目录
一、定义
1.1 树的定义

树是一种数据结构,它是由n(n≥0)个有限节点组成一个具有层次关系的集合。把它叫做“树”是因为它看起来像一棵倒挂的树,也就是说它是根朝上,而叶朝下的。它具有以下的特点:
每个节点有零个或多个子节点;
没有父节点的节点称为根节点;
每一个非根节点有且只有一个父节点;除了根节点外,每个子节点可以分为多个不相交的子树。
1.2 树的种类
无序树:树中任意节点的子结点之间没有顺序关系,这种树称为无序树,也称为自由树;
有序树:树中任意节点的子结点之间有顺序关系,这种树称为有序树;
二叉树:每个节点最多含有两个子树的树称为二叉树;
满二叉树:叶节点除外的所有节点均含有两个子树的树被称为满二叉树;
完全二叉树:除最后一层外,所有层都是满节点,且最后一层缺右边连续节点的二叉树称为完全二叉树;
哈夫曼树(最优二叉树):带权路径最短的二叉树称为哈夫曼树或最优二叉树。
1.3 二叉树的定义
二叉树(Binary tree)是树形结构的一个重要类型。许多实际问题抽象出来的数据结构往往是二叉树形式,即使是一般的树也能简单地转换为二叉树,而且二叉树的存储结构及其算法都较为简单,因此二叉树显得特别重要。二叉树特点是每个节点最多只能有两棵子树,且有左右之分。
二叉树是n个有限元素的集合,该集合或者为空、或者由一个称为根(root)的元素及两个不相交的、被分别称为左子树和右子树的二叉树组成,是有序树。当集合为空时,称该二叉树为空二叉树。在二叉树中,一个元素也称作一个节点。
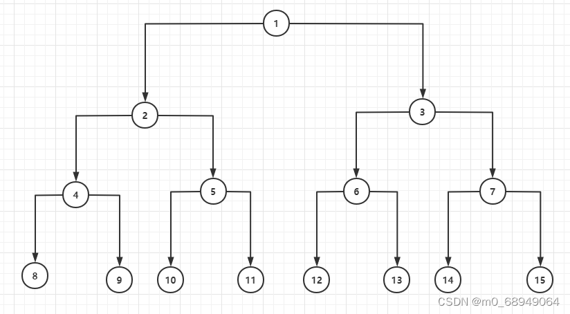
1.4 二叉树的遍历
遍历表达法有4种方法:先序遍历、中序遍历、后序遍历、层次遍历

例如上图:
其先序遍历(又称先根遍历)为ABDCEF(根-左-右)
其中序遍历(又称中根遍历)为DBAECF(左-根-右)(仅二叉树有中序遍历)
其后序遍历(又称后根遍历)为DBEFCA(左-右-根)
其层次遍历为ABCDEF(同广度优先搜索)
1.5 二叉树相关知识点
| 名词 | 介绍 |
|---|---|
| 节点 | 包含一个数据元素及若干指向子树分支的信息 |
| 节点的度 | 一个节点拥有子树的数目称为节点的度 |
| 叶子节点 | 也称为终端节点,没有子树的节点或者度为零的节点 |
| 分支节点 | 也称为非终端节点,度不为零的节点称为非终端节点 |
| 树的度 | 树中所有节点的度的最大值 |
| 节点的层次 | 从根节点开始,假设根节点为第1层,根节点的子节点为第2层,依此类推,如果某一个节点位于第L层,则其子节点位于第L+1层 |
| 树的深度(高度) | 也称为树的高度,树中所有节点的层次最大值称为树的深度 |
| 有序树 | 如果树中各棵子树的次序是有先后次序,则称该树为有序树 |
| 无序树 | 如果树中各棵子树的次序没有先后次序,则称该树为无序树 |
| 森林 | 由m(m≥0)棵互不相交的树构成一片森林。如果把一棵非空的树的根节点删除,则该树就变成了一片森林,森林中的树由原来根节点的各棵子树构成 |
1.6 C语言实现二叉树的存储
代码:
#include <stdio.h>
#include <stdlib.h>
//树的结点
typedef struct node{
int data;
struct node* left;
struct node* right;
} Node;
//树根
typedef struct {
Node* root;
} Tree;
//创建树--插入数据
void insert(Tree* tree, int value){
//创建一个节点,让左右指针全部指向空,数据为value
Node* node=(Node*)malloc(sizeof(Node));
node->data = value;
node->left = NULL;
node->right = NULL;
//判断树是不是空树,如果是,直接让树根指向这一个结点即可
if (tree->root == NULL){
tree->root = node;
} else {//不是空树
Node* temp = tree->root;//从树根开始
while (temp != NULL){
if (value < temp->data){ //小于就进左儿子
if (temp->left == NULL){
temp->left = node;
return;
} else {//继续往下搜寻
temp = temp->left;
}
} else { //否则进右儿子
if (temp->right == NULL){
temp->right = node;
return;
}
else {//继续往下搜寻
temp = temp->right;
}
}
}
}
return;
}
//树的先序遍历 Preorder traversal
void preorder(Node* node){
if (node != NULL)
{
printf("%d ",node->data);
preorder(node->left);
preorder(node->right);
}
}
//树的中序遍历 In-order traversal
void inorder(Node* node){
if (node != NULL)
{
inorder(node->left);
printf("%d ",node->data);
inorder(node->right);
}
}
//树的后序遍历 Post-order traversal
void postorder(Node* node){
if (node != NULL)
{
postorder(node->left);
postorder(node->right);
printf("%d ",node->data);
}
}
int main(){
Tree tree;
tree.root = NULL;//创建一个空树
int n;
printf("请输出节点个数:");
scanf("%d",&n);
//输入n个数并创建这个树
for (int i = 0; i < n; i++){
int temp;
scanf("%d",&temp);
insert(&tree, temp);
}
printf("树的先序遍历结果:");
preorder(tree.root);
printf("\n");
printf("树的中序遍历结果:");
inorder(tree.root);
printf("\n");
printf("树的后序遍历结果:");
postorder(tree.root);
printf("\n");
return 0;
}
演示结果:

二、特殊的二叉树
真二叉树(Proper Binary Tree)
定义:所有节点的度要么为0,要么为2

满二叉树(Full Binary Tree)
定义:所有节点的度要么为0,要么为2,且所有的叶子节点都在最后一层
性质:假设满二叉树的高度为h(h ≥ 1),那么
第 i 层的结点数量:
叶子结点数量:
总结点数:n =- 1 =
+
+
… +
高度:h =(n+1)
满二叉树一定是真二叉树,真二叉树不一定是满二叉树。

完全二叉树(Complete Binary Tree)
定义:叶子节点只会出现"最后2层",且"最后1层"的叶子节点都靠"左对齐"
满二叉树一定是完全二叉树,完全二叉树不一定是满二叉树。

三、其他常用的计算机应用中的树
二叉查找树
二叉查找树(Binary Search Tree),又称二叉排序树(Binary Sort Tree),亦称二叉搜索树。是数据结构中的一类。在一般情况下,查询效率比链表结构要高。
一棵空树或者是具有下列性质的二叉树:
(1)若左子树不空,则左子树上所有结点的值均小于它的根结点的值;
(2)若右子树不空,则右子树上所有结点的值均大于它的根结点的值;
(3)左、右子树也分别为二叉排序树;
特性:左子树<根<右子树 ,即二叉查找树的中序遍历是一个递增序列。没有键值相等的结点。
如下图的二叉查找树,中序遍历结果为 5、8、10、12、 13、15、16、18

C语言实现二叉查找树:
#include<stdio.h>
#include<stdlib.h>
#define TRUE 1
#define FALSE 0
#define ElemType int
#define KeyType int
/* 二叉排序树的节点结构定义 */
typedef struct BiTNode
{
int data;
struct BiTNode *lchild, *rchild;
} BiTNode, *BiTree;
//二叉排序树查找算法
int SearchBST(BiTree T, KeyType key, BiTree f, BiTree *p) {
//如果 T 指针为空,说明查找失败,令 p 指针指向查找过程中最后一个叶子结点,并返回查找失败的信息
if (!T) {
*p = f;
return FALSE;
}
//如果相等,令 p 指针指向该关键字,并返回查找成功信息
else if (key == T->data) {
*p = T;
return TRUE;
}
//如果 key 值比 T 根结点的值小,则查找其左子树;反之,查找其右子树
else if (key < T->data) {
return SearchBST(T->lchild, key, T, p);
}
else {
return SearchBST(T->rchild, key, T, p);
}
}
int InsertBST(BiTree *T, ElemType e) {
BiTree p = NULL;
//如果查找不成功,需做插入操作
if (!SearchBST((*T), e, NULL, &p)) {
//初始化插入结点
BiTree s = (BiTree)malloc(sizeof(BiTNode));
s->data = e;
s->lchild = s->rchild = NULL;
//如果 p 为NULL,说明该二叉排序树为空树,此时插入的结点为整棵树的根结点
if (!p) {
*T = s;
}
//如果 p 不为 NULL,则 p 指向的为查找失败的最后一个叶子结点,只需要通过比较 p 和 e 的值确定 s 到底是 p 的左孩子还是右孩子
else if (e < p->data) {
p->lchild = s;
}
else {
p->rchild = s;
}
return TRUE;
}
//如果查找成功,不需要做插入操作,插入失败
return FALSE;
}
//删除函数
int Delete(BiTree *p)
{
BiTree q, s;
//情况 1,结点 p 本身为叶子结点,直接删除即可
if (!(*p)->lchild && !(*p)->rchild) {
*p = NULL;
}
else if (!(*p)->lchild) { //左子树为空,只需用结点 p 的右子树根结点代替结点 p 即可;
q = *p;
*p = (*p)->rchild;
free(q);
}
else if (!(*p)->rchild) {//右子树为空,只需用结点 p 的左子树根结点代替结点 p 即可;
q = *p;
*p = (*p)->lchild;//这里不是指针 *p 指向左子树,而是将左子树存储的结点的地址赋值给指针变量 p
free(q);
}
else {//左右子树均不为空,采用第 2 种方式
q = *p;
s = (*p)->lchild;
//遍历,找到结点 p 的直接前驱
while (s->rchild)
{
q = s;
s = s->rchild;
}
//直接改变结点 p 的值
(*p)->data = s->data;
//判断结点 p 的左子树 s 是否有右子树,分为两种情况讨论
if (q != *p) {
q->rchild = s->lchild;//若有,则在删除直接前驱结点的同时,令前驱的左孩子结点改为 q 指向结点的孩子结点
}
else {
q->lchild = s->lchild;//否则,直接将左子树上移即可
}
free(s);
}
return TRUE;
}
int DeleteBST(BiTree *T, int key)
{
if (!(*T)) {//不存在关键字等于key的数据元素
return FALSE;
}
else
{
if (key == (*T)->data) {
Delete(T);
return TRUE;
}
else if (key < (*T)->data) {
//使用递归的方式
return DeleteBST(&(*T)->lchild, key);
}
else {
return DeleteBST(&(*T)->rchild, key);
}
}
}
void order(BiTree t)//中序输出
{
if (t == NULL) {
return;
}
order(t->lchild);
printf("%d ", t->data);
order(t->rchild);
}
int main()
{
int i;
int a[8] = { 12,8,18,5,10,15,13,16 };
BiTree T = NULL;
for (i = 0; i < 8; i++) {
InsertBST(&T, a[i]);
}
printf("中序遍历二叉排序树:\n");
order(T);
printf("\n");
printf("删除10后,中序遍历二叉排序树:\n");
DeleteBST(&T, 10);
order(T);
printf("\n");
}
实现结果:

AVL树(自平衡二叉查找树)
AVL树是最先发明的自平衡二叉查找树。在AVL树中任何节点的两个子树的高度最大差别为1,所以它也被称为高度平衡树。增加和删除可能需要通过一次或多次树旋转来重新平衡这个树。AVL树得名于它的发明者G. M. Adelson-Velsky和E. M. Landis。
AVL树本质上还是一棵二叉搜索树,它的特点是:
1.本身首先是一棵二叉搜索树。
2.带有平衡条件:每个结点的左右子树的高度之差的绝对值(平衡因子)最多为1。也就是说,AVL树,本质上是带了平衡功能的二叉查找树(二叉排序树,二叉搜索树)。
如下图所示:

红黑树
红黑树(Red Black Tree) 是一种自平衡二叉查找树,是在计算机科学中用到的一种数据结构,典型的用途是实现关联数组。红黑树是在1972年由Rudolf Bayer发明的,当时被称为平衡二叉B树(symmetric binary B-trees)。后来,在1978年被 Leo J. Guibas 和 Robert Sedgewick 修改为如今的“红黑树”。红黑树是一种特化的AVL树(平衡二叉树),都是在进行插入和删除操作时通过特定操作保持二叉查找树的平衡,从而获得较高的查找性能。
红黑树是每个结点都带有颜色属性的二叉查找树,颜色或红色或黑色。在二叉查找树强制一般要求以外,红黑树特征:
1. 结点是红色或黑色。
2. 根结点是黑色。
3. 所有叶子都是黑色。(叶子是NIL结点)
4. 每个红色结点的两个子结点都是黑色。(从每个叶子到根的所有路径上不能有两个连续的红色结点)
5. 从任一结点到其每个叶子的所有路径都包含相同数目的黑色结点。6. 从根到叶子的最长的可能路径不多于最短的可能路径的两倍长
如下图所示: