文章目录
前言
使用无线信号进行测距时,其测距性能和信号格式相关。和无线通信的信道容量类似,测距性能也和信号带宽、信号能量相关。那么,给定信号带宽和信号能量的条件下,无线信号的测距性能下界在哪里。本文简介学界给出的两种界,分别时Cramer-Rao Bound和Ziv-Zaka Bound。
1. 测距信号的数学表示
考虑无线测距情况,在一个无多径的信道下接收到的基带信号可以表示为:
x ( t ) = s ( t − τ ) + v ( t ) , 0 ≤ t ≤ T x(t) = s(t-\tau)+v(t), 0 \leq t \leq T x(t)=s(t−τ)+v(t),0≤t≤T
其中:
- s ( t ) s(t) s(t)是测距信号的基带表示,带宽为 B B BHz,持续时间为 T s T_s Ts秒;
- τ \tau τ是传输延迟,即 τ = R / c \tau=R/c τ=R/c, R R R为收发距离, c c c为光速;
- v ( t ) v(t) v(t)为功率谱密度等于 N 0 / 2 N_0/2 N0/2的高斯噪声(AWGN);
- 观测时长 T T T要大于 T s Ts Ts和传输延迟之和。
接收信号 x ( t ) x(t) x(t)通过一个带宽为 [ − B , + B ] [-B,+B] [−B,+B]的滤波器,并以采样率 f s = 2 M B f_s = 2MB fs=2MB进行采样得到数字信号,其中 M ≥ 1 M \geq 1 M≥1,满足奈奎斯特采样率要求。采样得到的数字信号表示为:
x ( n ) = s ( n − n τ ) + v ( n ) x(n) = s(n-n_{\tau})+v(n) x(n)=s(n−nτ)+v(n)
其中, 0 ≤ n ≤ M N − 1 0 \le n \le MN-1 0≤n≤MN−1, M N = T f s MN=Tf_s MN=Tfs, n τ = τ f s n_{\tau} = \tau f_s nτ=τfs,是按采样点计算的延迟。
2. 克拉美罗界(CRB, Cramer-Rao Bound)
2.1 推导
克拉美罗界,英文为Cramer-Rao bound (CRB),是在参数估计中表示一个确定性参数的估计的方差下界,它的最简单形式是:任何无偏估计的方差至少大于Fisher信息的倒数。
在上述的测距信号模型下,CRB表示为:
V a r { τ ^ } ≥ 1 ξ N 0 / 2 F ˉ 2 Var\{ \hat{\tau} \} \ge \frac{1}{\frac{\xi }{N_0/2} \bar{F}^2} Var{τ^}≥N0/2ξFˉ21
其中:
- ξ = ∫ 0 T s ∣ s ( t ) ∣ 2 d t \xi = \int_0^{T_s}|s(t)|^2 dt ξ=∫0Ts∣s(t)∣2dt为接收信号的能量,
- F ˉ 2 = ∫ − ∞ + ∞ ( 2 π f ) 2 ∣ S ( f ) ∣ 2 d f ∫ − ∞ + ∞ ∣ S ( f ) ∣ 2 d f \bar{F}^2=\frac{\int_{-\infty}^{+\infty}(2\pi f)^2|S(f)|^2 df}{\int_{-\infty}^{+\infty}|S(f)|^2df} Fˉ2=∫−∞+∞∣S(f)∣2df∫−∞+∞(2πf)2∣S(f)∣2df为信号 s ( t ) s(t) s(t)频谱的二阶矩,其中 S ( f ) S(f) S(f)是 s ( t ) s(t) s(t)的傅里叶变换。 F ˉ \bar{F} Fˉ称为信号的有效带宽,或均方带宽(MSB),又称Gabor带宽。
从上式可以看出:
- 信号能量越强,测距越准,即信噪比影响测距精度
- 信号的MSB带宽越大,测距越准。
- 在带宽受限的情况下,可以通过信号体制设计,尽量增大MSB带宽,从而提高测距精度。这一点,一个有意义的例子参见[1],在给定固定的测距精度的条件下,使用OFDM信号时所需要的信噪比比使用纯伪随机序列信号所需要的信噪比要低4.8dB。这也反映了Gabor带宽在测距信号设计上的影响。
从上面的分析可知,无线信号的测距性能在能量一定的情况下,和带宽相关,而更加明确的说法,是MSB带宽。也就是说,相同的信号带宽,如果尽量把能量往带宽两边放,则其测距性能越好。举例而言,一个占有1M带宽的直扩信号的测距性能,弱于一个间距为1MHz的两个子载波上进行调制的信号。
2.2 UWB系统中的CRB界
在UWB定位系统中,通常采用的基本脉冲是基本高斯脉冲的n阶导数。该高斯脉冲为: g ( t ) = e x p ( − 2 π t 2 τ g 2 ) g(t)=exp(\frac{-2\pi t^2}{\tau_g^2}) g(t)=exp(τg2−2πt2),其中 τ g \tau_g τg为脉宽。该脉冲波形如下所示:

推导可得该UWB脉冲信号的Gabor带宽为:
F ˉ = 2 n + 1 2 π τ g 2 \bar{F} = \sqrt{\frac{2n+1}{2\pi \tau_g^2}} Fˉ=2πτg22n+1
由上可知,脉宽越窄、阶数越高,其Gabor带宽越大,测距性能越好。
2.2 CRB的缺陷
- 较低信噪比的条件下,或者是短的观测间隔情况下的估计值并不好;
- 在参数估计时没有考虑先验信息,尤其是测距的有限范围。
3. ZZB(Ziv-Zaka Bound)界
由于CRB的在较低信噪比或较短观测时长的情况下并不精确,学界提出了另外一种求下界的思路:TOA估计器的MSE性能可以通过其在不同信噪比区域的行为来表征:低、中、高信噪比,并通过确定两个阈值边界来区分这三个区域。
- 在低信噪比区域(也称为先验区域),信号观测提供的额外先验信息很少,MSE接近于仅从TOA的先验信息(即有限可能的距离变化范围)获得的MSE;
- 在高信噪比区域(也称为渐近区域),MSE被CRB相当准确地描述;
- 在这两个极端之间,可能有一个额外的区域(也称为过渡区域或模糊区域),在那里观测结果受到CRB没有考虑的模糊度的影响。
ZZB的思想是把一个估计问题的性能评估转换为一个二元检测问题。
V a r { τ ^ } = E { ξ 2 } = 1 2 ∫ 0 ∞ z P { ∣ ξ ∣ ≥ z 2 } d z Var\{ \hat{\tau} \} = E\{\xi^2\} = \frac{1}{2} \int_0^\infty z P\{|\xi| \ge \frac{z}{2}\} dz Var{τ^}=E{ξ2}=21∫0∞zP{∣ξ∣≥2z}dz
其中, P { ∣ ξ ∣ ≥ z 2 } P\{|\xi| \ge \frac{z}{2}\} P{∣ξ∣≥2z}可以通过在 [ 0 , T a ] [0,T_a] [0,Ta]间平均分布的概率分布假设,用经典的二元检测来推导。
H 1 : r ( t ) p { r ( t ) ∣ τ } H 2 : r ( t ) p { r ( t ) ∣ τ + z } \begin{align} H1 &: r(t) ~ p\{r(t)|\tau\} \\ H2 &: r(t) ~ p\{r(t)|\tau+z\} \end{align} H1H2:r(t) p{r(t)∣τ}:r(t) p{r(t)∣τ+z}
ZZB的下界表示为:
V a r Z Z B { τ ^ } ≥ 1 2 ∫ 0 ∞ z ( T a − z ) P m i n ( z ) d z Var_{ZZB}\{ \hat{\tau} \} \ge \frac{1}{2} \int_0^\infty z (T_a-z)P_{min}(z)dz VarZZB{τ^}≥21∫0∞z(Ta−z)Pmin(z)dz
其中, P m i n ( z ) P_{min}(z) Pmin(z)是最佳判决的错误概率,对应于AWGN信道,该值为:
P m i n ( z ) = Q [ ξ N 0 ( 1 − ρ g ( z ) ) ] P_{min}(z) = Q[\sqrt{\frac{\xi }{N_0}(1-\rho_g(z))}] Pmin(z)=Q[N0ξ(1−ρg(z))]
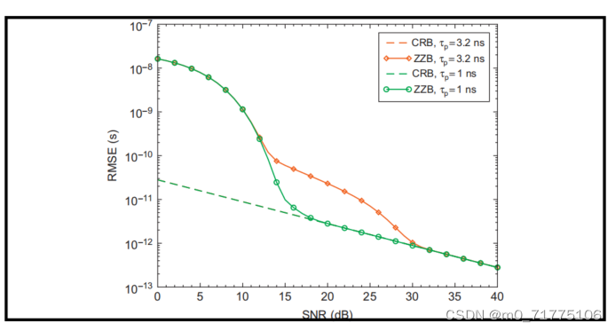
4. CRB和ZZB在UWB信号下的例子
下图是参考文献[3]中给出的UWB信号中的CRB界和ZZB界的结果。明显看到ZZB界中分为了三个区域。

上图所用参数为:
- T a = 100 ns T_a = 100 \text{ns} Ta=100ns,
- 脉冲形状为根升余弦带通滤波, f c = 4 GHz f_c = 4 \text{GHz} fc=4GHz,
- AWGN信道。
参考文献
- [1] S. M. Kay, Fundamentals of Statistical Signal Processing: Estimation Theory. Upper Saddle River, NJ: Prentice-Hall PTR, 1993–1998.
- [2] Donglin Wang, and Michel Fattouche, OFDM Transmission for Time-Based Range EstimationI, IEEE SIGNAL PROCESSING LETTERS, VOL. 17, NO. 6, JUNE 2010 571
- [3] Satellite and Terrestrial Radio Positioning Techniques: A Signal Processing Perspective, Davide Dardari, Emanuela Falletti, Marco Luise, 2012