目录
一、场的分类


数量场/标量场:
矢量场/向量场:
二、标量场的等值面
在一个标量场中,等值面有无穷多个,如下图等值面C1和等值面C2

在画场图时,默认C3-C2=C2-C1,因此场图中越密的位置,场强变化越快,越疏的位置,场强变化越慢
三、矢量场的矢量线
对于矢量的展开式为

对于来说都不一样,矢量线只说明空间分布,其大小和方向
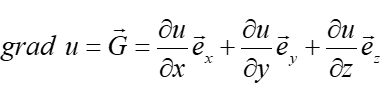
四、数量场的梯度
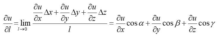
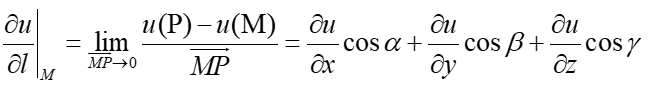
即方向导数

点沿l1方向和l2方向变化的程度即该点的方向导数

MP之间的方向导数为:
(式-1)
高数中:P点和M点之间的增量u(P)-u(M)可以用全微分表示:
(式-2)
所以方向导数又可以写为:(将式-2代入到式-1中)

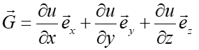
记


所以

其含义为:沿着某一方向的方向导数就是梯度在这个方向上的投影
那么梯度为:

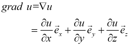
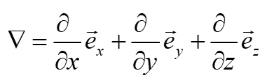
五、哈密顿算子
算子有很多,如a+b,‘+’就是一种算子
定义:
哈密顿算子既有矢量性,又有微分性
那么梯度可以写成:

这是直角坐标系中哈密顿算子的展开式,圆柱坐标系、球坐标系不一样
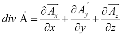
六、矢量场的散度
通量:
对于闭合曲面S‘,正法线方向由内指向外
通量表达式为:
矢量乘面积即通量(沿法线方向)
闭合曲面内的通量:
表示由内到外通量与由外到内通量的代数和
如果Φ>0,穿出的矢量多于穿入的,曲面内有正源
如果Φ<0,穿出的矢量少于穿入的,曲面内有负源
散度:
对于一点,取闭合曲面
定义
称为散度。
如果不取极限,
就是闭合曲面通量的平均分布
当△V→0,闭合曲面只有一根矢量线穿出,对于该矢量线的散度可以写为:

其中![]()
加入哈密顿算子,即![]()
(对于哈密顿算子,标量不带点,矢量带点)
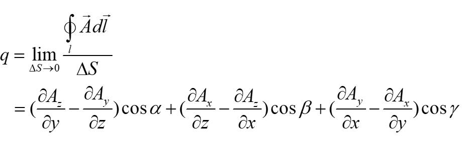
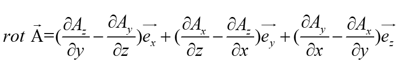
七、矢量场的旋度
环量:
符合右手螺旋准则,空间中曲面无数,但只要研究一个环量
定义:![]()
如果Q≠0,可以初步判断有场内漩涡
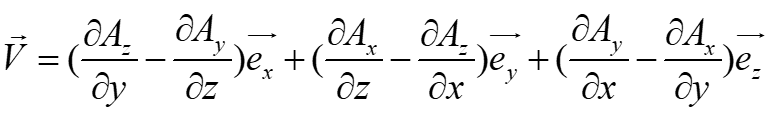
旋度:
定义:

其中,cosα,cosβ,cosγ为法线方向单位
取![]()
取
那么旋度可以写成:
含义:法线方向上的环量密度就是V矢量在法线方向上的投影
记

亦可以写成:

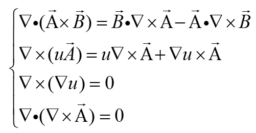
八、重要公式
对于微分
同样适用于哈密顿算子

最后两个恒等式:梯度不旋转,旋度没有源
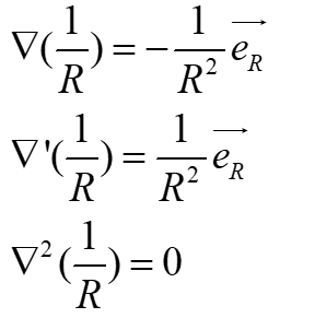
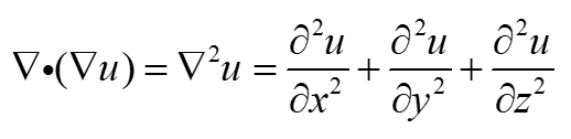
九、拉普拉斯算子
对于
,记为拉普拉斯算子(不是平方)
(▽·(▽u),标量取了梯度后是矢量)
(旋了又旋)
拉普拉斯算子性质:

加 ’ 时,不写负号,即不考虑方向,只考虑大小
十、亥姆霍次定理
空间中的一个矢量场,可以由其散度、旋度和定解条件唯一确定
学散度、旋度,就是为了以后求解空间中的场强
(PS:CSDN写公式好丑,好麻烦!)