目录
A 小红的签到题
直接构造类似于 a_aaaa,a_aaaaaaaa 这种 即可
// @github https://github.com/Dddddduo
// @github https://github.com/Dddddduo/acm-java-algorithm
// @github https://github.com/Dddddduo/Dduo-mini-data_structure
import java.util.*;
import java.io.*;
import java.math.*;
import java.lang.*;
import java.time.*;
/**
* 题目地址
*
*/
// xixi♡西
public class Main {
static IoScanner sc = new IoScanner();
static final int mod = (int) (1e9 + 7);
// static final int mod = (int) (1e9 + 7);
static int n;
static int arr[];
static boolean visited[];
static ArrayList<ArrayList<Integer>> adj = new ArrayList<>();
/**
* @throws IOException
*/
private static void solve() throws IOException {
// todo
int n=sc.nextInt();
dduo("a_");
for(int i=0;i<n-2;i++) {
dduo("a");
}
}
public static void main(String[] args) throws Exception {
int t = 1;
// t = sc.nextInt();
while (t-- > 0) {
solve();
}
}
static <T> void dduo(T t) {
System.out.print(t);
}
static <T> void dduoln() {
System.out.println("");
}
static <T> void dduoln(T t) {
System.out.println(t);
}
}
/**
* IoScanner类
*
* @author Dduo
* @version 1.0
* @description 通过IO流操作缓冲区减少了与底层输入输出设备的交互次数,旨在简化 Java 中的标准输入读取操作。
*/
class IoScanner {
BufferedReader bf;
StringTokenizer st;
BufferedWriter bw;
public IoScanner() {
bf = new BufferedReader(new InputStreamReader(System.in));
st = new StringTokenizer("");
bw = new BufferedWriter(new OutputStreamWriter(System.out));
}
public String nextLine() throws IOException {
return bf.readLine();
}
public String next() throws IOException {
while (!st.hasMoreTokens()) {
st = new StringTokenizer(bf.readLine());
}
return st.nextToken();
}
public char nextChar() throws IOException {
return next().charAt(0);
}
public int nextInt() throws IOException {
return Integer.parseInt(next());
}
public long nextLong() throws IOException {
return Long.parseLong(next());
}
public double nextDouble() throws IOException {
return Double.parseDouble(next());
}
public float nextFloat() throws IOException {
return Float.parseFloat(next());
}
public BigInteger nextBigInteger() throws IOException {
return new BigInteger(next());
}
public BigDecimal nextDecimal() throws IOException {
return new BigDecimal(next());
}
}
B 小红的模拟题
第一眼以为是 dfs
但是看到了
![]()
只有一个陷阱格子
所以只要规定一条到终点的路线 先一直往右走 再一直往下走
如果陷阱格子在这条线路上
就一直往下走 再一直往右走 以到达终点
// @github https://github.com/Dddddduo
// @github https://github.com/Dddddduo/acm-java-algorithm
// @github https://github.com/Dddddduo/Dduo-mini-data_structure
import java.util.*;
import java.io.*;
import java.math.*;
import java.lang.*;
import java.time.*;
/**
* 题目地址
*
*/
// xixi♡西
public class Main {
static IoScanner sc = new IoScanner();
static final int mod = (int) (1e9 + 7);
// static final int mod = (int) (1e9 + 7);
static int n;
static int arr[];
static boolean visited[];
static ArrayList<ArrayList<Integer>> adj = new ArrayList<>();
/**
* @throws IOException
*/
private static void solve() throws IOException {
// todo
int n=sc.nextInt();
int m=sc.nextInt();
char arr[][]=new char[n][m];
for(int i=0;i<n;i++) {
String str=sc.next();
arr[i]=str.toCharArray();
}
int x=0;
int y=0;
for(int i=0;i<n;i++) {
for(int j=0;j<m;j++) {
if(arr[i][j]=='#') {
x=i;
y=j;
}
}
}
if(x==0||y==m-1) {
for(int i=0;i<n-1;i++) {
dduo("S");
}
for(int i=0;i<m-1;i++) {
dduo("D");
}
}else if(y==0||x==n-1){
for(int i=0;i<m-1;i++) {
dduo("D");
}
for(int i=0;i<n-1;i++) {
dduo("S");
}
}else {
for(int i=0;i<n-1;i++) {
dduo("S");
}
for(int i=0;i<m-1;i++) {
dduo("D");
}
}
}
public static void main(String[] args) throws Exception {
int t = 1;
// t = sc.nextInt();
while (t-- > 0) {
solve();
}
}
static <T> void dduo(T t) {
System.out.print(t);
}
static <T> void dduoln() {
System.out.println("");
}
static <T> void dduoln(T t) {
System.out.println(t);
}
}
/**
* IoScanner类
*
* @author Dduo
* @version 1.0
* @description 通过IO流操作缓冲区减少了与底层输入输出设备的交互次数,旨在简化 Java 中的标准输入读取操作。
*/
class IoScanner {
BufferedReader bf;
StringTokenizer st;
BufferedWriter bw;
public IoScanner() {
bf = new BufferedReader(new InputStreamReader(System.in));
st = new StringTokenizer("");
bw = new BufferedWriter(new OutputStreamWriter(System.out));
}
public String nextLine() throws IOException {
return bf.readLine();
}
public String next() throws IOException {
while (!st.hasMoreTokens()) {
st = new StringTokenizer(bf.readLine());
}
return st.nextToken();
}
public char nextChar() throws IOException {
return next().charAt(0);
}
public int nextInt() throws IOException {
return Integer.parseInt(next());
}
public long nextLong() throws IOException {
return Long.parseLong(next());
}
public double nextDouble() throws IOException {
return Double.parseDouble(next());
}
public float nextFloat() throws IOException {
return Float.parseFloat(next());
}
public BigInteger nextBigInteger() throws IOException {
return new BigInteger(next());
}
public BigDecimal nextDecimal() throws IOException {
return new BigDecimal(next());
}
}
C 小红的方神题
其实我想了一会
然后根据样例试了试

输入 4
1 4 3 2
输入 5
1 5 4 3 2
都是符合的
// @github https://github.com/Dddddduo
// @github https://github.com/Dddddduo/acm-java-algorithm
// @github https://github.com/Dddddduo/Dduo-mini-data_structure
import java.util.*;
import java.io.*;
import java.math.*;
import java.lang.*;
import java.time.*;
/**
* 题目地址
*
*/
// xixi♡西
public class Main {
static IoScanner sc = new IoScanner();
static final int mod = (int) (1e9 + 7);
// static final int mod = (int) (1e9 + 7);
static int n;
static int arr[];
static boolean visited[];
static ArrayList<ArrayList<Integer>> adj = new ArrayList<>();
/**
* @throws IOException
*/
private static void solve() throws IOException {
// todo
int n=sc.nextInt();
if(n==1||n==2) {
dduoln("-1");
return;
}
dduo(1+" ");
for(int i=n;i>=2;i--) {
dduo(i+" ");
}
}
public static void main(String[] args) throws Exception {
int t = 1;
// t = sc.nextInt();
while (t-- > 0) {
solve();
}
}
static <T> void dduo(T t) {
System.out.print(t);
}
static <T> void dduoln() {
System.out.println("");
}
static <T> void dduoln(T t) {
System.out.println(t);
}
}
/**
* IoScanner类
*
* @author Dduo
* @version 1.0
* @description 通过IO流操作缓冲区减少了与底层输入输出设备的交互次数,旨在简化 Java 中的标准输入读取操作。
*/
class IoScanner {
BufferedReader bf;
StringTokenizer st;
BufferedWriter bw;
public IoScanner() {
bf = new BufferedReader(new InputStreamReader(System.in));
st = new StringTokenizer("");
bw = new BufferedWriter(new OutputStreamWriter(System.out));
}
public String nextLine() throws IOException {
return bf.readLine();
}
public String next() throws IOException {
while (!st.hasMoreTokens()) {
st = new StringTokenizer(bf.readLine());
}
return st.nextToken();
}
public char nextChar() throws IOException {
return next().charAt(0);
}
public int nextInt() throws IOException {
return Integer.parseInt(next());
}
public long nextLong() throws IOException {
return Long.parseLong(next());
}
public double nextDouble() throws IOException {
return Double.parseDouble(next());
}
public float nextFloat() throws IOException {
return Float.parseFloat(next());
}
public BigInteger nextBigInteger() throws IOException {
return new BigInteger(next());
}
public BigDecimal nextDecimal() throws IOException {
return new BigDecimal(next());
}
}
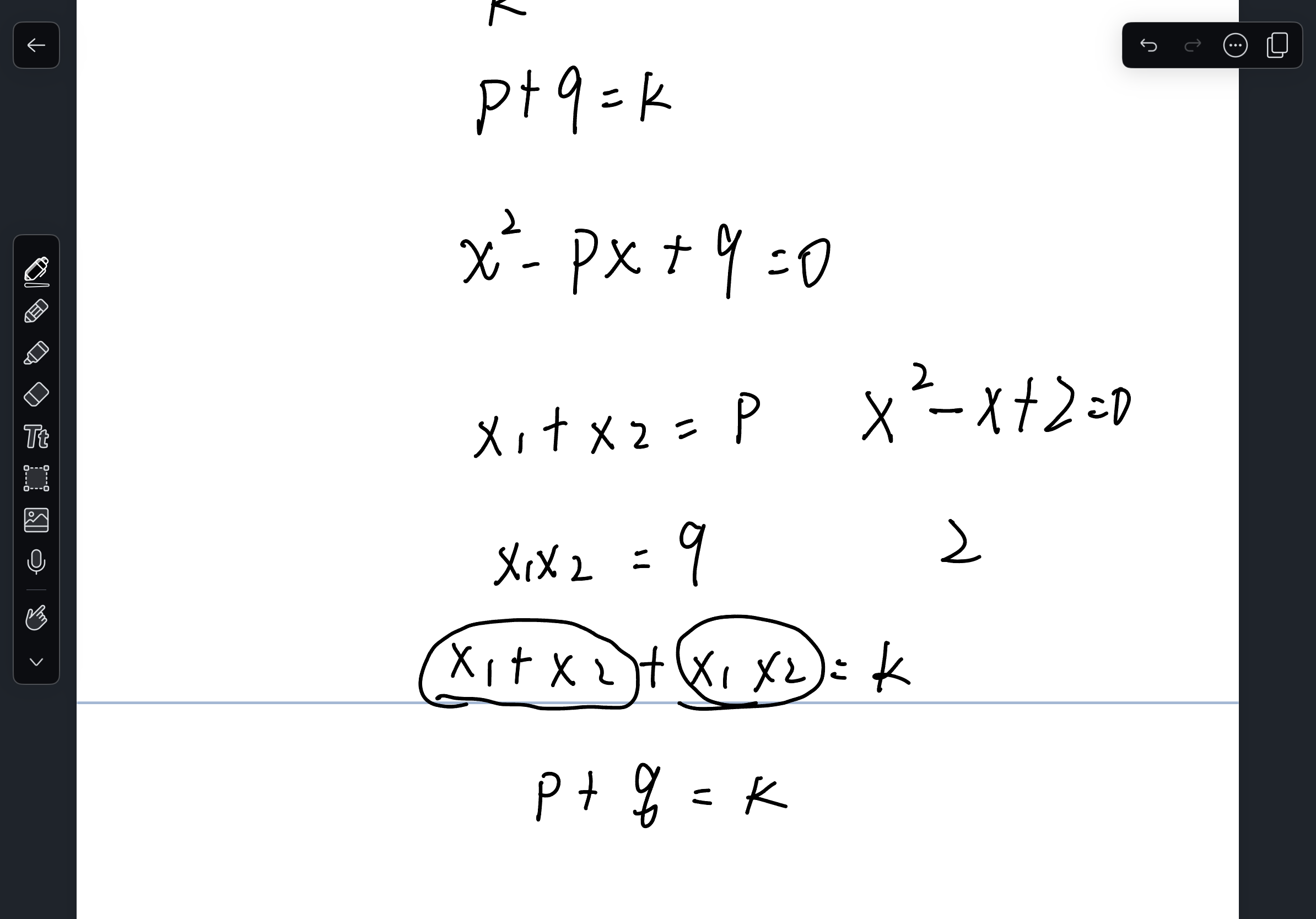
D 小红的数学题

我的首先想到的是韦达定理
要求是 x1 x2 互不相同 而且 x1+x2+x1*x2==k
之后 x1+x2 为 p ,x1*x2 为 q

其次进行了打表
获取了大量数据

发现奇数的话 是一定可以的 只要构造其中一个数为 1 即可
接着是偶数
我找出的规律是这样的

然后根据规律推
放大循环的次数 就过了
// @github https://github.com/Dddddduo
// @github https://github.com/Dddddduo/acm-java-algorithm
// @github https://github.com/Dddddduo/Dduo-mini-data_structure
import java.util.*;
import java.io.*;
import java.math.*;
import java.lang.*;
import java.time.*;
/**
* 题目地址
*
*/
// xixi♡西
public class Main {
static IoScanner sc = new IoScanner();
static final int mod = (int) (1e9 + 7);
// static final int mod = (int) (1e9 + 7);
static int n;
static int arr[];
static boolean visited[];
static ArrayList<ArrayList<Integer>> adj = new ArrayList<>();
/**
* @throws IOException
*/
private static void solve() throws IOException {
// todo
// TreeSet<Integer>hs=new TreeSet<>();
// for(int i=1;i<=100;i++) {
// for(int j=i+1;j<=100;j++) {
// // k
// if( (i+j+i*j) %2==0) {
// dduoln((i+j)+" "+(i*j)+" "+(i+j+i*j));
// }
// hs.add((i+j+i*j));
// }
// }
//
// for(Integer i:hs) {
// if(i%2==0) {
// dduoln(i);
// }
// }
long k=sc.nextLong();
if(k%2!=0) {
// 奇数
if(k==1||k==3) {
dduoln("-1");
return;
}
long ans1=k-1;
ans1/=2;
long ans2=(1+ans1);
dduoln((ans1)+" "+(ans2));
}else {
// 偶数
long zuobian=14;
long youbian=6;
long zuopbianjia=12;
long youbianjia=4;
// todo
for(int i=0;i<1000000;i++) {
if(k-zuobian<0) {
dduoln("-1");
return;
}
long youbianshengxialai=k-zuobian;
if(youbianshengxialai%youbian==0) {
long nn=youbianshengxialai/youbian;
// dduoln(nn);
// dduoln((zuobian-youbian)+" "+nn*(youbian-2));
dduoln((youbian+2*nn)+" "+((zuobian-youbian)+(nn*(youbian-2))));
return;
}
zuopbianjia+=8;
zuobian+=zuopbianjia;
youbian+=youbianjia;
}
}
}
public static void main(String[] args) throws Exception {
int t = 1;
// t = sc.nextInt();
while (t-- > 0) {
solve();
}
}
static <T> void dduo(T t) {
System.out.print(t);
}
static <T> void dduoln() {
System.out.println("");
}
static <T> void dduoln(T t) {
System.out.println(t);
}
}
/**
* IoScanner类
*
* @author Dduo
* @version 1.0
* @description 通过IO流操作缓冲区减少了与底层输入输出设备的交互次数,旨在简化 Java 中的标准输入读取操作。
*/
class IoScanner {
BufferedReader bf;
StringTokenizer st;
BufferedWriter bw;
public IoScanner() {
bf = new BufferedReader(new InputStreamReader(System.in));
st = new StringTokenizer("");
bw = new BufferedWriter(new OutputStreamWriter(System.out));
}
public String nextLine() throws IOException {
return bf.readLine();
}
public String next() throws IOException {
while (!st.hasMoreTokens()) {
st = new StringTokenizer(bf.readLine());
}
return st.nextToken();
}
public char nextChar() throws IOException {
return next().charAt(0);
}
public int nextInt() throws IOException {
return Integer.parseInt(next());
}
public long nextLong() throws IOException {
return Long.parseLong(next());
}
public double nextDouble() throws IOException {
return Double.parseDouble(next());
}
public float nextFloat() throws IOException {
return Float.parseFloat(next());
}
public BigInteger nextBigInteger() throws IOException {
return new BigInteger(next());
}
public BigDecimal nextDecimal() throws IOException {
return new BigDecimal(next());
}
}
E 小红的 ds 题
我感觉这题的难度小于 D
给出二叉树每一层的节点
然后构造出二叉树
每个节点有 0 个 1 个 2 个节点
我们直接顺着往下构造就行
直接一层一层推
什么情况下构造不出来呢
当这下层的节点数大于这一层的两倍时无法构造 因为这一层的每个节点最多连下一层的两个节点
接着就是一个个构造

// @github https://github.com/Dddddduo
// @github https://github.com/Dddddduo/acm-java-algorithm
// @github https://github.com/Dddddduo/Dduo-mini-data_structure
import java.util.*;
import java.io.*;
import java.math.*;
import java.lang.*;
import java.time.*;
/**
* 题目地址
*
*/
// xixi♡西
public class Main {
static IoScanner sc = new IoScanner();
static final int mod = (int) (1e9 + 7);
// static final int mod = (int) (1e9 + 7);
static int n;
static int arr[];
static boolean visited[];
static ArrayList<ArrayList<Integer>> adj = new ArrayList<>();
/**
* @throws IOException
*/
private static void solve() throws IOException {
// todo
int n=sc.nextInt();
long arr[]=new long[n+1];
for(int i=1;i<=n;i++) {
arr[i]=sc.nextLong();
}
for(int i=2;i<=n;i++) {
if( (arr[i]) > (arr[i-1]*2) ) {
dduoln("-1");
return;
}
}
dduoln("1");
long cnt=2;
for(int i=1;i<=n;i++) {
long ans=arr[i]; // 当前层有多少节点
if(i==n) {
// 最后一层
for(int j=0;j<ans;j++) {
dduoln("-1 -1");
}
}else {
// 下一层有多少个节点
long next=arr[i+1];
// cnt+=ans;
for(int j=0;j<ans;j++) {
if(next>=2) {
dduo(cnt);
dduo(" ");
cnt++;
dduoln(cnt);
cnt++;
next-=2;
}else if(next==1){
dduo(cnt);
dduo(" ");
cnt++;
dduoln("-1");
next-=1;
}else {
dduoln("-1 -1");
}
}
}
// cnt+=ans;
}
}
public static void main(String[] args) throws Exception {
int t = 1;
// t = sc.nextInt();
while (t-- > 0) {
solve();
}
}
static <T> void dduo(T t) {
System.out.print(t);
}
static <T> void dduoln() {
System.out.println("");
}
static <T> void dduoln(T t) {
System.out.println(t);
}
}
/**
* IoScanner类
*
* @author Dduo
* @version 1.0
* @description 通过IO流操作缓冲区减少了与底层输入输出设备的交互次数,旨在简化 Java 中的标准输入读取操作。
*/
class IoScanner {
BufferedReader bf;
StringTokenizer st;
BufferedWriter bw;
public IoScanner() {
bf = new BufferedReader(new InputStreamReader(System.in));
st = new StringTokenizer("");
bw = new BufferedWriter(new OutputStreamWriter(System.out));
}
public String nextLine() throws IOException {
return bf.readLine();
}
public String next() throws IOException {
while (!st.hasMoreTokens()) {
st = new StringTokenizer(bf.readLine());
}
return st.nextToken();
}
public char nextChar() throws IOException {
return next().charAt(0);
}
public int nextInt() throws IOException {
return Integer.parseInt(next());
}
public long nextLong() throws IOException {
return Long.parseLong(next());
}
public double nextDouble() throws IOException {
return Double.parseDouble(next());
}
public float nextFloat() throws IOException {
return Float.parseFloat(next());
}
public BigInteger nextBigInteger() throws IOException {
return new BigInteger(next());
}
public BigDecimal nextDecimal() throws IOException {
return new BigDecimal(next());
}
}
F 小红的小苯题

构造一个矩阵 每行每列的异或和构成排列
这样构造 然后正好要满足这个情况
就是 行加列%4==3
很奇妙!

// @github https://github.com/Dddddduo
// @github https://github.com/Dddddduo/acm-java-algorithm
// @github https://github.com/Dddddduo/Dduo-mini-data_structure
import java.util.*;
import java.io.*;
import java.math.*;
import java.lang.*;
import java.time.*;
/**
* 题目地址
*
*/
// xixi♡西
public class Main {
static IoScanner sc = new IoScanner();
static final int mod = (int) (1e9 + 7);
// static final int mod = (int) (1e9 + 7);
static int n;
static int arr[];
static boolean visited[];
static ArrayList<ArrayList<Integer>> adj = new ArrayList<>();
/**
* @throws IOException
*/
// 2 5
// 0 0 0 0 7
// 1 2 3 4 2
private static void solve() throws IOException {
// todo
int n = sc.nextInt();
int m = sc.nextInt();
int k = n + m;
if (k % 4 != 3) {
dduoln("-1");
return;
}
// 行
int[] rows = new int[n];
for (int i = 0; i < n; i++) {
rows[i] = k - i;
}
// 列
int[] cols = new int[m];
for (int i = 0; i < m; i++) {
cols[i] = i + 1;
}
int[][] arr = new int[n][m];
for (int i = 0; i < n - 1; i++) {
for (int j = 0; j < m - 1; j++) {
arr[i][j] = 0;
}
arr[i][m - 1] = rows[i];
}
if (m == 0) {
dduoln("-1");
return;
}
// 列处理
for (int j = 0; j < m - 1; j++) {
arr[n - 1][j] = cols[j];
}
int ans = 0;
for (int i = 0; i < n - 1; i++) {
ans ^= rows[i];
}
int x = cols[m - 1] ^ ans;
arr[n - 1][m - 1] = x;
for (int i = 0; i < n; i++) {
int xor = 0;
for (int num : arr[i]) {
xor ^= num;
}
assert xor == rows[i] : "Row " + i + " xor error";
}
for (int j = 0; j < m; j++) {
int xor = 0;
for (int i = 0; i < n; i++) {
xor ^= arr[i][j];
}
assert xor == cols[j] : "Col " + j + " xor error";
}
for (int[] row : arr) {
StringBuilder sb = new StringBuilder();
for (int num : row) {
sb.append(num).append(" ");
}
dduoln(sb.toString());
}
}
public static void main(String[] args) throws Exception {
int t = 1;
// t = sc.nextInt();
while (t-- > 0) {
solve();
}
}
static <T> void dduo(T t) {
System.out.print(t);
}
static <T> void dduoln() {
System.out.println("");
}
static <T> void dduoln(T t) {
System.out.println(t);
}
}
/**
* IoScanner类
*
* @author Dduo
* @version 1.0
* @description 通过IO流操作缓冲区减少了与底层输入输出设备的交互次数,旨在简化 Java 中的标准输入读取操作。
*/
class IoScanner {
BufferedReader bf;
StringTokenizer st;
BufferedWriter bw;
public IoScanner() {
bf = new BufferedReader(new InputStreamReader(System.in));
st = new StringTokenizer("");
bw = new BufferedWriter(new OutputStreamWriter(System.out));
}
public String nextLine() throws IOException {
return bf.readLine();
}
public String next() throws IOException {
while (!st.hasMoreTokens()) {
st = new StringTokenizer(bf.readLine());
}
return st.nextToken();
}
public char nextChar() throws IOException {
return next().charAt(0);
}
public int nextInt() throws IOException {
return Integer.parseInt(next());
}
public long nextLong() throws IOException {
return Long.parseLong(next());
}
public double nextDouble() throws IOException {
return Double.parseDouble(next());
}
public float nextFloat() throws IOException {
return Float.parseFloat(next());
}
public BigInteger nextBigInteger() throws IOException {
return new BigInteger(next());
}
public BigDecimal nextDecimal() throws IOException {
return new BigDecimal(next());
}
}