插法)
new_edge.hlink = self.vertex_list[tail_vex].first_in
self.vertex_list[tail_vex].first_in = new_edge
def _get_vertex_index(self, key):
"""根据顶点值查找索引"""
for idx in range(self.vertex_num):
if self.vertex_list[idx].data == key: # 使用值比较而非对象标识
return idx
return -1
def in_degree(self, vertex):
"""计算顶点入度"""
count = 0
edge = vertex.first_in
while edge:
count += 1
edge = edge.hlink
return count
def out_degree(self, vertex):
"""计算顶点出度"""
count = 0
edge = vertex.first_out
while edge:
count += 1
edge = edge.tlink
return count
# ---------------------- 测试用例 ----------------------
if __name__ == "__main__":
# 测试数据
vertices = [1, 2, 3, 4, 5, 6]
edges = [
(1, 2), (4, 5), (1, 3), (1, 4), (2, 4),
(2, 5), (2, 6), (3, 5), (5, 1), (4, 6)
]
# 创建图
graph = OrthogonalList(vertices, edges)
# 验证顶点1的出入度
v1 = graph.vertex_list[0]
print(f"顶点1的入度: {graph.in_degree(v1)}") # 正确应输出1
print(f"顶点1的出度: {graph.out_degree(v1)}") # 正确应输出3
# 打印顶点连接信息
print("\n顶点1的出边:")
edge = v1.first_out
while edge:
print(f"{vertices[edge.head_vex]}->{vertices[edge.tail_vex]}")
edge = edge.tlink
邻接多重表
头结点和表结点

头结点
- data值域,存储顶点的值
- firstEdge指针域,存储依附于该顶点的第一条边
表结点
- flag标志位,标志该表结点是否已被访问
- verTex1值域,存储图中一条边一端的顶点所在数组中的位置下标
- verTex2值域,存储图中一条边另一端的顶点所在数组中的位置下标
- link1指针域,指向下一个存储与verTex1有直接关联顶点的结点
- link2指针域,指向下一个存储与verTex2有直接关联顶点的结点
示意图
