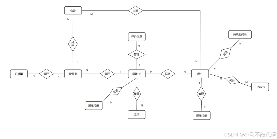
1、系统E-R图
系统E-R图(实体-关系图)是一种用于建模数据库结构的图形工具,用于清晰地表示系统中的实体、实体属性以及实体之间的关系。它通过矩形表示实体、椭圆表示属性、菱形表示关系,并使用连接线表示各元素之间的联系。绘制E-R图时,通常先识别系统中的主要实体及其属性,再确定实体间的关系及其类型(如一对一、一对多、多对多),最终形成反映系统业务逻辑的数据模型基础。可以简化为如下图画法:

2、UML类图
UML类图是用来描述系统中类的静态结构及其之间关系的核心图形工具,广泛应用于面向对象系统的建模中。类图通过“矩形”表示类,内部包括类名、属性和方法;类与类之间的关系主要包括关联(实线)、依赖(虚线箭头)、继承/泛化(带空心三角的实线箭头)、实现(带空心三角的虚线箭头)、聚合(带空心菱形的实线)和 组合(带实心菱形的实线)等。绘制类图时,首先确定系统的关键类及其属性、方法,然后根据类之间的业务或结构关系建立连接。相关实现案例具体如下图所示:

3、UML用例图
UML用例图是统一建模语言(UML)中用于描述系统功能需求的一种图形化工具,主要用于展示系统的参与者(Actor)与用例(Use Case)之间的交互关系。用例图通过“椭圆”表示用例(即系统提供的功能或服务),通过“小人图标”表示参与者(即与系统交互的用户或其他系统),使用连接线展示参与者与用例之间的交互。相关案例如下图所示:

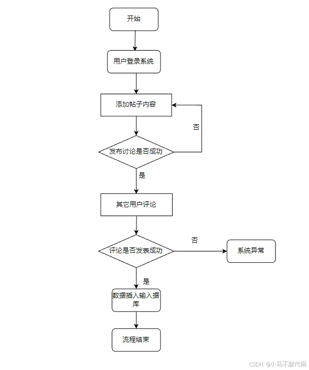
4、流程图
流程图是一种用于描述业务流程、算法步骤或操作过程的图形化工具,能直观展示任务的执行顺序和逻辑结构。它通过标准图形符号表示不同类型的操作:起止符用椭圆表示、处理步骤用矩形表示、判断/分支用菱形表示、流程线用箭头连接表示执行方向。绘制流程图时,先理清业务或算法的步骤顺序,再用标准图形逐步绘制,确保逻辑清晰、结构明了。下图以用户发贴和发表评论为例:

5、时序图
时序图是UML中用于描述对象之间按时间顺序发生的交互过程的一种交互图,常用于分析系统中消息的发送与接收过程。它通过纵向表示时间流向,横向表示参与交互的对象或类,以生命线(虚线)表示对象的存在过程,实线箭头表示同步消息、虚线箭头表示返回消息,还可包含激活条表示对象处理活动的时段。绘制时序图时,先识别交互参与者与关键对象,再按时间顺序排列消息流,用于清晰呈现系统行为逻辑、对象协作及调用关系。注意这里的箭头顺序以及上下调用关系,返回的信息要用虚线箭头。这里以岗位添加为例说明:

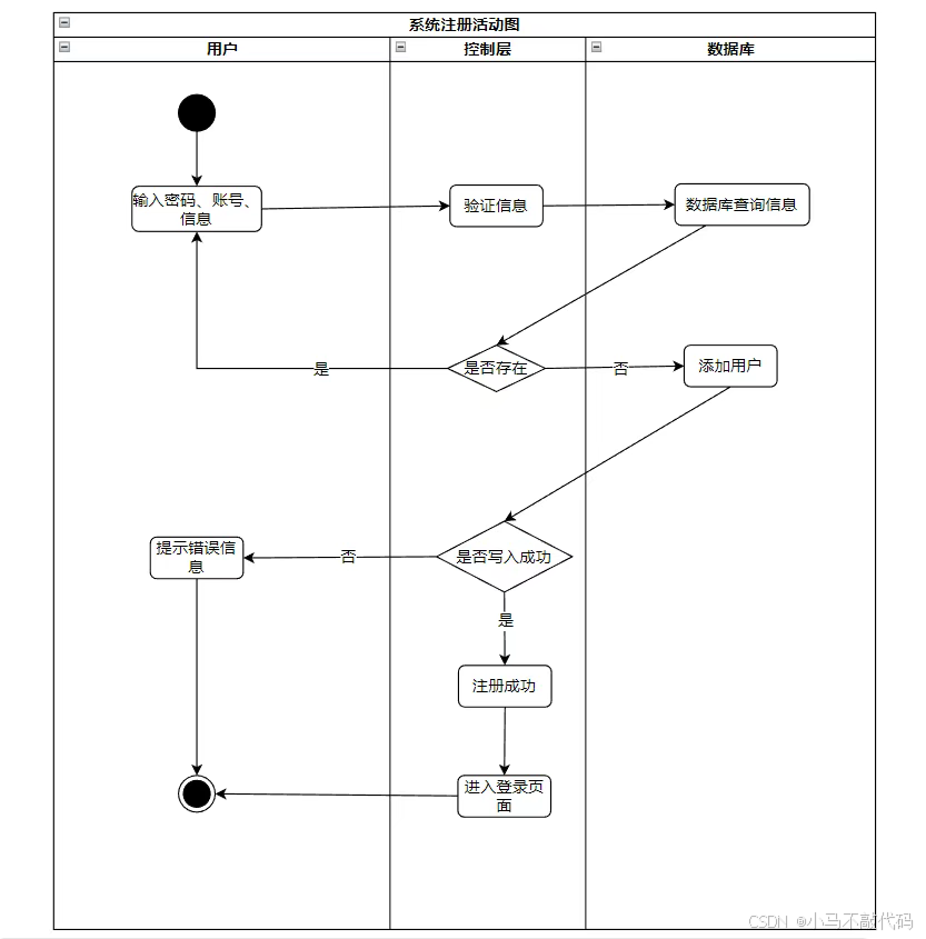
6、系统活动设计图
活动图是UML中用于描述系统中业务流程或操作过程的一种行为图,强调流程中的控制流与数据流,适合建模复杂的业务逻辑、条件判断和并发操作。图中常用椭圆表示开始节点、带黑点的圆表示结束节点、矩形框表示具体活动或操作、菱形表示条件判断或分支,箭头表示流程的走向,还可使用 泳道 划分不同角色或模块的职责。绘制时,先明确流程起点,逐步梳理操作步骤与决策路径,并标注并行或条件逻辑,用以可视化系统行为和流程控制。这里以用户注册为例说明:

7、协作图
协作图(也称通信图)是UML中用于表示对象之间在特定场景下交互关系的一种交互图,重点展示对象之间的结构关系与消息传递顺序。图中通过对象框表示参与交互的对象,连线表示对象之间的关联关系,带编号的箭头表示消息的发送方向及顺序。与时序图不同,协作图更强调对象之间的静态连接结构与消息流,而非时间维度。绘制时,先确定参与对象及其关系,再按业务逻辑标注消息顺序与传递方向,有助于理解对象协作方式和职责分配。这里以岗位投递为例说明:

8、整体功能结构图
整体功能结构图是用于描述系统各个功能模块及其层次关系的图形化工具,强调系统功能的分解与组织结构。图中通常采用自上而下的树状结构,顶层表示系统总体功能,向下逐层细化为子功能模块,通过框图表示功能单元,连接线表示层级或从属关系。绘制时,先明确系统的核心功能,再逐步分解为子功能,直至达到可实现的具体操作级别。这里以高校兼职管理系统为例说明:

9、系统架构图
系统架构图是用于全面展示软件系统各组成部分及其相互关系的图形工具,反映系统的技术结构、模块划分、部署方式和通信机制。图中通常使用矩形或图标表示系统组件或服务模块,箭头表示数据流或调用关系,可结合 层次结构(如表现层、业务层、数据层)或 部署结构(如客户端、服务器、数据库)来组织展示。绘制时需根据系统特点,明确组件边界、技术选型和交互方式。简单架构绘制说明如下图:
